1000g水怎么浮起4000g冰?| No.106



不知道大家有没有这样的体会,就是有时候在杯子里“水浴”加热或者降温什么东西的时候,有时候杯子里留下来的水不多,但是小小的水有大大的力量。它们却能撑起杯子里的东西。那么,这个现象是为什么呢?
搭配BGM食用更佳 ╭(●`∀´●)╯(点击音频图标即可食用)
1Q
1000克水怎么浮起4000g冰?
by 高钰A
说到浮力,不得不提阿基米德浮力定律,这个定律说的是水对物体产生的浮力大小等于物体排开的水受到的重力。所谓的排开的水的体积在图中对于B来说是B所占据的体积,对于A来说是A在水面下占据的体积。当所排开的水的重力等于物体时,物体就能浮起来。

所以,我们只要让4000g冰排开4000g的水就可以让冰浮起来了。以方形的冰为例,我们可以选择一个和冰的外形差不多的容器,在里面放入冰并灌上水,很容易得到一个4000g的排水量而让冰浮起来。如图所示:

如果不考虑水的微观结构,只要容器选的好,只要物体的密度比水小,1000g水可以让非常重的物体浮起来。
by Nothing
2Q
有没有密度比水大的气体?如果有,这种气体是不是可以沉在水下面?
by 星vanA
emmm,在绝大多数情况下,是没有的。在学物质三态的时候,我们做过一个很形象的类比:气体中的分子(原子,离子等)是上体育课时在操场上做运动的同学,各干各的,很分散;液体中的分子是下课后在教室休息的同学,离开了自己的座位,但是没有冲出教室。在微观状态下来说就是,气体分子之间是近似自由的,不受束缚;而液体中,以水来说,水分子之间有氢键的作用,一个拉着一个,有较为紧密的关系,在宏观上来说就是,同样的外界条件下,相同的体积有更多的水分子,即水的密度大于气体密度。
在一定条件下,如增大压强,让气体密度达到水的密度,这时气体就不以气体存在了,就变成液态了,液化气就是这样的例子。
开始时候说绝大多数情况,是因为在高温下,光子气体的密度可以大于1g/cm3。
最后,如果一种物质密度比水大,确实会沉在水下面。
by Fi
3Q
酒精是不是可以杀死任何细菌?
by 星vanA
呃,我又来回答你的问题了。酒精杀菌,其实是酒精破坏细菌的蛋白质结构(蛋白质变性),这些蛋白质可能用作结构蛋白(组成细菌细胞),可能用作反应酶(进行细胞内的化学反应)等,被破坏后细菌无法进行正常的生理活动,就被杀死了。所以从这方面来看,酒精是可以杀死细菌的。
但是,最近不是一直在说,抛开剂量谈毒性是不科学的嘛,医用酒精浓度一般在70%左右,为什么不选用更高的浓度呢?酒精破坏蛋白质结构后,蛋白质凝固。如果高浓度酒精与细菌作用,会迅速在细菌外壳凝固蛋白质,阻止酒精的进一步渗入,杀菌效果差强人意。
酒精可以杀死细菌,对人体细胞有没有伤害?在消毒的时候,伤口周围的细胞是受到无差别打击的。但是,人体是一个有机的整体,不断进行血液循环,对渗入的酒精稀释,并再生细胞,所以就最后的结果来看,没有产生大的影响。
by Fi
4Q
灯发光不是向外发出光子嘛,那它内部的光子是有限的吗?(应该不是吧,还从没听说过因为光子发完了而不亮的灯)那难道就是无限的吗?
by  第三悬臂的麦克斯韦妖A
灯内部的光子数是有限的,这个结论很容易论证:灯组成的系统质量是有限的,根据质能关系,它的质量一定是有限的。而光子的质量不是零,如果用一个有限的数除以一个非零的数,一定可以得到一个有限的数,所以灯的内部光子数是有限的。读者一定注意到了一个事实:不通电的灯是不发光的,事实上电灯发光的光子不是来自电灯自己的储备,而是通电后,外部的能量输入在灯丝上产生的光子,所以只要是电灯没坏,并且外部能量持续输入,电灯是可以发射出无穷多的光子的。
by Nothing
5Q
为什么摩擦力没有势能?(总感觉高中老师解释的很模糊)
by lucky丶马哥A
抽象来讲,一个力做功和路径无关,只和起点和终点有关,那么我们便可以定义势能。以重力作为有势能的力的例子,物体在重力场中自由上升,重力对物体做负功,并且做功大小只和起点终点高度差有关,和路径无关,这会引起物体的动能减小,减小的这部分能量去哪里了?转换成了重力势能,只要物体向下运动,重力就会对物体做正功,重力势能重新转化成动能。
对于摩擦力来说,同样都是从起点出发,目的地是终点,但是绕的路线越长,就需要克服摩擦力做更多的功。所以我们可以看到,摩擦力做功是和路径相关的,所以也就没有对应的势能了。
当然如果就从我们的生活经验出发,向上抛的小球最终会自发落下来,而在地上滚动然后慢慢停下来的小球不会自发运动起来。这正是因为重力储存了重力势能而摩擦力达不到这样的效果。而这也恰好和我们对“势”最朴素的理解相吻合。
by Nothing
6Q
为什么以同样的速度走过同样长的楼梯(把楼梯的长和高展开来计算长度)和平地,走楼梯更累?
by 匿名A
做功不仅与起始、终止的端点有关,还与做功的方式、路径有关。如果只与始末端点有关而与路径无关,则是保守力。
在相同的时间里做的功越多,即功率大,则人会感觉越累。走同样长的路程,虽然路程相同,但是路径不一样,因此做的功是可能不一样的。同时两个路径上做功的“力”也不一样,走楼梯时你还要额外的爬升高度,克服重力做功。因此走楼梯比走平路做的功更多,则速度一样的话就会感觉到累。
by Patwf
7Q
为什么空中下落的雨滴无法砸死人?
by 匿名A
云层里有很多凝结的小水滴,当小水滴所受的重力大于气流的承载力时便会掉下来。由于气流的承载力是很小的,因此雨滴通常都很小很轻。而即便是稍微大一点的雨滴,在下落的过程中也会被气流冲散。
雨滴下落不是自由落体运动,它会受到空气的阻力,而阻力的大小与速度成正相关。也就是速度越大,受到的阻力就越大。当阻力增大到和重力大小相同时,雨滴就没有加速度了,因此会匀速下落,最终匀速运动时的速度大概为9-13m/s,这个速度并不是很快,所以我们用肉眼就能看见雨滴下落的过程。同时,因为雨滴的直径通常只有几毫米,所以其动量很小,自然就伤不到人了。
by Patwf
8Q
夏天,怎么用物理手段使自己变得更凉爽?
By 在世开普勒A
首先让我们引入一个模型——均匀介质中的柱形人。相比于真空中的球形鸡这是一个更接近实际的模型。这个圆柱体是一个37℃的恒温热源,在边界上有温度保持37℃不变的边界条件,然后边界会和介质发生热交换。如果介质流动的速度很快,那么可以认为介质的温度保持t℃不变。
则传递的热量 

