久不跳票,手艺生疏
是的,你没看错
《问答专栏》又双叒叕一次跳票之后
终于金盆洗手,洗心革面
昨天
我放了你的鸽子
今天你一定会原谅我

1Q
你凭什么放我鸽子?
by 宇宙无敌美丽可爱帅气大方的读者A
首先,认错态度要端正:立正!中二所宝宝深刻地认识到了自己的错误,特在此向关心公号的读者表达深深的歉意,“我错了!我错了!我错了!”(重要的事情说三遍)
其次,说明原因:2020年3月6日,北京时间上午9时许,由于小编的误操作,将尚未编辑完成的推送发出,随后处理不当,直接删除,造成公号部分读者的疑惑,同时成功跳票(咦,莫名的成就感是怎么回事

最后,签保证书:我保证,我再也不敢了!下次,呸!以后,嗯!从今往后,一定谨慎驾驶,尽量少再也不翻车了!
最最后,中二所以自身经历告诫大家:道路千万条,安全第一条!行车要规范,翻车须谨慎!
By 中二所
2Q
为什么在流速快的地方压强小,也就是伯努利原理的原理?
by 匿名A
每当我问这个问题时,答曰:由伯努利原理可知,流速快的地方压强小。
再问:为什么? 再答曰:因为伯努利原理啊!伯努利原理的本质是流体中的机械能守恒。粗略的来看,对于一个稳定的流动,其内部的状态已经达到稳态,流体内部压强分布和流速分布已经固定。液体在从压强大的地方向压强低的地方流动的过程中,由于压力对运动的流体微元做功,从而动能增加,流速变快。我们再深入一点,如果我们仔细检查一遍上面的论述的前提的话:1. 压强和流体的分布不能随着时间发生变化。2. 流体除了动能和压力做功以外不能有其它能量来源和消耗,这意味着不能有摩擦,流体不能被压缩,压缩显然也意味着压强差做的功并不能完全变成流体的动能。3. 考察的流体要前后一致。这几个条件也正是伯努利定律成立的前提。
By NKXXX
3Q
为什么泡沫在容器里不易倒出?
by 匿名A
有首歌怎么唱的来着,「我们都是泡沫,轻轻一碰就破」因为泡沫里都是,空气啊



正经点来说,有以下几个原因。泡沫的质量很小,一个泡泡的厚度往往只有几百纳米,对于一个半径是厘米大小的泡泡而言,肥皂泡的那点质量摊到整个泡泡的体积里,密度和空气差不多。另外一方面,泡泡和容器壁之间由于表面张力的作用,也足以挂住泡泡。而且现在大家洗东西都用各种表面活性剂,肥皂洗洁精之类的,降低了水的表面张力。泡泡表面不会被撕扯得太厉害,自然也让泡泡更加持久……
By NKXXX
4Q
为什么锅里有未沥干的水时,用锅烧油水会爆溅;为什么加盐可以避免爆溅?
by 缘来柔伺A
炒菜过程中,经常会有油水飞溅,一种情况是,当锅里的油烧热以后,向锅中放入含水分的蔬菜时,会发生飞溅。此过程中,由于油的沸点高于水的沸点,锅中的热油温度远高于水的沸点,当少量水份突然滴入油的高温环境时,水份迅速汽化形成气泡,膨胀引起飞溅现象。还有一种情况是,当锅里水未沥干时,在加热油的过程中时不时会发生飞溅,这种情况与第一种情况略有不同,锅底未沥干的水份在油加热的过程中,部分液滴由于缺少汽化核无法形成气泡在较低温度时溢出,形成了不稳定的过热液体,在油达到沸点沸腾时,由于外界环境的剧烈变化,过热液体快速汽化,膨胀引起飞溅,这个过程类似于液体的暴沸现象。在油中加入盐的作用和沸石的作用几乎相同,盐不溶于油,作为杂质提供了汽化核,使得水份在较低温度下形成气泡溢出,防止其形成过热液体并在油沸腾时造成飞溅。如果仅仅为了防止油的飞溅,建议在刚开始加热时就放入少许盐,而不是当油烧热以后再加入盐,此时并不能起到防止飞溅的作用。
By 勿用
5Q
气态的铁可以导电吗?
by 匿名A
气态的铁咱也没见过,咱也不敢随便说,姑且从理论上来分析一下叭。固态铁能导电这是大家都知道的,且固态铁的导电能力来源于其共有化的自由电子。由于金属键的特殊性质,金属原子的最外层电子不是被限制在原子核周围而是弥漫在整个金属中,形成可以自由运动的电子海,电子不受束缚所以可以参与导电。那么当铁由固态变为气态时情况会发生什么变化呢?我们重点来关注一下固态时对电导做出贡献的电子,气态时不再有金属键,最外层电子也不再共有化,而是局域在铁原子周围,不自由自然也无法导电(这里不考虑气态时铁的组合形式)。当然事无绝对,如果给气态铁外加一个电场,当电场能量达到一定值时(其中Fe的第一电离能为 762.5 kJ/mol,第二电离能为 1561.9 kJ/mol),可以被电离激发成等离子体态,此时,等离子体态的铁就是很好的导电体。
By 懒懒的下午三点半
6Q
既然人的体温是36度,为什么人在24度左右时感到舒适,直接待在36度的地方不就不用散热了吗?
