继续操作前请注册或者登录。

为什么牛奶可以除异味儿?| No.131



生活小妙招往往会告诉你牛奶可以去除异味,
原来牛奶不仅可以用来补充营养,
竟然还有这种操作??

然而这究竟是为什么呢?1Q
为什么纸燃烧的时候不冒烟,火灭了才冒烟?
by  心狠手辣唐老鸭A
纸张的主要成份是植物纤维,一般情况下完全燃烧的产物是草木灰,水蒸气和二氧化碳。水蒸气和二氧化碳这些气体是无色无味看不到的。而燃烧快结束时(或者将火吹灭),由于温度的下降,燃烧产生的水蒸气遇冷产生大量小液滴,裹挟着少量未完全燃烧的其他颗粒,形成白色烟雾。 
水蒸气和二氧化碳气体确实是无色无味,不可见的。至于冬天呼气,以及舞台干冰所产生的白雾,均是水蒸气遇冷后形成小液滴后形成的。
By 可爱的你
2Q
假伇没有空气,水滴在真空中下坠,不考虑蒸发,水滴的形状会是什么样的?
by  糊椒A
假设真空的话,那么消失的不仅仅是空气阻力,同样还有大气压强。这个时候水分子会极力 地向外跑,也就是蒸发。而题目又不让考虑蒸发,那么好吧,假设表面张力足够强,以至将水分子都束缚住,这样水滴会很小,水滴下降过程中水滴下部和上部高度差可以忽略不计,水滴形状将由各向同性的表面张力决定,那么它将是一个近似完美球形。 
在实际生活中的水滴大小和形状由重力,空气阻力、压力以及水滴的表面张力共同决定。重力负责拉长水分子,空气阻力和压力负责切割压缩,表面张力负责维系水分子,它们之间的博弈决定了水滴形状。没有了重力和阻力,压力和张力将维持水滴的完美球形(水滴可大可小)。 没有了阻力和压力,张力很难维持大水滴,水滴以小水滴为主要形式,这时重力对形状影响较小,水滴近似完美球形。
By 可爱的你
3Q
为什么牛奶可以去除异味?是和活性碳的原理一样吗?还是里面的有机物和其它物质反应了? 
by  一代风流. A
牛奶去除异味与活性碳去除异味的原理肯定是不一样的。活性碳材料内多孔,比表面积很大, 其与空气充分接触并将大分子吸附在孔内,阻止其再次飘散到空气中,以达到去除异味作用。牛奶可没有这样的吸附结构。利用牛奶可有效去除的异味主要有蒜味,原因是牛奶中的蛋白质与气味分子发生反应。所以,爱吃大蒜又苦于大蒜气味的同学注意了,你可以吃完大蒜后细细品味一杯牛奶,既健康又可以有效去除大蒜异味。
By 可爱的你
4Q
为什么宇宙膨胀速度会大于光速?光速不是不可超越的吗?
by   逐回者A
宇宙的膨胀并不是指宇宙中不同星系以不同速度运动,导致星系间距离变大。而是空间本身的膨胀。貌似有点绕哈。换种说法,宇宙膨胀是指空间自己就在膨胀,指的是空间中任意一点的空间都在膨胀,以至使某些星系远离我们的“速度”超光速。物体的运动速度上限是光速,可是这个上限对空间膨胀是没有约束作用的,这并不违反相对论。实际上,星系本身的移动速度只有几百到几千个千米每秒,要远远小于光速。
By 可爱的你
5Q
下雨后(江南阴雨连绵)空气真的清新了吗? 
by 佚名。A
最直观的感觉是雨水"冲刷"了空气,带走了空气中的尘埃。在空气污染比较严重的时候来场 大雨,空气中呛鼻的味道一扫而空,必然感觉异常清新。 
负粒子和臭氧浓度的增加亦会让人感觉清新、舒爽。一般雷雨天气,雷电会使空气电离。这时较重的负粒子会随着雨水下降,低空大气中负粒子浓度升高。雷电亦会使更多的氧气变成臭氧,臭氧虽然带着"臭"字,但在浓度不太高时,臭氧具有特殊清新气味。地表大气中臭氧浓度极低,雷电会稍微增加其浓度,是其“清新”增强。 
再有就是燥热的夏天来一场雨,温度下降本身就让人身心愉悦,这本就是一种轻爽的感觉呀!
By 可爱的你
6Q
高中物理中两列频率,初相位相同的波可以产生稳定的干涉图案,一直不太理解为什么
                                                                                             by  匿名A
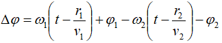
当两列波叠加时,其合震动
 
其中A为单列波的振幅,而 则是相位差。
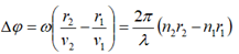
相位差 

我们所观察到的现象其实并不是瞬间的,而是一段时间的平均,即具有一个时间分辨率。举一个简单的例子,我们知道有一个词叫做转眼而过,就是说在眨眼的那一刻已经发生了很多事情是我们无法看到的。同样的,对于两列波的干涉所能够观察到的也是一段时间的平均,即我们所探测到的实际上是合震动I在一段时间内的平均值。从I的表达式可以看出,只有的改变会改变I的时间平均值。当不是常数,而是一个和时间有关的量时,则可以取-1到1之间的任何值,则干涉项的平均值为0,因此合震动保持不变,不管怎么看都是两列波的直接叠加。但如果两列波的频率与初相位相同时,则有:

式中n是介质的折射率,此时相位差只与两列波相遇时走过的路程有关。当两列波在空间中不同的位置相遇时其走过的光程是不一样的,但在这一点其相位差是恒定的。在有些地方相位差为0,则此时合震动取最大值,而有些地方相位差为π,合震动取最小值,相位差的变化是连续的,对应于干涉项则是连续的周期性变化。对光波而言,震动越强光强就越大,也就是越亮,因此就是明暗相间的干涉图案了。
By Patwf
7Q
光子不是有质量吗,那是不是我用一个凸透镜把一束光汇聚在极小的一点上可以制造出一个黑洞?
by  匿名A
首先,让我们从凸透镜的角度分析一下这个问题。回想一下在太阳底下玩放大镜的时候,光会聚集在焦点处形成一个很亮的点,可以把纸点燃。现在,仔细回想一下,那个所谓的亮点有多大?事实上它并不是一个点,而是一个比较小的光斑。由于有球差的存在,即便是平行光,在通过透镜后也只会聚焦形成一个光斑,而不是一个点。因此可以想象,当透镜做的非常非常大时,即便太阳光还能够认为它是平行的,光汇聚过来之后也不会是一个密度极大的点,而是一个大大的光斑。
现在让我们再从黑洞的角度来分析这个问题。我们知道,当物体的质量不变时如果其体积越小则密度越大。对一个质量确定的物理来说,不断压缩将导致密度越来越大,最终成为黑洞,而在这一过程中存在一个临界半径,即史瓦西半径。当物体的实际半径小于其史瓦西半径时它就变成黑洞了。假设存在一个非常非常非常大的凸透镜,可以汇聚太阳发出的一半光。让我们来高估一下这个问题,认为太阳每秒钟释放的能量全部都以光的形式发出去了。太阳每秒释放的能量为3.8x1026J,按照爱因斯坦质能方程E=mc2可以知道这些光子加起来的质量有4.2x109kg。
史瓦西半径的计算公式为: 

带入数据之后,可以解出这些光子如果要形成黑洞,其史瓦西半径为6.2x10-17m。显然,当你用放大镜汇聚光线时,那个光斑的半径都要远大于这个值。6.2x10-17m是什么概念呢?氢原子中电子绕原子核运动的半径,即波尔半径为5.3x10-11m。
如果真的制造出一个完美成像的透镜,那么首先这么大的透镜光在通过时会损失很多能量,其次,在透镜内光线逐渐汇聚,温度逐渐升高,还没穿过透镜就会把透镜烧毁……
By Patwf
8
Q
小鸟站在电线上,为什么没有触电,而人会有单线触电或双线触电的事故?
by  陈A
生命体触电,原因是生命体局部形成有效电势差,使得生命体内部有电流通过。小鸟站在电线上,可以将小鸟看成一个电阻比较大的导体,而小鸟两只脚被电线短路,因此两脚间的电势差很小,不能在小鸟体内形成致命电流。人体的单线触电或双线触电指的是人体一部分与火线接触,另外一部分与大地或者零线接触形成有效回路,火线与大地(零线)之间电势差为220v,可以在人体内形成电流,并超过安全阈值(30mA),危及生命安全。如果小鸟足够大(火鸡之类),两只脚分别站在零线与火线上,它也会发生双线触电事故。
By 可爱的你
9
Q
有没有可能存在非常薄却比厚衣服还保暖的衣服?
by  佚名A
这个问题让我梦回小时候跟老妈玩的秋裤游击战。小时候的我:才圣诞节,我再露两天脚踝。后来经历了世事的我才知道,秋裤塞进袜子才是对冬天最大的尊重。现在的我:哎呦,都国庆节了,我秋裤呢。所以,本着对秋裤和冬天的尊重,我们来了解这道有温度的问题。首先,如果不考虑汗液蒸发散热的话,人体热量的散失的方式主要有三种:热传导、热辐射和热对流。衣服就是通过阻碍这些过程来实现保暖的目的。首先,虽然衣服的纤维也是热的不良导体,但实际上起到最主要保暖作用的却是纤维缝隙里的空气。目前在常见物质中,几乎没有什么比干燥空气导热系数更小的了,写到这里,我突然觉得手中的真空保温杯更温暖了。

但这并不意味着纤维本身就不重要了,否则,我们冬天干脆就都皇帝的新装。虽然空气对热传导的阻碍效应很好,但空气很容易通过对流带走热量。因此,保暖衣服要解决的主要问题是保证衣服内存在足量的非对流空气(这也是羽绒服块状的最终奥义)。因此,如果能找到导热系数很小的材料做成衣服,就可能实现很薄但保暖会很好,比如在身上多裹几层塑料保鲜膜。不过,这也带来一个很难受的问题,不透气会让我们的皮肤很难受,毕竟我们傲娇的肌肤既不能暴露在严寒下也需要保持清新的呼吸。不写了,我去穿秋裤了。。。。

图片1来自维基百科 Thermal conductivity
By 哈士奇不是狗

本期答题团队:
物理所   可爱的你、Patwf、哈士奇不是狗
写下您的问题,下周五同一时间哦~

↓识别下方二维码快速提问↓

上期也精彩
大货车刹车后为什么会“放屁”?| No.130

编辑:望江楼
近期热门文章Top10
↓ 点击标题即可查看 ↓
1. 一幅图读懂量子力学(上)
2. 爱因斯坦:机遇与眼光 | 杨振宁
3. 锦鲤抽奖真的是随机的吗?
4. 黑洞吸了那么多东西都到哪里去了?| No.123
5. 干货!两万字长文带你走近神秘的量子纠缠
6. 秋如何改变中国?
7. 怎样的物理学天才,让诺贝尔奖组委会破例为他改了颁奖地点
8. 立定跳远如何可以跳得更远?| No.125
9. 物理学家可能永远也无法解释数学的强大威力
10. 二狗子,你怎么飘了……
点此查看以往全部热门文章

到顶部