为什么有时候夏天看到路上好像有“一层水”,走近的时候又没了? | No.109



酷热将至,小伙伴们感受到今年的炎炎夏日的热情了吗?当烈日当头的时候,你向远方惊鸿一瞥,等等!这么热的天怎么地面上还有积水!!神奇的是,当你走近的时候再看,地面上又确确实实空空如也,难道,是热出幻觉了吗?
搭配BGM食用更佳 ╭(●`∀´●)╯(点击音频图标即可食用)
1Q
夏天的时候可以打开冰箱来给房间降温吗?
by darenA
冰箱的制冷是通过制冷剂来完成的,压缩机将制冷剂压缩,制冷剂膨胀吸热,降低冰箱内的温度,然后再被压缩,以此循环。制冷剂相当于是把冰箱内的热量搬到了冰箱外边,而冰箱和空调不一样,它全部处于室内,因此排到冰箱外的热量自然就释放到房间里了。压缩机工作会产生热量,因此实际上冰箱排出来的热量要比吸收的多。所以打开冰箱门并不能给房间降温。
By Patwf
2Q
飞机上声音速度是多少,为什么超音速飞机上能交谈?
by 匿名A
音速是介质中微弱压强扰动的传播速度,其大小因媒质的性质和状态而异。空气中的音速在1个标准大气压和15℃的条件下约为340m/s。飞机内的气压与大气压相同,温度与15℃差距不大,因此声音传播的速度与340m/s相差不大。超音速飞机的速度比340m/s大,意味着飞机里的人听不到飞机外来自飞机“身后”的声音,因为声音的速度追不上飞机。而飞机里的人由于在随着飞机运动,因此交流是不受影响的。
好学的读者读到这里肯定是不满足的,那我顺带科普一下多普勒效应,以使得读者对这个问题的理解更加深入一点。
波在波源移向观察者时接收频率变高,而在波源远离观察者时接收频率变低,当观察者移动时也能得到同样的结论。举一个形象的例子就是一个人用水枪射你,你顶着枪往前跑,那么单位时间内被射到的水就越多,可以理解为水射到你身上的“频率”增加了。波在传播时也有这样的效应,公式来描述就是

f’为观察到的频率;f为发射源于介质中的原始发射频率;v为波在介质中的行进速度,v0为观察者的移动速度,若接近发射源为+号,反之则为—号;vs为发射源移动速度,若接近观察者为—号,反之则为+号。
交谈的两个人在以相同的速度运动,相当于是接收者在靠近声源,而声源在远离接收者,因此f’=f,所以交谈起来不会有什么异常。
By Patwf
3Q
如果臭氧层破了我们会怎么样?
by 匿名A
也许夏季的高温让你只想待在空调房,对于高温的恐惧让你甚至萌生了打开冰箱门来降温的方法。夏季,它可以充满魅力,让你充满自信,也可以让你陷入懊悔——为什么我的体重还停留在冬天?
但这些都不是最大的问题!
请想这么一个问题——如果没有太阳伞、防晒霜,夏季会怎样?
臭氧层很重要的一个作用是吸收紫外线,而没有臭氧层,其后果比不打伞不涂防晒霜去西藏旅游要严重的多!
臭氧层吸收了紫外线后会将其转化为热能加热大气,形成大气的温度结构,对于大气的循环有重要的影响。另外,正是因为地球有臭氧,所以才有平流层。
臭氧层破了后其破口下的区域紫外线强度会增大,同时由于臭氧层结构的残缺,对于大气的结构也会有影响。
紫外线对生物的危害很大,如果没有臭氧吸收紫外线,那么人类的皮肤癌、白内障等疾病发病率会大幅度上升,而植物也会大面积死亡。
By Patwf
4Q
假设一个体重为50KG的人从楼顶跳下去,下落15米之后正好落到一架飞着的、承重为50KG的无人机上,则无人机的状态是怎样?
by  匿名A
人在接触无人机前下落了15米,忽略空气的阻力,速度将达到17.1m/s,如果这个无人机是不怕踩、不怕撞击的小强,并且不会发生翻转,而是“平稳地”把人接住,那么此时它会给人施加490N向上的力,这个力和人的重力相抵消,此时人受的合力为0。根据牛顿第一定律,物体不受力或所受合力为0时将静止或做匀速直线运动。因此人将和无人机一起匀速向下运动。
由于人会把一部分动量传递给无人机,所以最终的共同速度较17.1m/s要小。
其效果大致相当于地面上放着一架无人机,50KG的人从15米高跳下去踩到它上边……
(危险动作请勿模仿!话说我们的读者似乎对跳楼很感兴趣诶.....心理咨询、热心小姐姐热线了解一下!)
By Patwf
5Q
微观的自旋是怎么提出的,该如何理解?
by 匿名A
1925年G.E.乌伦贝克和S.A.古兹密特受到泡利不相容原理的启发,分析原子光谱的一些实验结果,提出电子具有内禀运动——自旋,并且有与电子自旋相联系的自旋磁矩。
事实上早在他们两个之前一位叫做Kronig的年轻人就提出了电子自旋的假定,但由于泡利的反对,所以没有发表自己的成果。(泡利,学术界的上帝之鞭,怼过许多人,很少失手)
电子的自旋并不是绕自身轴转动引起的,它与空间的运动没有任何关系,因此也不能用坐标变量来描述。电子自旋及相应的磁矩是电子本身的内禀属性,这是电子一个新的自由度。因此描述电子需要4个量子数,即n、l、m、s。
通俗的说大概就是——你见,或者不见,我就在那里,不悲不喜。
证明电子具有自旋的实验很多,比如著名的Stern-Gerlach实验。
电子自旋是一种相对论效应,系统的理论需要用到相对论量子理论,在这里我们不深入讨论。微观粒子都有自旋,自旋为h/2π整数倍的粒子为波色子,半奇数倍的则为费米子,如果是费米子则波函数对于两个粒子是交换反对称的,因此不可能有两个全同费米子处于同一个单粒子态,这便是泡利不相容原理。
By Patwf
6Q
夏天的时候会看到远处空气像液体扩散时的移动,为什么?
by heyeoneA
夏天的时候太阳辐射比较强,气温也比较高。地面对于可见光与紫外线的吸收能力很强,因此温度将比气温度高许多,通常可以达到60度以上,有些地方甚至高过70,因此井盖、黑色汽车的发动机盖可以用来煎鸡蛋。
气温是30多度,而地面温度是70度,那么接近地面的空气其温度自然就介乎于气温与地表温度之间了,越靠近地面温度越高。下层的热空气要上升,上层的冷空气要下降,再加上蒸发的水蒸气、横向的来风等,便导致了空气十分复杂的湍流。空气的流动是物质的传递,冷热空气的密度不一样,因此相当于是空气的密度在不停地发生变化。空气的密度发生变化,则光在空气中的折射率会发生变化,并且变化是杂乱无章的。人眼是逆着进入瞳孔的光沿直线向前寻找光源的,因此在人看来,同一个区域所看到的景象在发生变化,视觉效果便是流动着的热浪。
By Patwf
7Q
请问为什么在大夏天太阳很猛烈的时候,在高速公路上开车,会感觉自己看到前方大概一两百米远处的地面在反光,好像有积水一样,连前方物品的倒影都能看到,但是真正走过去却并没有水,只是普通的高速路??
by 匿名A
在看这个回答之前请读者先看一下上边的回答。
高速公路上比较宽阔,如果不刮风的话则空气的流动会相对比较稳定,越接近地面的空气温度越高,密度越小,即从上到下空气的密度在逐渐减小。
光在不同折射率的介质中传播时会发生折射。

