为什么深海海底会没有光?| No.78


 
今天的天气阳光明媚
我们走在路上
鸟语花香
你可曾想过那深海
是怎样的一番模样
1Q
筷子为何在水中像折断?
By Pp
A
筷子在水中看起来像折断是光线在空气和水的界面发生折射引起的。如图所示,离开筷子端点的光线经过界面时,由折射定律我们可以判断光线向远离法线的方向偏折,进入人眼。根据光沿直线传播的经验,逆着光线看过去,光线仿佛是从高于端点的位置发出的,结合水面上的筷子,感觉筷子在界面处被折断,且向上偏折。如果液体的折射率不是均一的,就有可能观察到筷子变弯了;如果液体的折射率比空气小,我们就会观察到筷子向下折了。

光的折射还会引发更多有趣的现象,比如往脸盆中倒水,看到盆底深度变浅;潜水中的人看岸边的人变高;从厚玻璃砖后看到钢笔错位;“海市蜃楼”或“沙漠神泉”等现象。
2Q
为什么深海海底会没有光?
A
海底为什么没有光?因为光都(也可以说绝大部分)被上层的水吸收掉了。什么?!水不是透明的吗?那么我们来看下当我们说透明时我们在说什么:在底部有图案的水盆里放满清水,从顶部仍然可以清楚的看到底部的图案,这就是所谓的“透明”的水。但是你有没有考虑过如果这个“脸盆”深10000米(马里亚纳海沟深11034米),你还能看到底部的图案吗?答案是不能,光的强度随光的入射深度的关系是: , 是入射光强、a是正常数,可以描述介质对单色光的吸收能力,L是入射深度。10000米厚的纯水层会把入射光吸收殆尽。而海水的吸光能力要强于纯水,所以还没到达深海,阳光就被吸收掉了。在平时生活中,我们不会认为水、空气(没有雾霾)之类的介质会显著的影响我们的观察,但是当介质的厚度足够厚的时候,我们的观察结果就会被显著影响。比如,哈勃望远镜就是为了避免大气对观测结果的影响才被送入近地轨道的。3Q
为什么脏水是绿色的?
A
emmmm,有些脏水不是绿色的。比如混入泥浆的水、被石油污染的水、很多工厂排放的污水。这些脏水都不是绿色的。想必,题主说的脏水是这种水:

水的这种颜色主要是由水体中过量的绿色藻类造成的,藻类的爆发又是因为水体富营养化。水体富营养化是指大量的氮磷元素污染水体的现象。读者可能会问:水里营养多不好吗?这里的营养并不是水体里的鱼虾可以直接摄入的食物,而是藻类、微生物生长繁殖所需要的养分。水体富营养化会造成藻类和浮游生物疯长,其结果是水中溶氧下降,鱼虾大量死亡。不同的优势种藻类会让水体呈现不同的颜色,常见的有蓝色、绿色、红色等。水体富营养化的造成主要是因为短时间内向水体中排放大量生活污水或者富含氮磷元素的工业废水,当排放量远远大于生态系统的净化能力时,水体富营养化就出现了。
4Q
晶体熔化处于固液共存时,继续加热为什么温度不变?
By 鑫鑫
A
这个问题是一个关于相变的问题,一般晶体熔化是一个一级相变的过程,在固定压强下其熔点是唯一的,此时处于固液共存的状态。晶体在不断加热时,开始升高温度,晶格上的原子或分子振动不断增大,当其振幅达到一定长度时(一般是分子/原子间距离的某个比例),晶体开始融化,可以由此推算出一个固定的温度,即为熔点。此后加热将吸收能量破坏晶体的晶格结构,逐渐形成液态。直到完全融化温度继续升高。但在现实生活中,一般固体都不是完美晶体,有很多缺陷甚至是多晶,所以一般其熔点并非固定一个值,而大概在一个很小的区间。
5Q
为什么一盆水搅拌能加速降温?
By 夏洛克
A
水之所以会降温,是因为它的温度高于环境的温度,因此热量将从水传递给周围的环境。在与容器器壁的接触面以及与空气的接触面附近的水将热量传递给环境后温度降低,低于容器靠内部的水,因此热量将从容器靠内的水传递至接触面。所以,如果你不去搅拌的话容器内部的水温度是不均匀的。两物体的温差越大,他们之间的热传递就越快。当你搅拌了水之后,水由于流动使得温度趋于均匀,相当于大幅度缩减了容器内部水的热传递。此时,接触面附近的水温将升高,进而它与环境的热传递也加快。综合起来,水降温的将比不搅拌要快。
6Q
物理题能用方程解吗?为什么?
A
究数理之根源,窥天地之奥秘!一般说来,数理不分家,物理题是可以用数学方程进行求解的,但对于求得的方程解能不能直接使用,却是一个很值得讨论的问题。
以简单两体追及问题为例,物体A开始以速度Va匀速运动,t0时刻后,物体B以加速度aB开始做匀加速运动,求物体B追上物体A的时刻。

