继续操作前请注册或者登录。

比特币(一)什么是区块链?



最近一段时间,比特币价格再次暴涨,超过2017年的最高点,达到约20000美元的天价。短短十余年间,比特币从一文不值,到万人追捧,诞生了许多超级富豪,又让无数人倾家荡产。夜来风雨声,花落知多少。

比特币的价格走势
比特币到底有没有价值?不同的人有不同的回答。有人认为:比特币不过是一个数字游戏,无论涨到多高,也终究是无源之水、无根之木,逃脱不了崩盘的厄运;也有人认为:货币的价值来源于信任,新的国家建立时,能将一张张普通的纸变成货币。只要人们信任比特币,它的价值就永远不会消失。

金融生来就或多或少带有原罪。在这场争论中,每个人都会从自己的经济地位角度给出答案。我从未购买过比特币,不为比特币站台,但是我却认为:单纯从技术上讲,比特币的设计的确令人惊叹。我想把比特币当作一件艺术品,带着大家探讨一下它背后的原理。
01比特币的诞生
2008年,秋风渐冷,此时金融危机的阴云逐渐扩散到整个世界。那年的11月1日,一个化名中本聪的网络极客对着电脑,给一篇不足5000字的论文做最后的修改。没有人会提前预知,这篇短小的文章竟会掀起长达十几年的腥风血雨。它就是《比特币:一种点对点式的电子现金系统》,也叫做《比特币白皮书》。虽然人们不知道中本聪是谁,但是许多比特币玩家都把《白皮书》看作新时代的《圣经》。

白皮书
传统互联网上的贸易,几乎都需要借助金融机构作为可信赖的第三方来处理电子支付信息。比如我们用信用卡、支付宝,或微信支付买东西,信息都会通过网络传递到银行或者腾讯、阿里的计算机系统,由它们来记账。我们信任这种支付方式,因为它有国家信用或者公司信用的担保。银行和大型公司是这个记账模式的中心,这就是中心化的记账系统。
但是,2008年严重的金融危机让中本聪感到这种“基于国家和公司信用的模式”存在风险,因为国家存在滥发货币的风险、公司更是可能为了利润滥用金融衍生品、剥削居民财富。他在《白皮书》中提出:我们的记账系统并不一定需要一个中心,交易只需要一个公认的账本即可,这个账本应该要公开地广播给所有人。这就是去中心化的电子记账系统。在这个电子记账系统中流通的货币就是比特币。

中心化交易系统与去中心化交易系统
02什么是区块链?
去中心化的电子记账系统是如何实现的呢?
例如:网络上有A、B、C、D四个交易者,A向B支付了10个比特币,这件事要记录在账单中。不过,账单不能只存在于A和B手里,否则就没办法确认账单的真实性。他们要把这笔账单广播到网络上,告诉C和D发生了这笔交易,并请求C和D帮忙记录这笔交易。过了一会儿B和C、C和D之间也进行了转账交易,他们同样要把账单广播给网络上的所有人。

A、B、C进行的交易记账
网络上的所有用户都可以接收到这些账单,如果他们愿意,就可以把账单进行打包,形成一个数据块,我们叫它区块。一个区块的容量大约是1M,可以存储4000条左右的交易记录。区块打包好之后,就可以把它链接到以前的区块上。再过一会儿,又会有新的区块链接到它后面。如此形成了一条账单包的长链,这就叫区块链。

区块链
也许看到这里,许多人的脑子里会冒出许多小问号。
比如:为什么我把账单广播到网络上,就会有人收集打包呢?为什么别人要占用自己的电脑资源,记录一个跟他无关的账目呢?
再比如:因为网络延迟效应,每个人记录的账单可能是不一样的。举例来说:网络上有两笔交易:A给B转账10个比特币,B给C转账5个比特币。由于用户C与A更近,他的账本里先记录了第一条数据,后记录了第二条数据。而用户D与C更近,他的账本里先记录了第二条数据,然后再记录第一条数据,最终C和D的账单不一样,我们以谁为准?
再比如:如果A原本没有给B进行转账,B却向全世界广播:A给自己转账了10个比特币,我们该如何发现这是一条伪造的数据?假如有人在已经打包好的区块上动手脚进行篡改,我们是否能发现?假如一个人只有10个比特币,他却要同时支付给两个人每个人8个比特币,这能不能做到?所有账单都是公开的,我们又如何保护个人的隐私……