从物理上来看,想要凉快就是单位时间内传递出去的热量更多。因此一方面要提升k,一方面是要降低t。之所以北方的十度很舒服而南方湿冷刺骨是因为南方的空气湿度大,相当于提升了k。
我们传递热量的介质不是恒温热源,最接近人体皮肤处的空气温度高,随着距离的增大温度会下降,很快降为环境温度。如果人皮肤附近的空气不流通的话,那么人给环境的热传递就会降低,因此夏天要穿透气性好的衣服。
现在让我们回到现实,人并不是严格意义的37℃恒温热源,人的皮肤表面温度比37℃要低,人体不是柱形的,它可能是桶形的……
另一方面,人会出汗,汗在蒸发的时候会吸热,蒸发的越快那么吸热就越快。增大空气流速可以加快蒸发的速率,这就是吹风扇觉得凉快的原因。
人体的散热并不是简单的热传递,而是要通过皮肤的毛孔,因此毛孔闭合的话人的散热能力就差了。洗冷水澡虽然在洗的时候觉得凉快,但是会让人的毛孔闭合,因此洗完之后会觉得热。相反的,洗完热水澡则会觉得很凉快。
by  Patwf
9Q
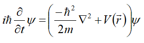
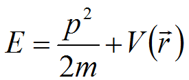
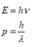
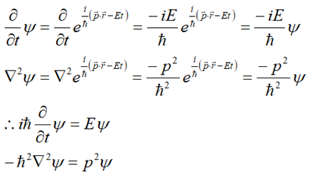
 波函数、薛定谔方程是怎么推导出来的?
by 量子力学粉A
首先告诉你们一点,量子力学里的波函数、薛定谔方程并不是推导出来的,而是猜出来的!
通过研究弦的振动动等现象,可以建立波动方程,波动方程的解是三角函数,对于三角函数的运算采用复数是极其方便的,只需把最后的结果取实部或虚部即可。
因此波函数具有这样的形式:

上回书说到德布罗意提出了物质波的概念,认为任何微观粒子都具有波动性。
即有: 

将波矢量k与圆频率ω带入波函数中,便可得到:

这便是量子力学里的波函数了,等于是将

代入传统的波函数而已,因此量子力学里的波函数有没有意义只能通过实验来验证。即实验如果验证微观粒子确实具有波粒二象性,E与p确实有上边那个关系式,那么波函数就是有意义的。
有了波函数之后,自然还需要波动方程,因为波函数已经有了,因此我们可以给它进行一些运算。

对于能量E我们知道 

将以上这些表达式合在一起,便可以得出薛定谔方程:

薛定谔方程是根据波函数猜出来的,也是基于微观粒子波粒二象性建立的,它的正确与否只能通过实验来验证。至少在目前看来,薛定谔方程是正确的,而对于薛定谔方程的求解我们所得到的物理量是十分“微小”、“精确的”。可以说量子力学是人类目前最为精确的科学。
by Patwf

本期答题团队:
物理所  Fi、Nothing、Patwf
写下您的问题,下周五同一时间哦~

↓识别下方二维码快速提问↓

上期也精彩
比绝对零度还低?比无穷温度还高?神奇的负温度究竟是什么鬼? | No.105

编辑:X. B. Liu
近期热门文章Top10
↓ 点击标题即可查看 ↓
1. 进了赌场黑名单的数学家们,已经快把这种电影最爱的赌法玩坏了
2. 我所了解的中国电子元器件行业
3. 今天没有推送,千万不要点开!
4. 镜子里的你为什么是左右颠倒而不是上下颠倒? | No.99
5. 人家的脑子是纯金的!纯金的!
6. 说来惭愧,当年打了中情局脸的黑科技,如今我们用在了吃饭上
7. 学物理的颜值高是一种怎样的体验?| No.100
8. Science:钻石都弯了,还有什么不能?
9. 你可能跑不过自己的影子,因为黑暗比光速还快?
10. 日本人掌握了武林绝学万剑归宗,秘密是好好学物理
点此查看以往全部热门文章

到顶部