世界上有两个一样的原子吗? |No.36


 
后台的问题依然稳定地在增长,可喜的是问题的平均水平也在增长,民(min)科(ke)问题几乎不见踪影!
Hooooray~~
p.s. 这里小编发起一个请求,就是请小伙伴们给我们已经初见规模的答题团队起一个名字,检验真爱的时刻又到了…(采纳后小编看心情给惊喜!)
1
Q
到医院拍X光片,有专门的铅防护服,能有效防护X射线的危害。请问为什么铅能防辐射,是因为密度大吗?那是不是比铅密度更大的金属如钨、金、铂等防护效果更好呢?
by 国富兵强

X射线家族占据了波长从0.01纳米到10纳米的波段,能量从100eV到100000eV,是光谱中相对比较健壮的光,在传播过程中横冲直撞,穿透力强,目前人类发现的能阻挡X射线的方案主要有如下两种:1.光电效应,即原子中一个比较外围的电子把这个X光光子吃掉,这样X光的能量就被电子吸收了,一般来说这个能量足够电子摆脱原子核的束缚,并且以很快的速度飞出去,能量也比入射的X光子低一些。对于能量较低的X光,这个效应占主导,2.康普顿散射,也就是入射的X光光子和自由电子撞在一起,电子被撞飞,而X光的能量也损失掉一部分,并且会改变X光光子的方向,这个效应对于能量较高的光子占主导。由于光电效应对于原子序数较大的元素吸收效果较好,而且在生活中接触到的X光中主要考虑光电效应就好了,因此选用铅这种原子序数(铅为82)较大密度较高而且还没那么贵的材料来防护,这是效果与成本综合考虑的结果,并且原子序数更大的金属可能本身也有辐射。你说的材料中原子序数分别为钨74铂78金79,还是铅更理想。
参考网站:
https://global.britannica.com/technology/radiation-measurement#ref620681
2
Q
世界上没有两片相同的叶子,没有两枚相同的指纹,那存在两个一样的原子(以及其他粒子)么?如果不同,有什么差异呢?
by 叼烟斗的猫A
在宏观世界,“同类”的事物总可以通过更细致、复杂的结构(比如两片叶子的叶脉)加以区分。但在微观世界,同类的基本粒子则具有完全相同的“内在的”属性(内禀属性):比如所有的电子都具有相同的电荷、静质量、自旋…,在此之外我们可以认为它们不再具有其他的自由度或更精细的结构,因此我们可以认为同类的基本粒子都是相同的。即使是具有细致结构的同类粒子,例如两个氢原子,我们也可以设想它们的状态完全相同(比如说电子占据相同的轨道…),这样具有完全相同状态的粒子则可以被认为是“一样的”。
3
Q
还是和薛定谔的猫相关的问题。已知观测会导致叠加态的坍缩,那么假设我们打开盒子观测,发现猫还活着(叠加态已经坍缩),然后再关上盒子,那么此时猫的生死就又回到了叠加态?
by 猫的薛定谔A
嗯,薛定谔这个名字一定会在猫的历史上留下记载。猫本来好好的,结果被世界人民玩得死去活来,跑题了~~~首先解释一下为什么宏观世界见不到薛定谔猫的态,其实是因为在薛定谔猫这个例子里面,观测并不是在盒子打开的时候发生的,而是在盒子里面的盖革计数器计数的时候就已经发生了(换句话说,猫早就知道自己的死活了)。根据这个解释,盖上盒子猫不会回到又死又活的状态。其实在微观世界里,这也是不会发生的,我们对一个物理量进行观测,这个系统就坍缩到该物理量的本征态,也就是被改变了,就不处于原来的叠加态。不过根据量子力学的原理,某个物理量的本征态可能是其他物理量的叠加态,你的愿望倒是有可能满足。打个比方,我们找到猫的另一个“物理量”进行观测,比如猫有没有尾巴(假设猫是有尾巴和没尾巴的概率叠加)当我们看到猫没有尾巴时,很可能猫就回了又死又活的状态。
4
Q
翻以前的推送看到《黑与白之歌》的转载,为什么置换反应表现出来是被析出的金属(如银)像是树一样生长,还能分叉?不是应该只是在活泼金属(如铜)与溶液接触位置才会发生反应么,看视频倒是像新的银在原来银树的基础上析出,求解(。ì _ í。)
by JeanineeeeA
     首先感谢这位读者的对公众号的关注,mua。溶液中的置换反应并不是直接的离子交换。我们知道Cu和Ag都是金属,金属中的价电子是自由运动的,就像空气分子一样,所以叫自由电子气。置换反应可认为包含了两个步骤:第一:Cu原子失去电子变成离子进入溶液,第二,Ag离子从金属中获得电子变成金属单质沉积在金属表面,由于电子是到处乱跑的,这两个过程并不一定发生在同一区域。那么为什么Ag离子会在Ag表面析出而不是Cu的表面呢?这涉及另外一个知识(真是个划算的问题)。当Cu和Ag接触时,由于费米能不同,电子趋向于往Ag方向跑,最后达到费米能相同。就像两桶水高度不同,如果拿管子连起来,水高的会向低的里面流,费米能就是“水面”的概念,只不过,金属里面装的不是水,是电子。
5
Q
现在观测星星主要还是靠望远镜吧,只靠收到的光谱怎么知道天体有多远?这么远收到的光谱不会被污染吗?
