橡皮为什么能擦掉铅笔字?| No.89



小学的时候大家都用铅笔写字,哪里不对擦哪里。但是,用了这么多年的铅笔,你知道铅笔字是怎么被橡皮擦掉的吗?
1请问橡皮擦铅笔字是怎样一个过程?
by 苏飞龙

理解这个问题我们要先理解橡皮擦和铅笔芯的主要成分是什么,铅笔并不含铅,之所以被叫做铅笔是由于历史原因。古希腊罗马时期人们使用铅棒写字,后来14世纪开始出现类似现在的铅笔,目前市面上卖的铅笔的芯主要是石墨和黏土按一定比例混合制成的,分别用H和B来描述铅笔芯的硬度和石墨的含量,其中H前面的数字越大代表混合用的黏土越多,铅笔芯也就越硬。同理,B前面的数字越大写出来的字迹就越黑,同时铅笔芯也就越软。在石墨里边碳原子呈现层状的排列,层与层之间非常容易滑移铅笔芯里面的石墨颗粒在你写字的时候就粘在纸纤维上了。而橡皮擦的主要成分是橡胶,能够吸附粘在纸上的石墨。但是天然的橡胶不容易掉屑,粘在上面的石墨把橡胶变黑再去擦字反而会越擦越脏。后来人们向橡胶里边加入硫等物质,这样在擦字的过程中橡皮擦吸附石墨的部分就会团在一起变成碎屑掉下来,这就是现在的橡皮擦啦。
2
为什么人会晕车呢?
by 杨浩
唉,看到这个题目就有点犯恶心呢。晕车的滋味可不好受,头晕、想吐。尤其是在颠簸的车上玩手机的时候,这种症状强烈加剧。至于为什么会晕车,原因就是耳朵里的平衡感受器受刺激了。具体的专业术语我就不在这罗列了,大体就是耳蜗内有专职水平,垂直方向的感受器,当你在车上,上下左右颠簸的时候,它们就受到了强烈的刺激,发出生物电,传到神经中枢。神经中枢的反应就具体表现为,头晕,恶心,呕吐。当然,晕车也是因人而异的,平衡感受器比较敏锐的人,更容易晕车。可能这也不是什么坏事呢,这样的人是不是更适合走平衡木呢?当然,如果你实在难受(;_;),就在坐车前吃一片晕车药吧,管用的很!
3我们的手机每天是怎么计算我们走的步数的?      by L
现在的智能机普遍配备了加速度计、陀螺仪、指南针等传感器,这些传感器在手机发生移动的时候会收集数据传给手机上的操作系统进行分析。手机里边的加速度计是一个不断振动的微机械摆件,通过测量外界加速度对振动的影响来测量手机的加速度。操作系统拿到这些数据之后,会使用算法对传感器的数据进行识别,比如人在走路或者跑步的时候,加速度计会测到一定范围内的周期信号,因为手机不是固定的,所以会有很多其他的移动造成的噪声。通过滤波算法去掉那些噪声之后,通过分析信号的振幅和频率,会把一秒几次的信号当成走路的信号,然后来计算所走的步数。一般手机都是从几个周期以后开始计数的,所以一般来说比实际的步数要少一些。另外小编的体会是在手机加入磁传感器之后,手机的指南针功能也有大幅度的提升,还记得早期的智能机地图的指向几乎是瞎指,╮(╯_╰)╭,磁传感器是通过测量地磁场来进行方向识别的。虽然地磁场比较微弱,但是基于现在强大的传感器技术,手机上的磁传感器能够轻易测出地磁场的方向来确定方向,这要归功于霍尔效应的发现。通过测量磁场下偏转电子在上下极板上的微弱的电压,可以得知磁场的强度。在不同的方向上分别测量磁场强度,即可找到地磁场的指向从而辨别方向。

