等量0度水和100度水混合能得到50度水吗?| No.192



战“疫”关键时刻最好消除焦虑的办法是兑一杯温开水
将被关在家中的寂寞饮下
顺便刷刷手机
看看问答
那么问题来了
等质量100℃的热水和0℃的冰水混合
能够得到50℃的温水吗?
1Q
钻石是天然形成的最硬的物质,人们又是用什么工具(或方法)雕琢钻石的?
by 流浪地球A
“噗!”,一道耀眼的光芒闪过,钻石一号捂着伤口吐出一口鲜血碎钻,一脸的不可思议,“不可能,我已经是世上最硬了,难道你是······”。
“没错,我也是钻石”,钻石二号邪魅一笑······
——以上是两颗钻石俗套的相爱相杀的故事。那么接下来我就传授给在座的各位钻石二号切割雕琢钻石一号的方法:劈割:将划好线的钻石一号安放在套架上,然后用钻石二号沿分割线削一个凹痕,再把方边刀放在凹痕上,以手捶在劈刀上以合适的力敲击,钻石一号就会沿纹理方向被劈成两半或多块。锯切:大多数钻石一号并不适宜劈开,这时需要用锯切开,由于只有钻石才能切割钻石,因此锯片是一张在边缘涂有钻石粉及润滑剂的磷青铜圆片。将钻石一号固定在夹子上,锯盘以高速旋转,即可将钻石一号锯开。激光切割:当然了,科技在进步,我们聪明的钻石二号也不需要自己动手了,引入激光切割,利用高功率密度激光束照射钻石一号,使钻石一号很快被加热至汽化温度,蒸发形成孔洞,移动就可以进行切割了。(好了,方法我学会了,那么,中二所给发钻石不[滑稽])
By 懒懒的下午三点半
2Q
把等质量的冰水混合物(0℃)和100℃的水混合起来会得到50℃的水嘛?
by 匿名A
我们首先得假设整个系统是绝热的。如果整个系统不绝热,这堆物质可以和外界热交换的话,这个问题也就失去了意义了,因为最终的答案肯定会依赖外界的温度。在体系绝热的情况下,这个问题的答案还依赖水的比热容。
可以看到水的比热容也是在随温度改变的,但是变化程度比较小,假设体系是等压的(不外加压力压缩水)。那么比热容的数据大概是:

这样一来,利用线性插值法我们可以进行估算,1kg的水从100℃降温到50℃放热约为209.761kJ,从0℃升温到50℃吸热约为209.403kJ。也就是说,如果不是0℃的冰水混合物而是0℃的纯液态水,那么放热会多一点点,推理可知总温度必须高于50℃一点点。(忽略混合时候的摩擦热)然而水的熔化热是334kJ/kg。也就是说,原问题中的冰水混合物中如果有1g的冰(千分之一)而剩余的都是液态水,那么这1g的冰熔化就会吸收0.334kJ的热量,这时最终系统的温度大约是50℃。同理,如果冰更多,那么最终总温度会低于50℃。
图片来源:The Engineering ToolBox
By Luna
3Q
为什么近视眼镜反出绿色的光?
     by 四眼中二少年A
这是因为部分眼镜的镜片上进行了特定的镀膜,并不是所有的眼镜镜片都会反射绿色的光,也有的镜片会反出蓝色的光。这类镜片往往使用了增透膜的技术。增透膜通过让不同膜层之间的反射光相互抵消来降低光在镜片表面的反射损失(这会让进入眼中的光线更多,让人看到的东西更明亮清晰)。对于日常生活中使用的眼镜来说,往往需要很多层增透膜才能达成在相当宽的光谱范围内反射率很低的要求。有些增透膜会让镜片呈现出微微的绿色。
By Luna
4Q
将保温瓶开口对耳朵听声音来判断保温效果有科学根据吗?
by 大火龙A
(保温瓶OS:拿到耳边听,你们当我是上周的神奇海螺吗?)
不过还别说,将保温瓶开口对着耳朵听声音确实可以用来判断保温效果。保温瓶中的真空保温层抑制了热对流和热传导,同时镀层可将热量反射回保温杯内部,实现保温。真空层和镀层的质量好坏一定程度上反映了保温瓶的保温效果的好坏,关于保温瓶的具体结构和详细保温原理可以参考往期内容(No.177 Q1)。当我们把保温瓶拿到耳边听的时候,一部分外界的声波会进入保温瓶内部,并在瓶胆内被镀层反射,且无法透过高真空的玻璃夹层,因而可以听到“嗡嗡”声。所以,好的保温杯,声波一旦进去很难再出来,用耳朵在瓶口能听到不间断的“嗡嗡”回响声。如果没有回响声,证明保温杯内胆已经破裂,不再保温了。镀层的光亮度越高,夹层里的真空度越高,听到的“嗡嗡”声就越大,则瓶胆的质量就越好。反之,听到的“嗡嗡”声越小,则瓶胆的质量越差。
By 懒懒的下午三点半
5Q
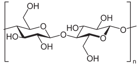
为什么纸被水泡了会变软,被油泡了几乎不变软?
by 石头门A
纸的主要成分是纤维素、胶料、填料。纸被水浸泡了之后会变软主要是因为其中的纤维素。下面来看一下纤维素的结构式:

