久等了!相对论专题(狭义)|No.26



*小编我的啰嗦(不考) {
    仅仅在后台以“相对论”作为关键字搜索,我们就有上面这么多热心网友(感谢!)的提问。这其中还不包括那些以“光速”、“洛伦兹”、“钟慢”、“引力”、“闵氏时空”、“惯性系”、“双生子悖论”、“等效原理”、’“质能关系”等等作关键字的提问。
在正常模式下全部回答这些问题是不可能的,所以我们想,哎哎,干脆整个专题吧。
[]~( ̄▽ ̄)~*
本次专题就不拘于具体问题了,我们力求把相对论做个比较连贯的科普。
} 啰嗦完
开整。
相对论产生的历史背景
        1905年9月26号(111年前的本周1!),德国柏林,天气不错,万里晴空飘着两朵乌云。一位苏黎世年轻人的论文刚刚通过了审核,正式发表。这篇论文的题目是——《论动体的电动力学》
        这是一篇当时看起来很是有点离经叛道的论文,不过从它出发,一个叫做相对论的理论逐渐演化出来。这个理论最大限度的颠覆了人类对时间和空间的认知。这一年被后来的人们称为奇迹年。我们要讲奇迹年的事,但我们的故事却要从更早的地方开始讲。
    1864年,麦克斯韦发展出一套完美解释电磁学所有现象的理论——麦克斯韦方程组。但这个理论有个很有趣的结论:光速等于真空介电常数乘以真空磁导率再开平方根之倒数。
在电磁学理论中,真空介电常数和磁导率都被认为是基本物理常数,是和具体的惯性参考系无关的量。而这马上就意味着光速是与惯性系无关的。但光速与惯性系无关会与牛顿力学中的伽利略变换矛盾(稍后讲到)
而如果承认光速与惯性参考系有关,那就意味着真空磁导率或真空介电常数与惯性系有关,意味着麦克斯韦方程组的形式与参考系有关。而这与牛顿力学要求的没有绝对时空的伽利略相对性原理矛盾。(伽利略相对性指所有物理定律在不同惯性系中形式应一样,也就是无法通过任何物理现象来察觉出所在惯性系有任何绝对的静止或运动。)
电磁理论与牛顿力学有内在矛盾,因此它们两者必有一错!
        但牛顿力学的骨头实在是太难啃了,啃他啃失败了还可能被同行嘲笑成中学物理没学好。所以一般来说正常点的人都会先找个软柿子捏,比如捏麦克斯韦。但爱因斯坦比较有反叛精神,爱因斯坦偏不。
        不过说点题外话,很多文学艺术作品倾向于把包括爱因斯坦在内的许多大科学家描述为一个个反叛者,一个个战胜了古代巨龙的古希腊式神话英雄。但他们忘了,爱因斯坦提出相对论不是为了搞事情,不是因为看牛顿当了几百年老大不爽,他只是单纯想调和下牛顿力学与电磁学理论中的内在矛盾。
国人从这些艺术加工的故事中学到太多反叛了。最后反叛到怀疑一切已有的科学,从反叛走向了反智。物理理论哪能光靠反叛精神驱动呢?最重要的是能解决问题,毕竟,物理学不会自发地从一种理论变到另一种理论而不解决任何问题。
相对论的实验基础
    爱因斯坦之所以敢怀疑屹立了数百年的牛顿力学,一方面是因为其天才的物理洞察力,一方面也是因为早些年的一些实验迹象。
    在早些年,人们注意到牛顿力学与电磁理论的矛盾后,对电磁理论做了一系列的修正。其中一种就是比较出名的叫以太说,它们认为也许麦克斯韦方程组中的介电常数(磁导率)不是真的真空介电常数(磁导率),不是严格的物理常数,而是一种叫做“以太”的介质的介电常数。这种以太对慢的东西(比如地球,我们)像水一样流动着绕过这些物体。但对快的物体(光)则像固体一样坚硬,所谓光就是在固体以太中振动着的弹性横波。这样一来,光速c就是光在以太中的传播速度,其它惯性系中的光速就应该是c再用矢量加法加上一个惯性系与以太的相对速度v,光速将与惯性系相关。

