晕车药是怎么治疗晕车的? | No.92



不少小伙伴都有过晕车的经历,尤其是车走走停停的时候,o( ̄ヘ ̄o#) 。但是如果坐车之前吃一粒小小的晕车药,就能缓解不少。那究竟是什么神秘力量,挽救了坐车必晕的你呢?
1Q
雾和霾怎么区分?
By anonymousA
雾是空气中凝结的小水珠哇,在春季的早晨,接近地面的地方,蒸汽遇冷,团结在一起,变成了小水珠。而霾就没那么招人待见了,首先就物态来说,霾是一种气溶胶,由空气中的灰尘、硫酸、硝酸等颗粒物组成,使得空气能见度降低。看到霾的组成,应该可以大体推断霾的由来。就是由于大规模城市建设,工厂排放废弃污染物等造成的。这些颗粒物被称为PM2.5,即直径2.5微米及以下的悬浮颗粒,是造成雾霾的主要元凶。霾对身体的危害现在还没有显现出来,但是抬头不见蓝天,手机上显示的雾霾橙色预警,雾霾问题,已然不容忽视。
By Fi
2Q
晕车药是怎么治疗晕车的?
By anonymousA
继人为什么会晕车之后,继续来解答,晕车药是怎么工作的。晕车药分为很多种类的,它们作用机理不同。大概可以分为两类,一类作用在胃部,一类作用在神经系统。大家都知道,晕车的主要症状里有一项就是呕吐。食物在你的胃里翻滚,上涌,抵达口腔,呃,这就是呕吐的过程了。那么,如果你的胃已经排出食物到肠道里了,也就吐无可吐,症状就得到了有效缓解。明显地能看出,这类晕车药对晕车的疗效不是很大,只能解决轻度晕车。另一类晕车药,作用在神经系统,方法有很多了。直接作用在恶心、呕吐神经上,不让你恶心;作用在信号传递过程中,阻止兴奋传播并传导抑制性信号。关于神经系统方面参考高中生物教科书就足够了,而关于晕车药的更多药理性知识,也可以参考其他相关的科普书籍, 或者通过百度和谷歌等工具在网上了解一下。

By Fi
3Q
什么是反物质?它为什么会很贵?它是怎么形成的?
By anonymousA
首先我们引用维基百科上的关于反粒子的定义: 反粒子是相对于正常粒子而言的,它们的质量、寿命、自旋都与正常粒子相同,但是所有的内部相加性量子数(比如电荷、重子数、奇异数等)都与正常粒子大小相同、符号相反。有一些粒子的所有内部相加性量子数都为0,这样的粒子叫做纯中性粒子,反粒子就是它本身,比如光子、π0介子等。如果反粒子按照通常粒子那样结合起来就形成了反原子, 而由反原子构成的物质就是反物质. 例如, 一个质子和一个电子可以构成一个普通的氢原子, 而一个反质子和一个正电子(电子的反粒子, 带正电, 命名上似乎有点混淆人)则可以构成一个反氢原子. 至于说为什么反物质会”很贵”(可能用稀有来表述更好). 我们知道在平常物质世界中, 几乎不存在反物质, 而要获得反物质则只能在极端的高能实验室合成, 代价很大, 所以”很贵”. 事实上, 在我们已知的四种基本相互作用中, 除了弱相互作用, 其他三种相互作用都是C宇称守恒的(可以简单理解为正反粒子都是成对出现和湮灭的), 而目前已知的宇宙中正反粒子的数量却是极度不对称, 正粒子远多于反粒子,而这其中的原因物理学界也一直没能给出令人满意的答案。
By  Automan-Ex
4Q
车窗玻璃边缘为什么会有黑色的小圆点,有什么作用?
By 博闻强识A

很多车窗边缘都有一些小黑点,而且大小越往里越小,直到消失。这些小黑圆点的作用是在夏季和冬季保护车玻璃不受损。因为,车玻璃周围是用胶固定住的,如果在炎热的夏天车玻璃被暴晒后,车玻璃四周跟汽车的金属边框连接,车玻璃与金属边框接触的边缘也会随之升温和膨胀。但是,车玻璃中间的位置,是透明的,有透光性,吸收的热量比周围边缘要小很多,那中间部分的温度和膨胀就会小,这就很容易让玻璃周围和中间部位形成不同的膨胀并给车玻璃带来炸裂的隐患。夏天如此,冬天也同样。车窗边缘的小黑点就是用来解决这个问题的。小黑圆点从边缘位置向中间逐渐变小,其实就是一个黑色的过度。对于阳光照射的吸热能力也是一个过渡,这样就可以把玻璃的吸/放热量逐渐过渡,热膨胀在一定的距离上缓慢变化,从而保证车玻璃不会胀裂。
By 螳吉呵呵
5Q
教室里的电子白板是触摸屏,需要用手在上面写字,但有时候手离屏幕还有一点距离是也能在上面写字,为什么会这样?
By SherlockedA
首先,我们先讲一下触摸屏的工作原理。一般触摸屏分为电阻屏和电容屏,根据题主的描述,这块电子白板触摸屏应该是使用的电容屏。电容屏利用屏幕“漏电”来探测接触点的位置:用户接触电容屏时,手指和屏幕形成一个电容,对于高频电流来说,电容是导通的,所以屏幕和手指接触的位置就会形成微小的电流。手机正是通过测量这个电流的位置来判断用户的手指点在了什么位置。其实,要想让屏幕和手指形成一个电容并不需要手指和屏幕完全接触,只要两者距离足够近就能形成一个比较敏感的电容,同时屏幕就可以检测到“漏电流”,也就出现了题主说的手离屏幕还有一点距离就能写字的现象。
By 螳吉呵呵
6Q
为什么描述一个体系的运动状态,只需要位置和速度位置的一阶导数?为什么不需要更高阶的导数?
By anonymousA
事实上, 这是一个数学问题, 所谓的能够描述一个体系的运动状态其实指的是能够准确预测一个体系任何时刻的状态. 简单的说就是解一个牛顿方程, 而牛顿第二定律是一个二阶微分方程, 因此要求出该方程的定解需要两个边界条件(或初始条件), 一般以初始位置和初始速度(分别代表零阶导和一阶导). 所以对于一个经典的动力学问题, 一旦我们知道了整个系统的相互作用形式, 即受力情况, 我们就可以根据牛顿第二定律写出系统满足的一个二阶微分方程, 然后又知道了某个时刻的位置和速度, 那么就可以唯一的解出这个微分方程, 从而系统所有的动力学信息我们都可以知道了. 值得一提的是, 我们的自然界几乎不会出现高于二阶的微分方程, 因此我们很少会用到二阶以上的导数,  经典力学如此, 量子力学与相对论亦是如此.  所以很多人都会坚持一个信仰: 自然规律都应该是简单.  当然了, 对于这个问题我们没法给出任何有说服力的答案, 我们只能说: 或许这就是物理学最迷人的地方之一吧。
By  Automan-Ex
7Q
什么是非牛顿流体?有什么应用?
By 刘梦辰A