(图片来自百度百科)
水的折射率比空气要大,所以在水中光线与法线的夹角比空气中要小。光路是可逆的,从水中给空气中传播的光将沿图中箭头所示的方向传播。如图所示,随着入射光与法线的夹角增大,出射光与法线的夹角也在增大。出射光会比入射光更快地与水面平行,如3号箭头所示,此时入射光与法线的夹角为临界角,在入射光角度大于临界角时光将不再透射,而发生全反射。
只有在从折射率大的介质给折射率小的介质传播时光才能发生全反射。
光在给地面传播的时候越靠近地面空气的折射率越小,因此将不停地发生折射,当角度达到临界角时便发生了全反射。此时地面上发生全反射的空气层就相当于是一面镜子,可以反射光,因此其亮度将比没有发生全反射的地面亮的多(没有发生全反射的地面吸收了大部分光,反射出的只是少数),并且还能看到倒影。视觉上就像是一滩水。
地表附近的空气密度变化并不大,所以折射率的差异远没有水和空气的差异大,因此临界角比较大。也就是说发生全反射时入射光和反射光与地面的夹角很小,如图所示,O点为发生全反射的位置。

蓝色曲线代表光的传播方向,黑色直线代表发生全反射的界面。要观察到全反射则观察者必须要在蓝色曲线与黑色直线之间,因为在这之间的入射角大于临界角。
当你离O点远时,你处于两条线之间,随着你接近O点,你与O点的连线与黑色直线的夹角将越来越大,因此就观察不到全反射了。所以远处看像是有水,离得近了就是普通的路面。
By Patwf
8Q
为什么在碰撞中完全非弹性碰撞动能损失最大?
By 匿名A
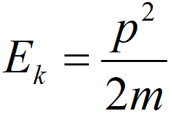
能量是守恒的,但是能量的形式比较多,动能会转化为热能等,因此碰撞的前后动能并不一定相等。而在碰撞的过程中动量是守恒的,也就是说碰撞前的总动量和碰撞后的总动量是相等的。
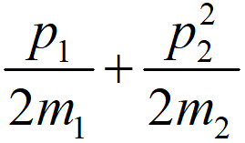
动量和动能是对应的

如果要求碰撞后的总动能,相当于是在给定了 p1 + p2 下求

的值。显然总动能是p1与p2的函数,既然是函数就可能存在极值,而 p1 与p2 的和是一个定值,因此实际上只有一个变量,即如果知道了p1那么p2就知道了,因此实际上就是一个一元函数求极值的问题。这个函数存在极小值,解出来的p1 与p2 与正好就是完全非弹性碰撞的情况。
By Patwf

本期答题团队:
   物理所  Patwf
写下您的问题,下周五同一时间哦~

↓识别下方二维码快速提问↓

上期也精彩
为什么云不会掉下来呢?| No.108

编辑:X. B. Liu
近期热门文章Top10
↓ 点击标题即可查看 ↓
1. 文科生看了会沉默,理科生看了会流泪!物理所『网红井盖』官方大揭秘!
2. 为什么学渣常觉得自己考得不错,学霸老觉得自己考砸了?
3. 碰到这三种物质,你大概连哭都来不及
4. 自然常数e为什么这么重要?
5. 灭霸力气有多大?钢铁侠战衣有多重?科学家是这样看漫威的
6. 《细胞》子刊:啊这善良可爱的小肥肉!科学家发现脂肪细胞竟会帮助伤口愈合
7. 绝对零度达不到,那么温度上限在哪里?| No.104
8. 霍金最后一篇论文终于正式发表:解除曾一手造就的科学“危机”,为人类寻找多元宇宙留下线索
9. 光就认识薛定谔的猫了,科学大佬们养的宠物妖怪们你还知道几个?
10. 那个名为“又大又好”的方程组,真的是又大又好!
点此查看以往全部热门文章

到顶部