中本聪在设计比特币时做了周到的考虑,我们先来回答第一个问题:为什么别人愿意为我们记账?
03记账手续费和打包奖励
在《天下无贼》这部电影中,傻根为了省下转账的手续费,怀揣6万元现金踏上了回家的列车,在车上遇到了盗贼、劫匪、警察,开启了一段曲折离奇的故事。

《天下无贼》剧照
我们通过银行转账,需要额外付出一笔手续费。在比特币系统中,每一笔支付也会有手续费,假如A给B转账10个比特币,A还要额外多付一点点钱,这笔钱是给记账的人的奖励,用以换取大家对这笔交易的认可。每打一个数据包,数据包里面的记账奖励就归打包人所有,从而促使更多的人愿意为别人的账单记账和打包。
手续费只是让比特币在用户之间流转,但是比特币没有中央机构,它从哪里发行呢?其实,每当我们将一个数据包链接到区块链上,还会额外获得系统约定的打包奖励,这个奖励是按照协议自动生成的,相当于是传统货币的发行过程。
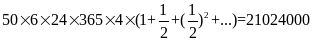
中本聪提出比特币系统的时候,设计出了这样的方案:尽量保证每10分钟出现一个新的数据块。最开始的四年,将一个数据块链接到区块链上,就会得到50个比特币的奖励,为了保证资源的稀缺性,四年之后,每链接一个数据块会得到25个比特币的奖励,再过四年奖励变为12.5比特币…
虽然每十分钟新增一个数据块的速度基本保持不变,但是每次加新块的奖励却成等比数列减少,根据高中学过的等比数列知识,如果按照这个打包速度永远进行下去(每小时有6个新的数据块,每天有24小时,每年有365天,每4年比特币奖励减半),总的比特币奖励也是有限的,它的数量是

也就是说:比特币的总量大概就只有2100万个,这就保证了比特币的稀缺性。
既然记账并打包数据就可以赚取比特币,网络上的比特币参与者都想抢着记账,那么,记账的权利到底归谁呢?中本聪想到一个办法:工作量证明。

每个参与记账的用户都要去做一个很难的数学题,只有第一个把这道数学题做出来的人,才有权利进行打包。这个数学题是如此的复杂,以至于没有任何一个人能够直接通过脑子把它做出来,也没有任何更加快捷的方法,唯一的解决方案是利用电脑一个数字一个数字地进行尝试,最先通过尝试得到数学题答案的人立刻向周围人广播自己的答案,周围的人确认他的答案正确,那么他就有权利打包这个区块,并且获得记账奖励和打包奖励了。随后,游戏重新开始,全世界所有的比特币参与者进入下一轮试数解题的过程中。
通过努力的计算获得正确的结果,获得比特币奖励,这就如同我们在矿洞里一镐子一镐子地挖土,最终挖到了黄金一般。人们把这个过程形象地称为挖矿,游戏的参与者就称为矿工,而用来计算数学题的电脑就称为矿机。

那么,这个数学题到底是什么?为什么用全世界的电脑同时计算也需要10分钟左右才能计算出来?敬请期待比特币(二)哈希函数和工作量证明。

看在我辛辛苦苦写了这么多字的份上,点一个“赞”和“在看“再走吧!由于微信公众号改了推送规则,如果不点赞不在看,以后可能就收不到了。谢谢啦!

1、直播带货能赚大钱吗?公交车为啥总不来?
2、老外用吹风机开车!造超级水枪吓小朋友!
2、蚂蚁金服如何把30亿变成3000亿? 
3、拜登选票不符合本福特定律?
4、德国坦克有多少?招行鸡腿有多大?
5、第一支乙肝疫苗是如何诞生的?
6、相互宝到底值不值?
7、甲肝是一种怎样的传染病?
8、“自动驾驶”是个啥?


美提课堂
美提课堂www.mtketang.com.cn致力于打造中学理科(数学、物理、化学、生物)精品课程,致力于让优秀的课程服务更多的学生,所有老师均毕业于北大、清华、北师大等著名学府,并拥有国内一流中学十年以上教学经验。目前,网校已经累计开设直播课、专题课、公开课、讲座等数千小时。只需一次点击,让你和名师0距离。了解更多资讯和视听课程快戳这个链接:美提课堂暑假秋季直播课开始啦!

客服小姐姐微信: mtketang0007
客服电话:400 155 2135
点击“阅读原文”进入美提课堂
到顶部