by BingqingA
从收到的光谱可得到该谱线的红移,1929年哈勃发现,河外星系等遥远天体,其谱线红移z与距离r成正比,关系为   ,其中c为光速,H0为哈勃常数,这就是著名的哈勃关系。由此便可以由光谱得知天体距离地球的距离。但实际上,哈勃关系只有当红移z<<1时才成立。对于红移较大的情况,结果就要复杂了,而且与其他一些宇宙参数有关。(其实测量天体距离的方法还有,对于距离太阳较近的恒星,可采用三角视差法,即通过地球处在公转轨道相隔半年的位置时恒星相对于地球的不同角度,以及公转轨道的半径,根据简单的几何计算即可得到目标恒星的距离。对于较远的恒星,可采用新星、超新星等宇宙“标准烛光”来测距……)
事实上望远镜接收到的天体的光谱,不论远近,在一定程度上都会有“污染”,一部分是望远镜系统自身所造成的,一部分则是环境因素所造成的,如果是地面望远镜,大气的影响就会很大(例如大气层对除了可见光以及射电波段的光的透过率都很低),空间望远镜就能避免大气的影响。对于这些影响,而光在传播路程中所受的影响则是没法避免的,例如光经过一个大质量的天体,其红移就会增大,光经过宇宙尘埃,会被吸收掉一部分等等,当然研究人员在研究时会想尽各种方法去掉这些影响。
6
Q
相对论中的速度是物体的相对速度还是绝对速度呢?如果是相对速度又是相对什么的,绝对速度又是指什么?
by CynthiaA
首先必须指出,在相对论的框架下,是没有绝对速度这一说的。在中学我们都学过参考系,这是我们衡量一个物体运动的参照物。绝对速度意味着有一个特殊的参考系,它是“绝对静止的”。19世纪时,科学家们认为以太,即假想中光传播的介质,就是这样一个参考系。但后来的种种实验与理论的背离,令科学家们放弃了以太学说。狭义相对论中,一切惯性参考系都是平等的,没有“特殊”的那一个。这时我们谈论的速度概念,就是一个物体相对于某个惯性参考系的运动,这当然是相对速度。
7
Q
怎样测出寿命很短的粒子的性质?
by 至尊宝A
要想测量不稳定粒子的性质,直接测量是非常困难的,故而人们都喜欢选择间接测量。一种常用的方法是利用这种粒子衰变后的末态产物(例如电子、光子等)性质进行反推。实验室中的对撞机产生末态粒子数据后,可以在各种守恒率的约束下(例如最简单的能动量守恒等)进行倒推,通过对大量实验数据的综合分析处理,进行合理的修正以后,就可以愉快的倒推出来中间态粒子的各种性质。
8
Q
自由中子的半衰期很短,为什么原子核中的中子可以稳定存在? 
by RailGun10032A
先说自由中子,自由中子可以衰变为质子、电子和一个反中微子,这一过程由于静质量有减少,过程释放能量,所以自由中子会倾向于衰变,半衰期约10分钟11秒。
而对原子核来说,中子衰变的过程还要考虑核子间的结合能。原子核中的一个中子如果衰变为一个质子,总的能量会升高。这是因为原子核内质子之间有强烈的库仑排斥力,把一个中子换成一个质子,与其他核子间的强相互作用(吸引力)几乎不变,却使库仑势能提高,所以总的能量提高了。只有当外界提供足够能量,原子核内的中子才会发生衰变。
更具体来说,质子、中子均为费米子,在原子核内遵从费米分布。质子和中子在核内各自按一套能级分布,都分壳层,遵循能量最低原理(从能量由低向高排),也都遵从泡利不相容原理(一个能级最多占据2个自旋相反的质子/中子,可以想象电子的排布)。所以a个质子占据约a/2个质子能级,b个中子占据约b/2个中子能级。由于质子间有库仑排斥而中子间没有,质子的平均能级间隔要更大。在一个稳定原子核中,非重荷的原子,质子和中子数相近,占据最高能级的质子比占据最高能级的中子的能级高,中子的衰变很难发生;对于重荷原子,中子数相较质子数较多,占据最高能级的质子比占据最高能级的中子能量差不多,所以Beta衰变可能发生。
9
Q
小编你好 问下在狭义相对论专题中:1.由“在两个坐标系观察光源的速度相同”这个条件好像并不能推导出洛伦兹变换公式啊 仅仅是带进去成立而已 能给出严谨的数学推导吗 2.还有两个人以一定速度做相对运动时仍可以比较时间吧 通过发送电磁波就可以啊反正我们假设光速不变而且人的速度无法超过光速另一个人肯定能接受到电磁波3.双生子佯谬的解释中速度怎么可以突然反向?不是还要有加速度吗 我认为这个问题狭义相对论确实解释不了。   
by PLTTA
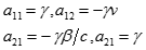
1,推导这个问题不得不用公式
惯性参考系之间是平等的,所以变换和逆变换的形式应该一样,显然,线性变换满足这一特点
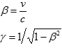
(在这个简单模型下可以只考虑一维)坐标系P和P’原点重合,某一点在P系坐标(x,t),P’中坐标(x’,t’)。考虑在t=t’=0时,原点发出一束光,且P’系开始沿P系x正半轴做速度为v的匀速运动,则有这样的变换。
 