4同种物质在不同溶剂中的溶解性是有什么决定的?     by 上善若水
溶解性是指一种物质能够被溶解的程度,溶解的物质叫溶质,溶解他物的液体(一般过量)叫溶剂。我们常用溶解度来描述某种物质溶解性的大小,溶解度定义为在一定温度下,某固体物质在100g溶剂里达到饱和状态是所溶解的质量。一般而言,一种溶质在溶剂中的溶解度由它们的分子间作用力、温度、溶解过程中所伴随的熵的变化以及其他物质的存在及多少有关,有时还受到气压或气体溶质的分压的影响。温度确定时,同种物质溶于不同的溶剂,决定溶解度大小的主要是分子间作用力。极性溶剂和非极性溶剂便是最好的例子,极性分子易溶于极性溶剂中,非极性分子易溶于非极性溶剂。溶质微粒和溶剂微粒间相互作用和原先溶质微粒间、溶剂微粒间作用相近,则溶解的就会较多。
以上考虑的主要是液体或气体的溶解,在固体溶解中,一种固体溶于另一种固体不改变其晶格类型形成的固态晶体,我们一般称之为固溶体。影响固溶体溶解度的主要因素是晶格结构相似性、原子半径的相对大小、离子化合价以及电负性,当然还有温度。5请问液态金属有哪些基本物理性质,未来有哪些具体应用? by Federal      
由于历史原因,现在流行的液态金属这个词有两个含义,分别指在常温下可以随意流动的导体(liquid metal)(也就是上图中第一种)和一种非晶态合金(liquidmetal)(上图第二种,嗯,就是iPhone的SIM卡托取卡针)。之所以出现这种情况是因为在非晶态合金刚做出来的时候有一家叫Liquidmetal的公司想要让这个更炫酷一些,为了吸引眼球就把这个也叫做液态金属,但这种液态金属并不是液态的。下面我分别介绍。第一种液态金属指的是常温下可以流动的金属,金属单质中只有汞是液态(就是体温计中的水银),然后钠钾合金、镓铟合金常温下也是液态的。他们不同于一般的液体,具有良好的导热性能,所以钠钾合金可以被用在做反应堆的冷却剂上面。第二种液态金属要更常见一些,但是实际上是固态的,由高温熔化的金属通过超快速冷却(每秒降低100~100000℃,不同的组成成分需要的冷却速度不同)得到。我们都知道常见的金属都是晶体,内部的原子排列是非常整齐划一的。但是这种液态金属由于冷却速度过快,原子还没来得及整齐排列,就已经固化在一起了。由于没有晶界,内部原子呈现无序均匀排列,液态金属有比传统金属更高的强度和硬度。同时由于液态金属由熔化的合金快速冷却得到,所以具有更好的可塑性。是一种非常理想并且具有广泛应用前景的金属材料。
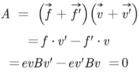
6安培力是洛伦兹力的宏观表现,但洛伦兹力永不做功,为什么安培力还能做功?by Flash
大家在学习安培力的时候,遇到这个疑问,课本上给出的解释是:安培力只是洛伦兹力的一个分力,所以安培力做功而洛伦兹不做功。所以是时候祭出一张图了:

(图片来源于网络)
图片中导线以v向右运动,其中电子受到洛伦兹力 f =  evB,在洛伦兹力f下,电子以速度 v' 向下运动,受到洛伦兹力 f' = e'vB 。
一个力所做的功,可以用合力与合位移的内积计算,也可以求各个分力做功的代数和,使用第二种方法,则计算得洛伦兹力做功为

