火车,作为当前日常出行以及节假日远游不可或缺的交通工具,伴着”嘟嘟“声远去的,不仅是一批批学子建功立业的渴望,当然还有那承载了多普勒效应的物理思绪。
(啥,多普勒效应,是什么东东?能吃不?

本期问答聚焦于火车脚下,告诉你火车如何在复杂的铁路网中实现变轨,快来看看吧!
一步两步,
一步两步,
一步一步似爪牙,
似魔鬼的步伐




1Q
水喝多了还会水中毒,所以水有,,毒性?
by yoursA
水中毒是指机体水的摄入量超过了排水量,以致于水分在体内滞留,打破了水和电解质的平衡,引起血浆渗透压下降和循环血量增多,过多的水会稀释人体内的钠离子浓度的现象,在医学上又被称作稀释性低血钠。
钠是人体内很重要的电解质,有维持体内水分平衡,帮助神经肌肉运作的作用。血液中的钠离子过低或过高,都会引起人体不适,而当人体血液中的钠离子浓度过低时,就会出现以下症状:
低于130mEq/L:开始出现轻度的疲劳感;
低于120mEq/L:开始出现头痛、呕吐或其他精神症状;
低于110mEq/L:除了性格变化,还伴随痉挛、昏睡的感觉;
低于100mEq/L:神经讯号的传送受到影响,导致呼吸困难,甚至可能还会导致死亡。
(毫当量浓度为毫摩尔浓度乘以离子价态数:对于钠离子有 1mEq/l = 1mmol*1价)
水中毒的原因主要有:在大量出汗后马上大量补充水分、急慢性肾功能不全、药物影响等。一般情况下,只要不是短时间大量喝水,我们的肾脏是可以调节的。因此,正常饮水也不用担心水中毒情况的产生。
By Nuor
2Q
臭氧为什么能污染环境呢?
by 苏立佳A
臭氧(O3),氧气的同素异形体,一种有着特殊气味的淡蓝色气体。主要分布在地球周围约10-50km的高空中,保护地球不被紫外线过度照射。雷雨过后我们都能在空气中闻到一股略微怪异的味道,就是我们常说的臭氧。
首先,在平时的空气中,臭氧是无毒的,只有在较高的浓度并较长时间处于臭氧环境中,其才会对人体产生危害,也就是我们常说的,剂量决定毒性,就像上面说的水喝多了还可能中毒一样。其次,一般情况下,我们闻不到臭氧,是因为臭氧存在10~30分钟的半衰期,会分解为氧气。
常说的光化学烟雾主要成分就是臭氧,由 NOx、VOC 挥发性有机污染物等转化而成。产生的臭氧由于其氧化性,在一定的浓度下,会对材料造成腐蚀(如氧化聚合物材料中的不饱和键),影响植物生长(如破坏细胞膜,影响生理功能),对人体造成危害(如危害呼吸道和中枢神经)。
By Aaron Chen
3Q
火车是如何变轨的?
by EvanHungA
火车变轨依靠的是道岔。每一组道岔由尖轨、导轨、岔心、两根护轨和岔枕组成,由长柄以杠杆原理拨动两根尖轨,使车辆轮缘依开通方向驶入预定进路。
道岔(图片来源:Wikipedia)
解释火车通过道岔变轨之前需要了解火车车轮的构造,见下图。火车车轮不是圆柱形的,而是近似于圆台形,并且轮缘在内侧。
下面以单开道岔为例,当想让火车由A到B时,就拨动尖轨(图中红色部的分)让它像图1中那样放置。火车左轮不与尖轨接触,直接向B方向行驶,但是右轮因为有轮缘的存在,被尖轨引导至向B方向行驶,从而使火车直行。当想让火车由A到C时,拨动尖轨,让它像图2中那样放置。这时,火车右轮不与尖轨接触,因此沿着铁轨向C方向行驶,而左轮被尖轨引导,也向C方向行驶,从而实现了火车变轨。
图1
图2
完整动图如下:
(图片来源:Wikipedia)
参考:铁道知识ABC】5-钢轨(上)
By 重光
4Q
洗发水的喷头是什么原理?
