为什么喝粥的时候中心比边缘更烫?| No.101



老话说的好,水能载舟,亦能煮粥。
粥这个东西大家都不陌生
早上起床的时候
喝一碗热腾腾的粥
感觉胃里暖暖的
心里也暖暖的
但是,为什么粥的中心比边缘更烫呢?
搭配BGM食用更佳 ╭(●`∀´●)╯(点击音频图标即可食用)
1Q
为什么虚拟可以模拟现实?
by 木木A
不知道题主所说的虚拟模拟现实指的是哪种模拟,如果是指VR的话,它的原理是通过VR设备向眼睛发射和真实环境中几乎一样的光,对于眼镜来说,这和看到真实的场景没有区别,所以它就会有“身临其境的感觉”。
如果题主指的是可以用电脑软件模拟真实场景的话,那么这些场景所用到的物理我们已经非常熟悉了。知道在特定情况下体系的运行规律然后通过解方程或者数值计算的方法得出场景中的物体该怎样运动然后解可以制作出看似非常真实地动画,比如一些电脑特效场景中的液滴飞溅的镜头并不是随意作出来的,而是通过求解流体力学的纳维-斯托克斯方程得到的 ,这样可以保证液滴飞行轨迹的合理性。具体可以参照文章:盘点电影《头号玩家》中的那些流体梗!
By Nothing
2Q
我们在生活中会有这样的经历:喝粥时,会从边缘喝起,不会太烫,但是中心温度很高,这是因为什么原因呢?和水表面张力有什么联系吗?
by 小白A
这个问题涉及到传热过程,传热主要有三种方式:对流、接触和热辐射。对于我们喝的粥,它的流动性比较差所以我们可以忽略粥里的对流传热。另外,粥的表面会形成一层膜,我们也忽略掉蒸发的影响,热辐射就更不在考虑之中,剩下的就是接触传热。很明显,粥最终是向空气传热(无论是否通过碗),边缘的粥直接和外界接触并直接向外界传热,效率比较高(温差大)。内部的粥只能直接向更外部的粥传热,这样的传热效率要低很多,因为温差很小。这么看,边缘的粥更容易变凉。但是如果我们对杯子里的热水进行分析,仍然是边缘的热水凉的快但是并没有粥表现的那么明显,因为水的流动性比较大,对流传热让整杯水保持温度近似相同。
By Nothing
3Q
为什么子弹的轨迹不能用量子力学的波函数来解释?
by 随心而行A
先公布答案:原则上子弹的轨迹可以用量子力学的波函数来准确解释,但是计算太复杂以至于无法实现。
在物理学发展的相当长的时间内物理学家信奉的是还原论的思想,也就是说只要我们知道了系统的组成部分是如何运行的,我们就能推出整个系统的运行规律。但是随着物理学的发展尤其是凝聚态物理的崛起,人们发现不同尺度下的现象遵循不同的规律,虽然高层次的规律不会违背更基本的规律,但是人类并不能从更基本的规律直接推导出更高层次的规律(因为太难了)。这就是呈展论的思想。
在这个题目中,虽然我们已经可以很好的利用量子力学描述微观粒子的运动,原则上利用量子力学也可以获得子弹的运行轨迹。但是没有人会直接利用量子力学求解子弹的运行轨迹,原因很简单:1、计算量实在是大到无法想象。2、现有的牛顿力学已经可以用小得多的代价精确地描述宏观现象,实在没有必要再动用量子力学。3、物理学中并非都是越精确越好,考虑的最周全的计算往往把所有的效应都搅和在了一起,使得我们看不清这个物理过程的主要部分是什么,反而一些抓住主要矛盾的近似方法可以把整个体系描述的更清晰。
By Nothing
4Q
如何理解量子力学中的时间-能量不确定关系ΔEΔt~h?这是否违背了能量守恒?
by  RailGun10032A
时间-能量不确定关系乍一看和不确定关系非常相似,但是它们的含义很不一样。海森堡提出的坐标-动量不确定关系是微观世界遵循的基本规律,而能量-时间不确定关系表示的是一个物理过程所牵涉到的能量展宽和时间尺度之间近似满足的关系。举一个简单的粒子,如果一个体系处于状态1,此状态包含的所有能量本征态对应的能量展宽是ΔE,让整个体系自由的演化,需要大概Δt的时间使得新的状态和初始状态完全没有重叠,这里的ΔE和Δt满足的就是时间-能量不确定关系,具体的推导过程可以参照樱井的《Modern quantum mechanics》
By Nothing
5Q
你好。我用手机摄像头拍摄到一个奇怪的绿色的光斑。肉眼看不到,但是手机摄像头可以拍摄下来。希望您能帮我分析一下。我也希望能把这个视频发给您。可以发到这里吗?
by 盖元涛A
凭借题主给出信息很难确定具体是什么原因造成的这种现象。但是我可以给出两种猜测:
1、如果题主是对着玻璃或者镜子拍照的的话,那个亮点很可能是手机的闪光灯造成的,因为手机拍照前可能闪光灯已经在玻璃上形成倒影,拍照过程刚好把这个亮点记录下来。
2、可能是镜头本身的构造引起的。一般手机镜头外还有一层玻璃的保护罩,当外界亮点的光照在镜头上后会发生反射,反射光照在保护罩玻璃上又一次反射进入镜头就会造成手机会记录下本来不存在的亮点。最终经过折射的光成的是虚像,人眼是无法看到的。