由于光速的不变形,则有
 
代入得到
 
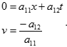
原点O’在P系中运动,但在P’系中是固定点,因此
 
显然x’和t’是增大的,
 。记
 
 。
(数学美不美?)
2,的确,但即使我们考虑了这一部分消耗的时间,仍然会出现相对论效应。
3,双生子佯谬这个问题是一个模型,模型可以忽略一些条件。至于为什么速度会突然反向,我觉得可以脑洞一下,说不定你就会是下一个凡尔纳,或是下一个刘慈欣:)
10
Q
为什么波函数ψ必定是复函数?
by 喀戎A
这个回答只是小编自己的理解,全当抛砖引玉的,大家有不同意见欢迎留言讨论~~
——————————————————
这个问题的第一感觉是因为,对于波函数,我们观测到的东西是一个实数的概率分布,但是,控制系统演化的波函数却是一个复函数ψ(x,t)。通常的说法(一般教科书)是波函数具有一个不重要的相位因子,也就是U(1)规范自由度。但是真么回答你肯定是不会满意的(我自己也不会满意)~~那怎么理解呢?
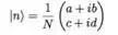
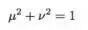
让我们以最简单的自旋1/2系统为例,来看看怎么回答这个问题。首先对于自旋态的表示,对于自旋1/2的粒子,它的自旋波函数是一个二分量的波函数  其中μ,ν是两个数,我们先来看看如果波函数必须是一个实的波函数,会怎么样?
【实波函数】 
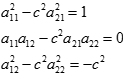
那么μ,ν是两个实数,这样的话,再由波函数的归一化条件,我们知道必须满足
 
那么我们可以看到,这时候二分量自旋波函数的自由只有一个(因为原先μ,ν两个自由度减去归一化条件一个自由度),那我们知道,自旋本质上是角动量,描述一个方向的角动量,我们知道,至少需要两个自由度(θ,φ)
 
显然,实数的波函数不能够完全描述我们的系统。
【复波函数】
如果μ,ν是两个复数的话,我们知道一个复数有两个自由度,那么现在我们有四个自由度,同样减去归一化的一个约束条件,我们实际上有三个自由度来描写波函数。
 
 
同样的,描述一个角动量的方向,我们同样需要两个自由度(θ,φ),那么剩下一个自由度?是的,这个自由度就是规范自由度,描写波函数整体相位的一个自由度。所以,我们看到,用实波函数来描写量子系统,就会面临描述不完全的情况,而用复波函数来描写量子系统,就会面临自由度增加的情况。那这个增加的规范自由度有什么物理意义么?
由于篇幅的限制,这里就简单的说两句,感兴趣的同学可以自己去维基。对于单粒子的自旋系统,这个多余的相位自由度实际上就是Berry相位,是一个几何相位。最近比较火的拓扑绝缘体就和这个东西有关,同样在超导和超流中,也是由于这个相位选取一个特定值的结果,即所谓的U(1)规范破缺。
总之呢,大自然看似为我们带来了一个未知的自由度的同时,也为我们打开一扇通往新世界的大门~~~~

本期答题团队:
物理所THU物理系41的同学、北理工 文卿
写下您的问题,下周五同一时间哦~

↓识别下方二维码快速提问↓

上期也精彩
赫罗图?恒星演化的套路 | No.35

编辑:WQD
近期热门文章Top10
↓ 点击标题即可查看 ↓
1. 如果再读一次研究生
2. 13张图,带你认识大学各专业
3. 你以为你很懂水?
4. 拿过奥运会奖牌的数学家,数学博士答辩时却坐满了他的球迷
5. 磁场的本质是什么?|No.32
6. 广义相对论和狭义相对论的根本区别 |No.31
7. 物理天才马约拉纳消失之谜
8. 研究量子场论的 也许是这个星球上最聪明的一群人
9. 他是中科院超牛的物理学者,更是摇滚界无人不知的“李白”
10. “逗妹纸”的16种用法 | 线上科学日
点此查看以往全部热门文章

到顶部