by 刘诗诗黄轩A
洗发水喷头的正式名字叫做“乳液泵”。乳液泵的内部构造见下图:
按压按钮时,泵体内的体积减小,泵体内的乳液受到挤压。从图中可以看到,乳液可以向下运动或者向上运动,可是,因为下方有一个玻璃球(黄色)堵住了通道,因此乳液只能将上方的玻璃球(粉色)顶开,然后从按钮处流出。
松开按钮时,弹簧将活塞顶起,泵体内的体积增大,形成负压。因为有粉色玻璃球的存在,外界的空气无法通过按钮处的出口进入泵体,所以瓶子内的乳液就顶开黄色玻璃球,流向泵体,直到储满泵体。到这里还没结束,因为瓶子内的乳液流向了泵体,所以瓶内产生了负压,这时,外界空气顺着中心导管与锁扣的缝隙进入到瓶中,从而平衡气压。
以上就是乳液泵泵出乳液的完整过程。
By 重光
5Q
为什么用阿基米德原理计算浮力与物体自身密度无关?
by 郑局郑段A
阿基米德浮力定律说的是水对物体产生的浮力大小等于物体排开的水受到的重力。所谓的排开的水的体积在图中对于B来说是B所占据的体积,对于A来说是A在水面下占据的体积。当所排开的水的重力等于物体时,物体就能浮起来。
对于静止的水,我们认为里面的水各处受力平衡。如果把物体放入水中,假设物体占据的空间还是被水填充,那么这团水在其他的水的作用下是受力平衡的。又因为水中物体所受的力由它周围的水施加的压力决定,所以物体和填进去的那块水受浮力一样大,浮力等于液体密度×g×排开水的体积。可以看出,浮力和物体自身密度无关,只和排开的水的重量有关
By Nothing
6Q
热电效应是什么?有什么应用?
by 申A
首先简单说一下什么是热电效应,当金属或者半导体两端有一个温度差的时候,两端会产生电势差,如果用导线将两端连起来,就可以形成通路。不仅如此,当我们给一个温度分布均匀的金属和半导体两端加上电压以后,也会导致一个热流动,时间长了两端会产生温度差。前者被称为塞贝克效应后者被称为帕尔贴效应。但是由于对于大部分金属和半导体来说这个热流的量级远小于电流产热的量级所以我们几乎感觉不到它的存在。
那为什么会有这么神奇的效应呢?主要原因在于载流子(金属中的电子、半导体中的电子和空穴)在传导的时候会携带热量。当金属或者半导体两端有温度差的时候,热端的载流子扩散速度更快,就会在冷端形成电荷聚集,正是这个电荷聚集导致了电势差。反过来,当你给一个金属或者半导体两端加上一个电压,载流子的单向流动也会导致热流动从而形成温度差。
说了这么多,热电效应有哪些应用呢?首先人们相当的第一个应用就是发电!我们的工厂每天都会产生大量的热量,这些热量无法利用就浪费掉了,我们可以通过烧水的方式来利用它但是显然这是非常低效麻烦的,如果我们用热电性能好的材料将其转化为电能,变废为宝,将为节能减排做出重要贡献。另一个应用就是用来测量温度,我们只要恒定其中一端的温度然后把另一端接触到我们要测的材料上然后测量电势差就可以知道我们要测的物体的温度啦!热电偶被广泛应用于温度检测,工作温度上至1000多度,下至零下270度,分辨率还很高,是各大实验室居家必备神器之一。
热电器件还可以用来制冷, 上图就是利用半导体热电材料制冷的示意图,我们给两个半导体通电就会导致他们载流子从冷端向热端移动带走热量,但是这个制冷量非常小,通常用于微型制冷。
参考: Thermoelectric effect
By 望江楼
7Q
为什么白光通过棱镜会色散?光的色散的本质是什么?