表现为洛伦兹力不做功。
这个时候,洛伦兹力更多地起到中介的作用,将非静电力做功转化为电势能。
7永磁材料的磁性是怎么产生的?by  杨浩
永磁材料,即能够长期保持其磁性的材料,也称为硬磁材料。其特征为:矫顽力高、剩磁大、磁滞回线面积大。永磁材料分为铁氧体永磁材料和合金永磁材料。铁氧体永磁材料中最常见的就是自然界中直接可以获得的磁铁(四氧化三铁)。后者则包括最先能够大量生产的永磁体为淬火马氏体钢以及稀土永磁材料。三代稀土永磁材料分别为SmCo5、Sm2Co17和Nd2Fe14B。
我们这里以稀土永磁材料为例来解释其磁性起源。稀土永磁材料主要是由4f稀土族元素和3d过渡族元素构成的金属间化合物。
3d金属元素的原子磁矩主要来源于3d电子,而晶体场会导致3d电子轨道磁矩被冻结,因此磁性主要来源于未抵消的自旋数。前面提到的Fe和Co电子组态分别为3d64s2、3d74s2,对应的金属表现为铁磁性。
稀土元素的原子磁矩主要贡献来源于4f电子。而4f电子由于受到外层6s、5p电子的屏蔽作用,因此表现出局域性。而同时根据RKKY相互作用,即局域电子和传导电子间的交换作用,导致传导电子自旋极化,从而形成间接耦合,表现出铁磁性(这里不考虑Friedel振荡等复杂的情况),从而产生自发磁化。
8如何理解晶体是空间平移对称破缺的产物这句话?(原子位置的周期性破坏了任意平移的不变性)?  by 海森堡的小迷弟
首先解释一下对称性自发破缺的概念: 当系统哈密顿量(或拉氏量)具有某种对称性时, 那么我们知道它的基态可能会是简并的, 若系统最终不能处于这些简并态的叠加态,而是由于涨落, 任意选择其中的一个不具有系统对称性的态, 那么我们说该系统的对称性自发破缺了. 理解对称性自发破缺机制最好的例子就是用Ising模型来刻画磁体的自发磁化问题: 我们知道Ising模型本身具有一种Z2对称性,也就是对于将所有自旋翻转过来这样的操作, 系统会保持不变, 所以它的基态有所有自旋为+1和所有自旋为-1这两个简并态. 但是由于热力学涨落的关系, 系统最终只会选择这两个态中的其中一个,而不会选择他们的叠加态. 至于原因, 简单来说就是他们的叠加态是一种长程关联的态, 在热力学极限下会很快退相干, 极度不稳定. 显然, 无论系统最后选择的是自旋全部为+1还是-1, 系统的基态都不再具有Z2对称性了, 如果此时我们测量该系统的磁化强度的话,会发现系统具有自发磁性, 而磁化方向取决于系统选择了哪个态. 同理, 晶体相变也是一样: 系统哈密顿量包括原子的动能和原子间相互作用两个部分, 前者与原子坐标无关, 后者只与原子间相对位置有关, 因此系统哈密顿量具有连续的平移对称性(即对于将所有原子向同一个方向移动相同的距离这样的操作, 系统保持不变). 但是同样由于热力学涨落, 系统的基态是每个原子只会占据在规定的位置这样的晶体态, 只具有相应的晶格平移对称性, 所以说系统的连续平移对称性自发破缺了. 

本期答题团队:
物理所    望江楼、Automan-Ex、Aaron Chen、Fi、螳吉呵呵、勿用
北京理工大学  CJP
写下您的问题,下周五同一时间哦~

↓识别下方二维码快速提问↓

上期也精彩
手机是如何测剩余电量的?| No.88

编辑:xbLiu
近期热门文章Top10
↓ 点击标题即可查看 ↓
1. 没有被数学虐哭过的人,不足以谈人生!
2. 《Science》公布2017年全球十大科学突破,哪项研究成果拔得头筹?
3. 大爷瞬间消失!量子隐身衣问世?浙大老师发明?专业人士揭秘视频真相
4. 2017年你不可不知的十大科学发现
5. 史上最全面最标准的数学符号、公式的英语读法
6. 中科院物理所全球招聘,就等你来!
7. 学校老师可能不会告诉你的10个科学知识,还对这个世界充满好奇的宝宝快快猛戳了解!
8. 用微波炉烧开水?小师妹你还是学乖点用水壶吧!
9. 宇宙之所以存在,是因为电子不够圆?
10. 十大值得我们感激的科学现象,或许这就是人类存在的理由
点此查看以往全部热门文章

到顶部