假设速度、加速度均为正,解法如图:

我们在解方程的过程中得到了两个方程解,但我们利用时间相关的条件舍去了不符合物理意义的解。一般而言,物理问题是可以用方程或方程组进行求解的,但我们往往要对所求得解的正确性进行讨论。对于某些特殊的情况,比如三体问题,由于系统的自由度数大于方程数目,无法直接解析的解出运动轨迹。
7Q
为什么地球公转的轨道是椭圆而不是圆?
A
开普勒在1609年发表了他的第一定律和第二定律,第一定律内容为:行星绕太阳作椭圆运动,太阳位于椭圆的一个焦点上。虽然开普勒定律是在大量的观测资料上总结出来的,但是数学上可以证明如果地球仅受到来自太阳的力,这个力是有心力(也就是始终指向太阳的重心)且力的大小与它们之间的距离r成平方反比关系,即F,根据能量守恒和角动量守恒我们可以得到有心力作用下质点的轨道方程(以太阳为参考系,质量变成折合质量)

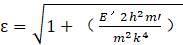
这个微分方程的通解为,从这个解我们可以看出在有心力作用下质点轨迹是一条圆锥曲线,且偏心率,可以看出当时,轨道为圆,而当E’只是简单的小于零时,质点轨道为椭圆。很明显,轨道为圆的条件比椭圆严格的多,并且考虑其他天体的微扰,大部分情形下,轨道更接近一个椭圆。不过太阳系八大行星轨道与圆都相当接近,地球轨道目前偏心率为0.0167,事实上比你能画出来的圆都要圆
8Q
压强产生的原因是什么?
By 陈明亮
A
压强P=F/S,即单位面积所受的力,所以如果一个面有受到力的作用,那么就相当于是给它施加了压强。以重力为例,在水中越深的地方将受到上方越多的水由于重力产生的压力,因此水越深的地方压强越大。以气体为例,气体分子在不停地做无规则热运动,虽然平均速度为0,但是在各个方向上的分量不为0。当分子撞击到一个面上时会发生碰撞被弹回去,这一过程其动量发生改变。动量的改变需要力,故而气体分子会对碰撞面会施加压力。气体分子的数量非常多,碰撞的频率很大,宏观上便产生了压强,对理想气体有P=nkT。

本期答题团队:
 物理所 Patwf、yangfz、勿用、螳吉呵呵
写下您的问题,下周五同一时间哦~

↓识别下方二维码快速提问↓

上期也精彩
为什么冷水冲不开咖啡,热水冲开之后不会沉淀?| No.77

编辑:三只猪、J.C.
近期热门文章Top10
↓ 点击标题即可查看 ↓
1. 听说香蕉和枣一起吃会看到人生的走马灯?实验揭秘最最最恶心的吃法配方
2. 看 10 米女子跳台能乐一天:或许这就是物理大佬吧
3. 看了这个就不会得罪女友了
4. 我知道原子很小很小,但是,它究竟小到什么程度呢?
5. 为什么飞机不会被闪电击落?| No.73
6. 一个病毒的自我修养:为了生存,我也是蛮拼的
7. 放慢看,自然有多神奇
8. 美国陆军发布20项重大科技趋势,将在未来30年改变世界!
9. “物理的尽头是数学,数学的尽头是哲学,哲学的尽头是神学”对吗?
10. 物理不是你成为单身狗的借口,量子力学大牛狄拉克帮你重拾信心……
点此查看以往全部热门文章

到顶部