为什么自然界只有正负两种电性?|No.33



这一期的问题回答的可能都比较长
适当的时候
可能会加一个表情包
※※※※※※※※※※
※※※※※※※※※※
※※※※※※※※※※
↑ 刮开显示 ↑
作为缓解大家阅读压力的秘密武器
1Q
弹力到底是四种基本力中的什么力?
PiggyA
弹力不是四大基本力,弹力是四大基本力中的电磁力的宏观表现。本质是材料分子在外力做功下偏离电磁场基态,电磁场被激发而储存的额外能量就是弹性势能。
2Q
请问利用万有引力如何测量地球的质量? 
黑土不黑A
根据牛顿万有引力定律,两个物体之间的引力与它们的质量成正比,和距离的平方成反比。即:  

式子中G为比例系数,也称为万有引力常数。一般情况下,地球表面的物体在自由落体时会不断加速。
根据牛顿第二定律,这个加速度g满足:mg=F,其中F是物体受到地球的引力(在不考虑空气浮力,地球自转等其他因素的情况下)。假设地球是密度均匀球体以及不考虑物体形状的情况下,地球对物体的引力可以等效成将地球所有质量压缩到球心处对物体的引力。因此引力

其中m是物体质量,M是地球质量,R是地球半径。结合mg=F可得GM=gR^2。引力常数根据卡文迪许扭秤实验可以测出,重力加速度g也可以通过自有落体运动进行测量。
测量地球半径的方法很多,这里介绍一种虽然粗略单比较简单的方法。在春分或者秋分时节,你正躺在赤道上某海滩欣赏美丽的日落,当夕阳正好没入地平线,如果你立刻起身,则夕阳又会跳出海平面。
假如你测量出夕阳再次没入海平面的时间,那么你可以根据自己的身高以及地球自转角速度计算出地球半径。测出地球半径、重力加速度以及万有引力常数可以计算出地球质量。
3Q
根据热力学第二定律,世界将逐步更加混乱,那为什么会产生细胞,生物和人类,让世界更加有序?
swany
A
“世界”一词有两种理解方式,一种是站在全宇宙的角度,一种是站在地球的角度,即我们生活的世界。
 热力学第二定律表明,孤立系统的熵值是不断增加的。如果站在第一种角度,这个问题即是著名的“热寂”理论。如果站在第二种角度,这个问题就变得复杂了起来,因为地球不是一个孤立系统,它每时每刻在与外界进行物质能量交换。对于非孤立系统,热力学第二定律不能简单适用,因此我们不能直接得出“世界将逐步更加混乱”的结论。
事实是,生命的出现对于我们生活的狭义的世界来说确实是更有“秩序”的,然而对于广义的世界即整个宇宙来说,它仍然会使“世界更加混乱”。生物体为了维持生命,即维持一种远离热力学平衡态的“秩序”,必须不断向体内注入“高秩序”的低熵食物,并排出“低秩序”的高熵产物,才能平衡体内不断发生的不可逆的熵增过程,表现出“活力”。也就是说,生命创造出来的局部“秩序”是以不断牺牲生命系统之外的“秩序”为代价的。对于宏观的生态系统来说,最初的“食物”主要来自于太阳的电磁辐射(以可见光为主),绿色植物通过光合作用可以对它们加以利用。而最终的“产物”包括两部分。      
一大部分是所有生物因呼吸作用而产生的热辐射(以红外线为主),比如人体的37度体温辐射,另一小部分则是远古动植物尸体转化成的各种化石燃料。整体上看,这是一个熵增的过程,因为根据黑体辐射理论,等量红外热辐射的熵远大于等量可见光热辐射的熵(虽然它们不是严格的黑体辐射但定性的结论不会改变),而化石燃料的熵则介于这两者之间,因此生命的出现并没有违背热力学第二定律。
4Q
请问普朗克卫星如何得到宇宙的组分:暗能量68.3%,暗物质26.8%,已知物质4.9%这一结果的?有理论称暗能量未必存在,岂不是与探测结果矛盾?
AlbertA
暗物质的提出最先是由于对星系旋转曲线和速度弥散的观测,人们发现星系中可见物质(即有电磁辐射的物质)的总质量小于从旋转曲线推测出的动力学质量,所以必须假定一类有引力作用却没有其他基本作用的物质,其与可见物质(准确的说是baryonic matter重子物质)的比例并不完全是由普朗克卫星贡献的,因为暗物质可以从星系动力学、引力透镜、大尺度结构等很多方面去推测,而不一定由微波背景辐射决定,所以26.8%是标准宇宙学模型依据微波背景辐射给出的数值。
而暗能量是为解释宇宙加速膨胀而提出的,粗糙的说它的特性就是排斥的引力,宇宙膨胀最基本的事实就是哈勃常数以及微波背景辐射,综合两个模型,以弗里德曼方程为基础,科学家提出了标准宇宙学模型,全称叫Lambda cold dark matter model,宇宙学参量Λ根据:1.微波背景辐射2.宇宙大尺度结构3.元素丰度(主要是氢氦锂)4.哈勃常数计算得出,具体的公式在很多书或网页中有在这个模型下,有三个参量Ωb,Ωc,ΩΛ,分别代指不同组分的比例,给出宇宙的组分为暗能量68.3%,暗物质26.8%,已知物质4.9%(根据参量不同还有很多其他的数值,不过差异不大)。
必须说明的是,标准宇宙学模型只是一种接受程度较高的,和观测验证较好的模型,事实上这个模型已经出现了一些矛盾。所以有很多其他的理论试图去修正,推翻这个模型,解释已知的现象。比如暗能量压根不存在说法,这个模型在德法颇有支持者,他们认为宇宙加速膨胀是不存在的,哈勃自20年代以来观察到的现象并不是膨胀这一事实导致的,而是宇宙能量不守恒导致的,他们的一个理论预言是是基本粒子、原子的质量会变化,导致其谱线的变化,以此来解释红移。
至于如果暗能量果真不存在,那么宇宙组分又会变成什么样,这个问题就见仁见智了,这取决于你认同的模型如何,而找到真实的结果正是全世界千千万万天文学家和物理学家为之奋斗的目标。
5Q
为什么自然界只有正负两种电性?
富兰克林的信徒
A
要回答这个问题,我们首先要明白电荷是什么。——“电荷是规范变换的生成元”
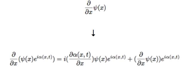
怎么理解这句话呢,我们知道有电荷的两个物体会受到电磁相互作用,那么显然电荷是和电磁场关联到一起的~那么电荷是怎么来的呢?(我们现在假设不知道有电荷这个东西,而单纯的从量子力学出发)我们知道在量子力学中,波函数是有一个相位自由度(也叫做规范自由度),ψ(x)e^(iα),其中α可以是任意值。
我们知道薛定谔方程,