by llovemjxyA
(本题知识点指路,高中生物必修三,一二章,看完问答记得去复习哦)即使是在36度或者更高的温度下人体仍需要散热,且不散热并不等于我们就不会热。人类是恒温动物,体内有完善的体温调节机制,能在环境温度变化的情况下保持体温的相对稳定,因此我们维持各种器官等正常运转时会有一定的产热,同时还需要有一定的散热机制来维持体温不会一路飙升。安静时人体产热主要来自内脏(肝脏、肾等),运动时主要来自骨骼肌。人体的散热主要通过汗液蒸发(炎热环境下为主要途径)、皮肤内毛细血管散热、其次还有呼气、排尿和排便等。如果我们是一杯36℃的温水,那么我们在36℃的环境下确实不需要散热,但是我们体内会不断产生热量,而在与体温接近的温度下我们的散热会受到影响,且生命不息产热不止,我们不能指望像变温(冷血)动物那样减少产热,因为至少要维持生命最低需求,因此散热受影响时就会让我们感到不舒适。温度过低或过高会让我们的身体感到冷或热,因而在24℃左右,人体没有冷热感,身体内的毛细血管舒张平衡,就会感觉非常舒适。最后,知识点总结(敲黑板了哟),人体体温调节机制:(1)寒冷环境→冷觉感受器(皮肤中)→下丘脑体温调节中枢→皮肤血管收缩、汗液分泌减少(减少散热)、骨骼肌紧张性增强、肾上腺分泌肾上腺素增加(增加产热)→体温维持相对恒定;(2)炎热环境→温觉感受器(皮肤中)→下丘脑体温调节中枢→皮肤血管舒张、血流量增加、汗液分泌增多(增加散热,无减少产热的途径)→体温维持相对恒定。
By 懒懒的下午三点半
7Q
实验,一个水杯下放个纸片,因为大气压托纸片,所以水掉不下来,但去了纸片,大气压仍存在,为什么水会掉下来?(为什么我看不见有人给我答疑?)?
by 鹏鹏程万里A
杯子装满了水,杯子里几乎没有空气,用纸片盖住,倒过来可以认为装满水的杯子和真空的杯子具有同样的性质。此时纸片一方面受到水的重力的压力有往下落的趋势;一方面又受到了来自下方的空气压强(请注意,同一高度的流体压强的作用力处处相等,不分上下)的影响,有被托起的趋势,而杯子里的水无论你的杯子有多大,都不会有760毫米汞柱、或者9.8米的水柱那么高。因此,外界的压强肯定大于杯子里水的重力,所以被来自上方的空气压强给压住了。如果我们将纸片戳一个小孔时,由于水的张力(作用差不多可以理解为维持最小表面积)大于大气压,使空气还是无法进入杯内,于是杯内仍是真空状态,水还是不流下来。而当这个孔足够大时或是直接拿开纸时,因为水的张力基本不变,而大气压力增大(根据水和空气接触的面积增大而增大),空气能进入杯内,所以水就流下来。如果杯口无纸,水面不是绝对水平,在水面上会产生压强差,造成水的流动,最终水会都流光。
By 懒懒的下午三点半
8Q
光的波粒二象性会同时显示出来吗?如果不可以,那么何时显波性,何时显粒子性呢?为什么这时会显波性显粒子性呢?
by 末路狂花A
光的波动说与微粒说之争从十七世纪初笛卡儿提出的两点假说开始,至二十世纪初以光的波粒二象性告终,前后共经历了三百多年的时间,牛顿、惠更斯、托马斯·杨、菲涅耳等多位著名的科学家成为这一论战双方的主辩手。光的波粒二象性表明光既具有波动特征又具有粒子特性,这一点目前是毫无争论的,但尽管我们都承认这个观点,波动性和粒子性却像是光的两种人格一样不曾同时出现,比如衍射时光似乎就是纯粹的波,而光电效应却又让人看到其粒子的一面,这给人一种光有时是粒子有时是波的错觉。其实不然,波动性和粒子性确实是同时存在且可以同时显示的,只是我们之前没有观察到而已。而对于我们已知的关于光的各种现象可以简单理解为,对于时间的平均值,光表现为波动;对于时间的瞬间值,光表现为粒子性,这么看就容易想通为什么我们在衍射现象时把光看作电磁波,在光电效应中把光看作粒子了。不过科学家们从未停止同时、直接观察到光的波动和粒子特性的脚步。瑞士洛桑联邦理工学院(EPFL)的科学家曾成功拍摄出有史以来第一张光同时表现出波粒二象性的照片,这一突破性成果发表在《自然·通讯》杂志上。
瑞士洛桑联邦理工学院科学家拍摄的有史以来第一张光既像波,同时又像粒子流的照片
这个实验非常巧妙,由于当紫外光照在金属表面时,会造成一种电子发射。爱因斯坦将此解释为入射光的“光电”效应,被认为只是一种波,也是一束粒子流。EPFL的一个由法布里奥·卡彭领导的研究小组进行了一次“聪明的”反向实验:用电子来给光拍照,终于捕获了有史以来第一张光既像波,同时又像粒子流的照片。这张照片也表明了光的波动性和粒子性是可以同时显示出来的。
光是粒子吗?光是波吗?实际上,光就是光,光只是光,粒子和波都是为了研究光的本质而建立的模型。
By 懒懒的下午三点半
9Q
太阳为什么没有氧气就能燃烧?