    于是到了1887年,迈克尔逊和莫雷就做了一个非常出名的实验。由于地球不同季节的公转速度不同,他们用两束垂直且互相干涉的激光来测量由于公转速度的变化导致的两束激光光速的变化。这一变化将通过光线的干涉作用放大反映为光线干涉条纹的移动。
    而实验结果是,虽然根据理论计算干涉条纹应该移动大约0.4个条纹宽度,但实验观测到的上限仅为0.01个。迈克尔逊莫雷实验没有看到光速随着参考系变化。
        在它之后,J.P. Cedarholm在1955年用微波激射重复了该实验,G.R.Isaak在1970年用穆斯堡尔效应重复了该实验。他们将以太与地球的相对运动上限降低到了3 x 10^ -2 km/s 和 5 x 10^ -5 km/s。而地球公转速度的差异大约为60 km/s。因此这些实验结果实际上否定了“以太”的存在,也否定了与以太静止的“绝对坐标系”的存在,也否定了光速会随参考系变化。
两条基本假设
(1)相对性原理  所有惯性参考系都是等价的。物理定律在任何惯性系中的形式都一样。也就是无法通过任何物理现象来察觉出所在惯性系有任何绝对的静止或运动。
(2)光速不变原理 真空中的管束相对于任何惯性系的绝对值都为c,并且与光源的运动无关。
爱因斯坦为相对论提出了两条基本假设。
第一条好说,牛顿力学也要求它。物理定律应该与你是不是运动着的没有关系。甚至,你根本没有办法确定你是绝对运动还是绝对静止的。物理世界只有相对运动。
第二条是根据实验和电磁力学额外要求的。在牛顿力学中,第一条和第二条甚至有点矛盾。因为在牛顿力学中,如果我在站在地上测到光速是c,那么我坐在一个速度为v跟光运动方向相反的车上时,我测到的光速应该是c+v才对。
但相对论要求所有参考系中的c都一样。因为电磁学理论觉得应该是这样,而且实验看到的就是这样的。
为了满足两条假设我们需要做的事
为了满足第二条,我们需要调整一些公式。把第二条表达到数学中去。

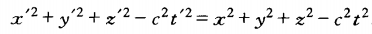
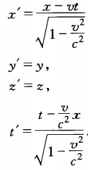
假设现在有两个惯性系,带撇的和不带撇的,不带撇系相对我们静止,带撇系相对我们以速度v沿x运动。在t=0时,两个参考系重合。
那么在牛顿力学体系下的伽利略变换中,两个参考系的坐标应有如下关系:

但我们刚也看到了,如果直接用它的话马上就能推导出两个惯性系的光速不一样。(笔拿出来!算!)
我们来看下两个惯性系光速一样到底是什么意思。假设在t=0时,我们在原点O点点亮一根蜡烛,那么蜡烛将会以一个球形扩散出去

同时此刻不带撇系的原点也是带撇系的原点,所以要是两系光速相等,就应该它们看到的光都在同一个球上(反直觉?自己适应~),就有

于是要让两个系光速相等,我们便可以要求

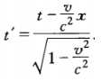
利用这个关系解出新的坐标变换关系。
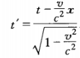
我现在直接告诉你们答案:

把四个式子左右都平方,带进上面的等式,验证!(笔!纸!就是你!还拿手机呢?)
这个坐标变换关系式叫做洛伦兹变换,同时满足相对论的两大基本假设。
做完这些事后我们发现
我们发现了整个宇宙好嘛!
第一个发现:
相对速度v超过光速C,则根号内为负,失去物理意义。由于宇宙在膨胀,距离越远的天体越快的远离我们。有些特别特别遥远的天体相对我们的退行速度甚至会超光速,那么,那些天体我们永远也不可能观测到了,它们对我们也就没有物理意义了。
比如你看第四个式子。

时间里面揉进了空间,这岂不是意味着。位置x不同,t和t撇的大小就不同?那岂不是意味着,位置不同,两个参考系下的时间的先后顺序就不同?而且,即使x不变,变v也有同样的效果。那不是意味着,在不同的参考系下,时间发生的先后顺序是不一样的?
全部正确!就是这样的!这是我们的第二个发现:时间的先后顺序只有在同一地点(x=0)才不依赖于参考系,否则在不同参考系下时间的先后顺序是相对的,是依赖于参考系的。
由于不同地方发生的事情的时间先后顺序有可能调换(具体说来,当x大于ct时会调换),过去变成未来,因果可能会颠倒。因此,当x大于ct时,两点不可以发生因果关系。这有另一个说法,局域性,宇宙中信息传递速度不可超光速。
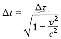
第三个发现:

同一个地方(x=0),不同惯性参考系下的时间间隔差一个分母上的系数,也就是说:不同参考系下时间流逝速度不同。并且相对速度越接近光速,流速之比越大。并且,两个参考系下两个人,他们分别看对方都是对方的时间流速变慢了。(并不会矛盾,稍后讲。)
第四个发现:
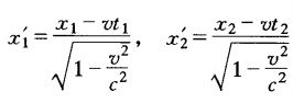
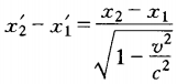
尺子变短
所谓尺子,总得有个起点x1,一个终点x2

两式相减不就是尺子的长度嘛

诶,我们发现相对于我们运动的尺子的长度变短了。
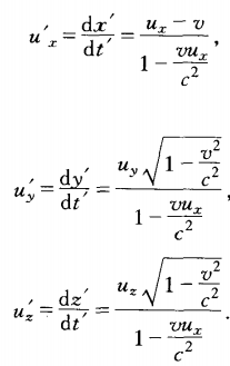
速度变换
把各式做简单的求导运算(纸!笔!)

你可以试一下,把Ux,Uy,Uz.带成光速c, 验证一下光速是不是果然是不变的~
你还可以试一下,把Ux设为0.9倍光速。把参考系相对速度v也设为0.9倍光速,看带撇Ux会不会超光速~(纸!笔!手机没收先)
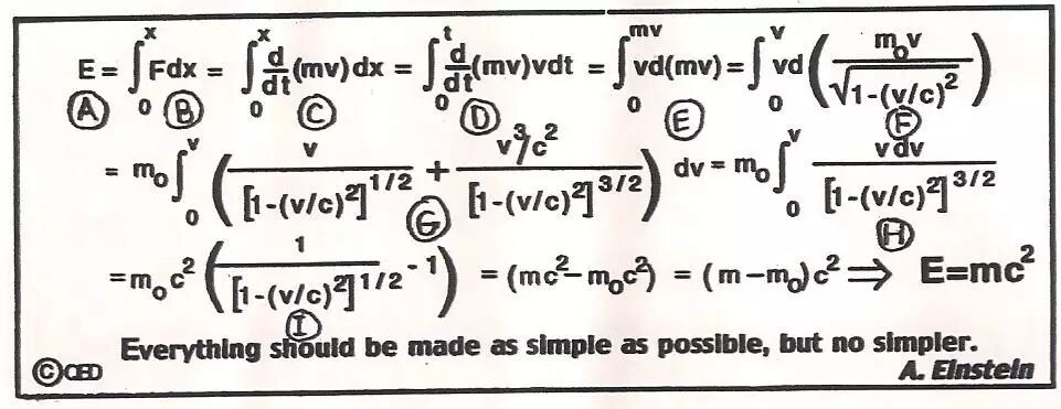
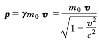
E=mc^2
至此,还有一点点小工作还没有做完了。之前这么一捣鼓。牛顿力学的很多三观都被重新刷新了。但牛顿力学中的一些有用的东西我们还是想继续保持。比如说,虽然F=ma已经不成立了。但我们仍然希望动量守恒定律是成立了。毕竟动量守恒定律是空间平移对称性的反映,不依赖于牛顿力学。我们能不能重新定义一个动量p,使得它在相对论情况下满足动量守恒(其实准确的说应该叫能动量守恒,相对论情况下能量动量是一体的),在速度慢下来后又跟牛顿力学里的动量p一样呢?答案是可以的,它的构造是:

(不给出详细证明,有兴趣请搜固有时,四维矢量,洛伦兹协变性等关键字)
最后我们利用这个相对论动量算一下对一个物体做功带来的能量增量。(这图很久之前发现的,讲得比我好,哈哈哈)

tada~就得到了大名鼎鼎的质能公式E=mc^2
连隔壁的大爷都知道的双生子佯谬
最后说一下刚刚没有说的问题,也是在后台问得相当多的一个问题。
双生子佯谬说的是一对双胞胎,哥哥坐光速飞车飞到比邻星再回来,最后哥哥比弟弟年轻了十多岁。