纤维素的结构式  
从结构式上可以看出,纤维素作为一种多糖,有着许多的羟基,它们相互之间会形成氢键,并且羟基是一种亲水基团。遇水后,纸的微孔结构、纤维素上的羟基都会使得纸张非常容易吸水,而水容易破坏纤维素之间的氢键,让纤维素和水之间形成氢键,让纸张变软。这就像原来纤维素小朋友之间手拉手,排成排,但是水一来,就让纤维素小朋友散开,开始在操场上乱跑。当然,厕纸、复印纸、硫酸纸遇水后变软的程度是不一样的,这就和纸张所用的原材料、生产工艺有关了。纸遇到油几乎不变软是因为油和纤维素的相容性不好,也不会破坏纤维素之间的氢键。
By 重光
6Q
为什么摄像头晚上对着灯拍摄时,灯光中心会有明显的十字光线(光芒)呢?
by 匿名A
这种十字光线称为星芒,来源于光的衍射。(如果不使用星光滤镜的话,光学器件往往是光圈或镜头)根据波动光学:如果光圈/镜头是无限大的,那么理论上只要精确对焦,一个光点也会成像为一个光点。但是因为光圈不可能是是无限大的,根据光的波动性(光的衍射),光点所呈的像会成为一个光斑,这个光斑的形状依赖光圈的大小和形状。根据衍射原理,在光路上每一条障碍物线段或障碍物边缘线段都会在屏幕上产生与线段垂直的中间粗亮两边细暗的光斑线。
利用光圈时,具体的形状总可以通过波动光学计算得到。如图所示,使用了不同的光圈(改变光圈的口径和形状),也就得到了不同的星芒。

光圈口径越小,星芒越大

光圈形状不同,星芒形状不同
参考:星芒与光衍射现象及原理
By Luna
7Q
为什么高尔夫球的表面凹凸不平,而不是光滑?这样不是能减少更多空气阻力吗?
by 匿名A
答案:为了让高尔夫球飞的更远。高尔夫球的设计体现了空气动力学的精妙。最早的高尔夫球是光滑的,但是后来人们慢慢发现,表面有凹凸的球反而比新球飞得远。在此之后,物理学家才开始理解凹凸不平的球反而能飞得更远的原因。在球的飞行过程中,除了和空气的摩擦力,球还需要受到另外一种力的作用。假设球沿直线快速飞行,球的前方的气压高,后方的气压低,这个压强差肯定会产生一个阻力,给飞行中的高尔夫球降速。在高尔夫球表面的微小颗粒能产生湍流,(严格的说,湍流的产生与否还和雷诺数有关系,表面凹凸不平的话,更低的雷诺数也可以产生湍流)这种湍流会破坏高尔夫球后方的低压区。下面这张图的纵轴是气压差带来的飞行阻力,横轴是雷诺数。不难看出,在雷诺数不太高的时候某个区间,高尔夫球受到的气压差阻力更小。(这个区间就是恰好是日常打高尔夫球时所在的区间)

这也就是为什么在空气中运动受阻最小的形状是流线型而不是球形。如下图所示,流线型和高尔夫球的设计思路类似,都提高了一部分空气摩檫阻力,但是大大降低了气压差阻力。

(上图中,右边的方块代表了总阻力,黑色的是摩擦阻力,白色的是气压差阻力。)
参考:Large-Eddy Simulation for Golf Ball Aerodynamics: The effect of surface roughness on the drag crisis and the Magnus effect.
By Luna

本期答题团队:
物理所   Luna、懒懒的下午三点半、重光
写下您的问题,下周五同一时间哦~

↓识别下方二维码快速提问↓

上期也精彩
海螺里为什么会有海浪声?| No.191
编辑:不言
近期热门文章Top10
↓ 点击标题即可查看 ↓
1. 珍惜冬天,10年前科学家才明白这是最容易减肥的季节2. 还不戴口罩?看看喷嚏和咳嗽到底能飞多远3. 把 73 亿人放到一栋楼里面,会发生什么?4. 因纽特人住在雪屋里面不冷吗?5. 误打误撞,一名本科生意外破解困扰物理学界的百年谜题6. 一张纸对折103次,我们的宇宙就放不下它了吗?7. 每年让鱼玩一次10层楼高的过山车,这些人到底图什么?8. 这个物理现象,只有爱吃早饭的科学家才能发现9. 都说哈士奇不能当警犬,但有民警偏要试一试
10. 对称性!对称性!还是对称性!
点此查看以往全部热门文章

到顶部