By Nothing
6Q
同时接两桶等量的水,一只水桶离水龙头较近,一只离水龙头较远,从水到达桶底开始计时(计时分开),若两个水龙头的出水量相同且忽略汽化损耗,则哪一只水桶接满水所用的时间短?还是所用时间一样?
by @心机颖儿@A
理想情况下时间是一样的,当然前提是空中的水柱处于稳定状态。
造成这个结果的原因是物质的量守恒:可以想象用一个圆柱面将水柱围起来,水从上表面流入圆柱然后从下表面流出圆柱,因为水柱处于稳定状态所以圆柱内的水量始终不变,又因为物质的量守恒,所以流入的水和流出的水是完全一样的,也就是说无论在上表面处接水还是在下表面处接水,接水速度是完全一样的,其结果就是接满水所用的时间是完全一样的。

By Nothing
7Q
请问是什么因素决定了一种物质吸收特定频率的光波,比如离子晶体一般不吸收可见光,但在远红外有特征吸收峰,书上说是因为可见光的能量不足以激发离子晶体中的电子,但是红外光的能量不是比可见光低吗?
by 星语A
决定一种物质吸收特定频率的光是由这个物质的能级和跃迁选择定则决定的。如果存在能级恰好等于光子的能量差并且满足能量、动量、角动量等等一系列守恒律,那么光子就能够被吸收。红外光的能量的确比可见光更低,所以一般不足以激发离子晶体电子能级。比如氯化钠的禁带宽度约为11eV,能够激发电子的电磁波段处于深紫外区。但是红外光依然能被吸收,实际上起作用的是晶格的振动能级。振动能级的大小和红外光光子所对应的能量是相当的(也可以看成光的振动频率和晶格振动频率相匹配,发生了共振吸收)。
By J. Baker
8Q
一个杠杆水平放在支点上,杠杆的重力和支点的支撑力是平衡的。可是杠杆各部分的重力都是向下的,它是怎么传递到支点上的?这是我女儿—-初三学生问的问题。多谢能给予解答
By 惠铁伟A
先公布答案:各个部分的重力并没有传递到支点上,杠杆的每个部分都是靠着其他部分作用到自己身上的力平衡掉自身的重力。这样的模式使得和支撑点接触的部分受到其他部分很大的作用力,支点受到的是这部分杆受到的重力和其他部分给它的作用力。如图,把杠杆分成几个部分:4撑起了5,同时5向下压4,所以3在支撑4的时候不仅要克服4自身的重力还要克服5给4的压力,以此类推支点支撑0的时候不光要抵消0的重力还要抵消1和-1施加在0身上的压力,从前面的分析不难看出这两个压力之和大小刚好等于1,2,3,4,5,-1,-2,-3,-4,-5重力之和,所以看起来好像是重力传递到支点处被支点提供的支撑力抵消。

By Nothing
9Q
为什么人们说电磁场方程具有优雅的对称性?然而实际并不完全对称?
by 你今日食左蕉未啊A
因为你没有学到麦克斯韦给我们宇宙速度有极限并且这个极限速度不随参考系改变(这不是废话么)的暗示。
你所见到的电磁场方程(麦克斯韦方程组)大概是这样的

这哪里对称,分明就是瞪着眼睛说瞎话。
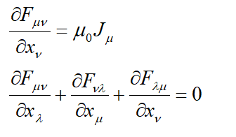
然而你可能没见过这种形式

下面这两个方程叫做麦克斯韦方程组的协变形式,多么对称,而这个对称是相对论给出来的。要说的是,由电磁学的理论导出了光速,而这个值是相对于哪个参考系的呢?这个问题引发了相对论的建立。物理的发展历史告诉我们,对称中蕴含着真理啊!
By J. Baker

本期答题团队:
   物理所  Nothing、大化所  J. Baker
写下您的问题,下周五同一时间哦~

↓识别下方二维码快速提问↓

上期也精彩
学物理的颜值高是一种怎样的体验?| No.100

编辑:X. B. Liu
近期热门文章Top10
↓ 点击标题即可查看 ↓
1. 人类一思考,上帝就要忙疯掉……
2. 原来,这些我们都默认科学家早已解决了的问题,至今仍然无解
3. 理工科学霸的子女更易患自闭症
4. 鸡蛋从高空坠落能砸死人,为什么猫却摔不死?科学告诉你答案
5. 光学3分钟:从入门到放弃
6. 光速为什么如此重要?
7. 量子计算陷入难解困境,未来发展何去何从?
8. 除了《时间简史》,关于霍金你还应该知道这些!
9. 速速收藏!可乐竟然还有这些神奇的用途!
10. 石墨烯研究的意外发现,是否能解开高温超导之谜
点此查看以往全部热门文章

到顶部