那么当我们改变波函数的相位(并且把这个相位α取成时间和空间α(x,t)的函数)的时候,我们发现薛定谔方程的形式改变了,这是因为

还记得我们说过在量子力学中,不同相位的波函数对应相同的物理。“那怎么理解薛定谔方程在我们的局域(和时空相关的)的规范变换下,形式改变了呢?”
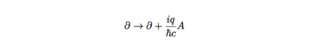
要想让薛定谔方程的形式不变,我们就必须在我们的方程中引入一个其他的东西来消掉局域规范变换多出来的项。加的这个这个东西就是所谓的电磁场,因为我们知道电磁场也有一个规范自由度,恰好让多出来两项相消~~也就是说,在薛定谔方程中,做如下替换,那么我们将得到,一个在规范变换下不变的薛定谔方程~~
这实际上就是把动量变成在电磁场中的正则动量。那么我们发现我们对于电荷的认识也随着这个认识而改变。为什么会出现电磁场呢?——》是因为我们给波函数做了一个局域的规范变换。
那我们知道只有带电荷的东西才能跟电磁场相互作用。那电荷显然跟我们的波函数的相位的变化有关系~这就是我们说的——电荷是规范变换的生成元。
在来看一下你的问题,为什么自然界只有两种电性呢?
实际上就是因为电荷体现在波函数的相因子中,二者本身就只是一个数,当然只能要么取正,要么取负,它的大小只不过是关联到电荷量的大小而已~~本质上讲,你问题的答案是:电磁场是一个U(1)规范场~~当然咯~其他的相互作用,可能就不是U(1)规范场,比如是SU(2)规范场,那么它有三个生成元,显然它就有三个“电荷”~~

(能看到这的,就赐你们一个表情包吧=。=)
6Q
如何回答别人提的问题?(就像前几期的同学一样)
YORK
A
你说的一定是我们可爱的THU物理系4字班的小伙伴吧?这是一个非常棒的问题,因为,,因为小编可能会突然硬广起来。
这个专栏已经回答了300+的问题,前期大部分都是由物理所的大朋友和小朋友联手回答的(其中我们勤奋的sym编编确实付出了很多,也换来了各种表白),渐渐地这样一个认真的物理问答团队也壮大了起来,而THU小伙伴加入也让我们不是一个所在战斗了,很欣慰!事实上我们的团队就是这样一个开放的团队,如果你愿意也加入我们这个团队,那么机会来了,给小编发个勾搭邮件咯
mcheng@iphy.ac.cn
当然我们会对团队志愿者进行一定的评估考核,保证我们回答问题的质量(别紧张,不会一言不合让你刷考研题哒 :P )
最后,诚挚的邀请各路英雄好汉加入勤奋换表白计划

特别致谢sym,M. Cheng,THU物理系4字班 周佐平,刘陆川,董鑫熠同学热心的回答!
写下您的问题,下周五同一时间哦~

↓识别下方二维码快速提问↓

上期也精彩
磁场的本质是什么?|No.32

编辑:Z.S
近期热门文章Top10
↓ 点击标题即可查看 ↓
1. 五位死于自己发明的发明家
2. 一个屁的推力有多大?
3. 你是如何掉入物理这个“坑”的
4. 不用公式推导,21张GIF动图让你秒懂数学原理!
5. 诺贝尔物理学奖是颁给什么人的?
6. 原来电子云如此惊艳!
7. 手插液氮背后故事多多滴!
8. 这20位物理学家,颠覆了我们对宇宙的认知
9. 光为什么砸不死人 |No.29
10. 趣谈2016年诺贝尔物理学奖获得者的真功夫
点此查看以往全部热门文章

到顶部