by 某某某A
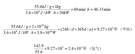
燃烧反应,可燃物与氧化剂作用发生的放热反应,通常伴有火焰、发光和发烟的现象,一般而言,燃烧反应的三个要素是可燃物,助燃物以及点火源,而其中最常见的助燃物就是氧气了。当然也有一些燃烧反应不需要氧气的参与,比如镁(Mg)在二氧化碳(CO2)中的燃烧。姑且认为太阳发出的光和热是由于“燃烧”反应引起的,我们来寻找太阳“燃烧”的三要素。光谱分析表明,太阳中最主要的物质是氢和氦,其中氢占太阳质量的74%,氦占25%,其他所有元素占1%。按一般标准,氦气是惰性气体,那么很大的可能氢气就是太阳燃烧的可燃物;太阳表面的温度高达6000K,核心温度几百万度,点火源或者说着火点的要求早已达到;但没有助燃物(氧气),太阳燃烧反应的条件并不成立。太阳中发生的很可能不是燃烧反应。即便有足够多的助燃物,当太阳以足够温暖(照亮)整个太阳系的亮度发光时,其燃料会在较短的时间内耗尽。下面我们来估算一下。初中或高中的同学应该都做过氢气和甲烷燃烧热的比较的考题,氢气的燃烧热是285.8kJ/mol,甲烷是890.31kJ/mol,等质量(1g)的氢气和甲烷放出的热量分别为285.8/2=142.9kJ和890.3/16=55.6kJ,氢气放出的热量约为甲烷的3倍。曾经有人估算过,1千克天然气(甲烷)可以供20KW的锅炉连续工作45分钟,假设太阳全部由甲烷构成,太阳质量为2.0x1030千克,功率为3.8x1028W(用来温暖整个太阳系),天然气大约在10000年内耗尽,换成氢气也仅仅24000年。估算过程如下图所示:
这些估算出的时间尺度远远小于生物进化的时间尺度(几百万年),说明实际太阳“燃烧”的过程中放出的能量远远高于一般有氧燃烧的过程,太阳的“燃烧”过程是一种燃烧效率更高的反应——核聚变反应(英国天文学家亚瑟·爱丁顿20世纪20年代首次提出)。现有的太阳模型中,太阳的能量产生过程包含了一系列的核反应过程,总的效果是4个氢原子经过强相互作用和弱相互作用后聚变为一个氦原子,放出大量的热量,即我们眼中看到的太阳“燃烧”。燃烧反应,或者说剧烈的发光发热的氧化还原反应,其中涉及的是新键的产生和旧键的断裂,是核外电子和原子核之间的相互作用,其中起主导作用的是电磁相互作用。但太阳燃烧,核聚变反应,是原子核内部核子之间的相互作用,包括强相互作用和弱相互作用,其中强相互作用比电磁相互作用强的多,保证了核聚变反应放出的化学能远远高于化学反应;而弱相互作用比电磁力还弱,通过这种相互作用的反应较难实现,但却是太阳”燃烧“反应中必不可少的一环(质子转变为中子),限制了核反应的速率,使得太阳能够在较长时间内持续“燃烧”。从概念上讲,太阳发生的反应不能再称之为燃烧了,或者说,月亮代表我的心,但太阳却欺骗了你。参考:《通向宇宙的三级阶梯》戴维·加芬克尔
By 勿用
本期答题团队:
物理所 懒懒的下午三点半、NKXXX、勿用
写下您的问题,下周五同一时间哦~
↓识别下方二维码快速提问↓
上期也精彩
静态图为什么会动起来呢?| No.195
近期热门文章Top10
↓ 点击标题即可查看 ↓1. 物理定律告诉你:表白可能巨亏,分手一定血赚2. 震惊!昨天你们立起来的扫把,甚至真的惊动了 NASA3. 酒精和 84 消毒液到底能不能一块用?4. 一次性医用口罩是怎么做出来的?如何消毒?5. 数学好玩个球啊,这支豪门球队用一群数理博士横扫球场6. 「测温枪」到底是怎样测出你的温度的?7. 等量 0 度水和 100 度水混合能得到 50 度水吗?8. 人类为什么喜欢亲吻?9. 病毒从哪里来?10. 一见钟情,到底靠不靠谱? 点此查看以往全部热门文章