刚刚提到,相对运动的两个观测者互相看对方的时间都比自己过得慢,这似乎是不可思议的,但其实并没有矛盾。因为他们处在有相对速度的两个参考系中,如果他们不改变参考系,他们只会逐渐远离,根本没有机会回到同一点来比较时间的长度。而刚刚我们又得到了另一件事,两个不同地点的时间不绝对,取决与参考系。所以虽然两个观测者看对方的时间都比自己慢,但却没有矛盾,因为不同地点的时间就是相对的,观测者的惯性参考系不同,观测到的时间就可以不同。所以两个观测者都是对的,因为他们站在不同的惯性参考系。
再回到双生子谬论,看看为什么没有矛盾。很多解释说因为哥哥受到了加速度而弟弟没有,但这种解释对是对,但小编我不喜欢,感觉很含糊而且还有把锅甩给广义相对论的嫌疑。这个佯谬是完成可以用狭义相对论说清楚的。
首先,站在弟弟的视角看,哥哥一直在跟自己相对高速运动,时间变慢,变年轻是理所当然的。
比较有趣的是哥哥的视角,哥哥在匀速运动的时候,其实他看弟弟的时间也是变慢的。但是他跟弟弟有一点不一样。就是他必须在飞到比邻星后再调头飞回来。而调头这个过程,哥哥的惯性参考系就变成另一个惯性参考系了。由于弟弟在另一个地方。另一个地方的时间是相对的,取决于所处的惯性参考系。所以在哥哥调头的时候,哥哥的惯性参考系变了,在哥哥的参考系下看弟弟的时间也悄悄变了。来,上公式~

还记得这个吧。洛伦兹时间变换公式。
我们假设哥哥原来相对弟弟的速度是v,调头后相对速度变为-v。假设调头是很快完成的,时间忽略。那么我们看发生了什么?上面公式中的t撇是哥哥观测到的弟弟的时间。由于速度突然反号,所以在哥哥眼中,弟弟那边的时间突然跳变了两倍的
如果v取0.7倍光速,比邻星距离x为10光年,那么这就意味着在哥哥眼中,弟弟的时间突然跳变了十六年。一夜白头啊我的天,因此回到地球后弟弟当然就更老咯~
收工,累挂咯
没有讲的东西
1、狭义相对论的四维指标表述,这种表述更简单自然,更“妙”,是现代相对论的正统讲法。
2、电动力学理论的四维形式,四个方程的麦克斯韦方程组在这里可以简化为两个方程,并且可以非常自然的推导出洛伦兹力的形式,可以看出在相对论下磁场跟电场就像时间和空间一样,在不同参考系下是可以相互转化的。
3、四维时空对称性,SO(3,1)李群及其生成元对应的物理。
4、闵可夫斯基空间的几何图像化分析,即时空图和光锥。
5、微分几何,狭义相对论的所有物理结论,其实都是把SO(3,1)李群看做微分流形后,其上的几何结论。在这个level上,麦克斯韦方程组可以简化为一个方程。一个自然得不能再自然的几何等式。
6、。。。。。。
看这篇文章需要静下心哦~

那些直接拉下来的,快返回到最顶上再拉一遍
<( ̄︶ ̄)↗[GO!]
最后,这只是一篇挂一漏万的文章,不要以为这样就算懂了哦~
基本要求:以会做大学物理教材相对论章节课后习题为相对论入门的标准。
写下您的问题,下周五同一时间哦~

↓识别下方二维码快速提问↓

上期也精彩
为什么地球表面高低不平?
近期热门文章Top10
↓ 点击标题即可查看 ↓
1. “墨子”上天要做什么?一图搞懂
2. 最具争议的12个数学事实(多图)
3. 终于有人讲透了芯片是什么
4. 一大波光纤通信原理动态图,美翻了!
5. 科研经费大解放!!!
6. GPS和北斗都被“干掉”了,你还敢用导航吗?
7. 七夕特别策划 | 夫妻院士 伉俪情深
8. 难得一见!化学结构之美超乎你的想象
9. “瞬移”的物理可能性有多大?
10. 量子卫星是何物?快戳进来涨姿势?!
点击公众号内菜单栏“Top10”可查看过往每月热门文章Top10

到顶部