我们经常在一些节目里边看到演示人在一个装满液体的池子里快速奔跑,参与者的速度稍慢,就会陷下去,掉入池子里.但是他们跑的比较快的时候,却感觉像在平底上奔跑一样。这是怎么回事呢?实际上,池子里装的是非牛顿液体中的一种,叫做膨胀型流体。这种流体的粘性会随着剪切速率增大而快速的增大,也就是”遇强则强”。当液体遇到一个非常快的外部的打击的时候,它的粘度会突然增加变得像固体一样,所以能够支撑起来人的重量,让节目里边的嘉宾不掉到池子里去.太白粉溶液(这里的太白粉指生的马铃薯粉)就是这种典型的膨胀型流体,有节目演示过用锤子去砸太白粉溶液,并不能砸下去,但是如果将手缓慢放入太白粉溶液的时候又感觉没有阻力。由于这种优良的性质,膨胀型液体被用来做防弹衣,常见的膨胀型流体还包括面粉溶液、泥浆等。当然除了这种还有粘性随着剪切速率增大变大不明显的液体,这种液体搅拌速度越快,越省力。叫做假塑性流体,会有维森堡效应、开口虹吸现象、熔体破裂、巴拉斯效应等有趣的现象。还有另外一种叫宾厄姆流体,它的性质为在某个范围的作用力下,它不会发生形变和流动,只有当外力达到一定值之后才能使它发生形变和流动,比如我们常见的牙膏.它们都是非牛顿流体。
By  望江楼
8Q
为什么万有引力和库仑力都和r^2成反比,微观的时候万有引力可以忽略而宏观上万有引力占主导?
By 墨菲A
虽然万有引力与库仑力都与距离的平方成成反比,但是比例的系数是不一样的,万有引力的比例系数比库仑力要小的多。所以在微观领域,万有引力的大小相比于库仑力则要小许多。但为什么随着物体的变大只有万有引力提升了而库仑力却没有呢?那是因为原子不仅有带负电的电子,还有带正电的原子核,所以通常物体是处于电中性的。也可以这样理解,库仑力不仅有吸引力还有斥力,吸引力和斥力叠加在一起便抵消掉了。电荷会受到库仑力是因为存在有电场,同样的我们受到万有引力是因为有引力场。由于地球的质量非常大(5.965x10^24kg),所以它产生的引力场很强。因此虽然你只有100多斤,但也会受到不容忽略的引力。顺带一提,虽然引力的大小和引力场有关,比如在月球上我们会“轻”很多,但是你的惯性质量m是不变的。因此我们可以得出一个很重要的关系式

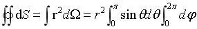
通俗来讲就是即便你去了月球感觉自己身轻如燕,但该多胖还是多胖。最后再来点干货。我们知道库仑力与引力都只与距离有关而与方向无关,对于球面,其面积积分

看到那个耀眼的r2了吗?如果我们把电场、引力场代进面积分,r就被消掉了。拿电场来说,也就是电通量保持不变。(之前有一期问答在讲库仑力的系数时对这个问题讲的比较详细,感兴趣可以参考走路的时候静摩擦力到底做不做功?|No.81)
By  Patwf

本期答题团队:
物理所 Automan-Ex、螳吉呵呵、Fi、Patwf、望江楼
写下您的问题,下周五同一时间哦~

↓识别下方二维码快速提问↓

上期也精彩
鬼火是怎么回事?| No.91

编辑:X.B.Liu
近期热门文章Top10
↓ 点击标题即可查看 ↓
1. 没有被数学虐哭过的人,不足以谈人生!
2. 《Science》公布2017年全球十大科学突破,哪项研究成果拔得头筹?
3. 大爷瞬间消失!量子隐身衣问世?浙大老师发明?专业人士揭秘视频真相
4. 2017年你不可不知的十大科学发现
5. 史上最全面最标准的数学符号、公式的英语读法
6. 中科院物理所全球招聘,就等你来!
7. 学校老师可能不会告诉你的10个科学知识,还对这个世界充满好奇的宝宝快快猛戳了解!
8. 用微波炉烧开水?小师妹你还是学乖点用水壶吧!
9. 宇宙之所以存在,是因为电子不够圆?
10. 十大值得我们感激的科学现象,或许这就是人类存在的理由
点此查看以往全部热门文章

到顶部