by 自旋波A
众所周知,白光由其他多种颜色的光混合而成,要想从白光中得到单色光需要将其他不需要的颜色的光去掉。棱镜就是实现这种目的的一个实用工具。不同颜色的光在玻璃中的折射率不同,这导致玻璃对不同颜色的光的偏折效果不同。一般来说,玻璃对紫光的折射能力强,对红光折射能力弱,所以经过棱镜的折射后,不同颜色的光传播方向不同,这使不同的光在空间中分离开。因此可以说色散的本质是不同颜色的光在玻璃中折射率不同。
更进一步,那么为什么不同颜色的光在玻璃中折射率不同呢?
首先光是一种电磁波,电磁波的行为可以由麦克斯韦方程组描述,通过麦克斯韦方程组我们得到光速为:
其中μ和ε是介质的磁导率和介电常数,一般来说,介质的磁导率和介电常数随光频率改变而改变。因此,不同频率的光在介质中的传播速度不同,这种现象被称为色散。我们可以定义材料的折射率为:
其中c0是真空中的光速,c是介质中的光速。
根据惠更斯原理,可以推导出光线从折射率为的介质以入射角α进入折射率为的介质时,入射角和折射角之间的关系是:
可以看出,介质会改变光的传播方向,棱镜正是利用这用原理进行分光的。
那么,最后的本质问题来了,介质的磁导率和介电常数随光频率改变而改变的微观机理是什么?如何随频率变化?
哎,说到这,就不得不提及我们伟大的物理前辈黄昆先生提出的黄昆方程了!微观上,电子束缚在原子核周围,电子随外界电场可有一定程度的偏移,但是也存在阻尼。可以想象成一个弹簧振子,在快速变化的周期性外力作用下,电子运动不能完全及时跟上。这个导致其对外界频率变化有不同的响应。
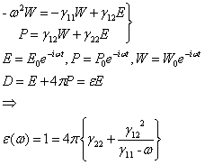
考虑连续介质模型中的平面波解,可以得到介电函数与频率的关系,如下图:
其中,γ11,γ12,γ22为与介电函数有关的待定系数.
利用复变函数极值点求得静态介电常数ε0和高频介电常数ε∞,分别对应频率为零和无穷大频率的介电常数,最后得到介电函数的表达式为:
最后,如果你还想知道磁导率如何随频率变化的话,快来学物理吧!物理所欢迎你的加入!
By Nothing
本期答题团队:
物理所 Nothing、Nuor、重光、Aaron Chen、望江楼
本期答题得到了“物理所大师兄”@李学苑的大力指导,鼓爪!
写下您的问题,下周五同一时间哦~
↓识别下方二维码快速提问↓
上期也精彩
为什么手指能滑动手机屏幕,手指甲却不能?| No.156
近期热门文章Top10
↓ 点击标题即可查看 ↓
1. 首届黑洞PS大赛来袭!为了这张「高糊」的图,中国科学家做出了啥贡献?
2. 物理学四大神兽,除了“薛定谔的猫”还有谁?
3. 地下多大的金矿才能影响到单摆实验?| No.149
4. 为什么用木棍打衣服就可以洗干净衣服?| No.150
5. 为了替你出气,我们给讨厌的杨柳絮来个「以暴制暴」
6. 玩扫雷还有什么技巧?科学家的玩游戏方法你绝对想不到
7. 在我国,没有任何一张地图能告诉你你的真实位置
8. 在客户鱼嘴里提供服务的小清洁虾、清洁鱼,是怎么知道自己不会被吃掉的呢?
9. 你以为土拨鼠只会尖叫?其实它可能正在骂你
10. 你知道为了测博尔特的速度,我们有多努力嘛?
点此查看以往全部热门文章