继续操作前请注册或者登录。

全体自然数的和等于 -1/12 是真的吗?| No.144



不知不觉中,问答专栏已经陪伴我们走过近三年的时光,两万多次提问,一千多个回答(可能这就是爱吧)!,是 广大粉丝 和我们答题小哥共同智慧的结晶。
在三周年到来之际,问答专栏的第一本精华合集《1分钟物理》即将和大家见面!你还记得当年那些脑(méi)洞(shì)大(xiā)开(xiǎng)、生(ràng)动(rén)有(tóu)趣(dà)的问题吗?

光为什么不会砸死人?
往台风眼里扔一颗原子弹会怎样?
黑洞有温度吗?
还记得的同学让我看到你们的双手!

我知道肯定有的童鞋觉得每期8个题目很不过瘾,
现在机会来了,
有了这本大合集,
可以让你一次看到爽(tù)!

感兴趣的童鞋看完这期不要走,老规矩文末有惊喜!1Q
为什么太阳中午是白色的,傍晚是橙色的?
by strangeA
我们一般认为太阳光是白光,这里提到的太阳光指的是空气质量优良的正午时刻测到的阳光。生活经验告诉我们,阳光在早晨和傍晚时是橙色的。这种现象的成因和天空为什么是蓝色的类似:地球表面被一层大气所包裹,大气对阳光有散射作用,使得阳光在通过大气层时会被散射到各个方向。但是,阳光对不同波长的光线的散射能力不同,我们的大气更倾向去散射蓝紫光而透过红黄光。正午时刻,太阳近似直射地面,阳光抵达地面所穿过的大气层厚度较薄,阳光中的蓝紫光没有被充分散射,阳光看起来是白色的(也可以说把这时的阳光定义为白光)。在傍晚时分,太阳西沉,这时太阳要想到达地面就要穿过更厚的大气层,蓝紫光被大量散射掉,这时太阳看起来就会偏向橙色。
By Nothing
2Q
油罐车后面那条铁链有什么用吗?
by 伽俐略三世A

一般,我们会看到一辆油罐车后面会拖着一条尾巴,有时是铁链有时是看似橡胶的链子,它们的共同特点是都导电。之所以要加这条链子是为了防止静电带来的危害。
我们知道环境中经常产生静电,像油罐车这样各种部件以及与地面、空气之间经常摩擦的体系,静电的产生几乎不可避免。而静电积累到一定的程度就会形成电火花,电火花很可能会将油料点燃形成事故。而“尾巴”的存在可以将静电及时导走避免危险的发生。
在日常生活中,我们也经常受到静电的电击。其中其中解决办法就是在门把手上或者门上装一条接地导线及时的导走多余电荷。
By Nothing
3Q
为什么刀具在进行“相对滑动”时,才会产生明显的切割效果呢?
by 3A-7A
做过菜的同学都知道,在切菜时,我们一般在刀具垂直运动的同时,也会加上前后的移动,这样会更容易更省力。这个现象我们司空见惯,其原理也很简单。刀具在垂直运动的时候,物体受到刀的压应力,当压应力大于物体的抗压强度时,物体就会被切开。但实际上,刀具并没有我们想象的那么完美光滑,放大来看,刀刃处其实有很多的类似锯齿的结构,这时我们加上前后的移动,刀刃的微小锯齿就会钩住物体,对物体施加拉应力。当该拉应力大于物体的抗拉强度时,物体也会被切开。
因此,我们使用刀具时,加上“相对滑动”会产生更好的切割效果。这也是为什么只有爬刀、踩刀之类的杂技项目,而很少看到溜刀(手动滑稽)。生活中,我们也常看到一些带有一定角度的刀具,这是为了方便只用一个方向的推力,也会产生相对滑动,从而切割得更快速方便。
By Major Tom
4Q
一碗粥下面是烫的,表层是稍凉的。请问把粥搅拌均匀凉的快还是不搅拌凉的快?
by 匿名A
粥之所以会出现内部热表层冷的情况是因为表层和外界接触,表层的热量可以迅速传递给环境而使自己变凉。由于粥的粘性比较大,自身比较难流动,所以表层的粥会一直处于表层,因此表层的粥凉的比较快。
对于题主的问题有两种可能:如果想要让粥的表面凉的快一点,那么就不要搅拌。如果想让粥整体凉的快一点,搅拌是一个好办法。事实上,搅拌是为了让粥流动起来,起到了人造对流的作用。这种方法不光在让粥变凉时有用,在煮粥时也有用,搅拌不光可以防止糊锅,还可以通过对流让粥的整体尽快热起来。
By Nothing
5Q
鲁伯特之泪特性的原理是什么?
                                                                               by 匿名A
要回答这个问题,首先要知道什么是鲁伯特之泪。根据维基百科,鲁伯特之泪是通过将熔融玻璃滴入冷水中,迅速固化形成的具有细长尾巴(类似蝌蚪形状)的钢化玻璃珠。
它“坚不可摧”特性的原理,其实和钢化玻璃的原理相同。当熔融玻璃滴入冷水后,其表面与冷水直接接触,冷却速度极快,先一步固化;而内部的冷却速度稍慢,在其后续的固化过程中,体积变小,因此对表面产生较强的压应力。我们知道,玻璃的碎裂其实就是裂纹的扩展,但对于鲁伯特之泪而言,即使其表面受外力而产生了微裂纹,表面巨大的压应力会阻止微裂纹进一步的扩大,因此很难破碎。
但在其细长的尾部,内外部冷却速度接近,压应力产生的强化作用有限,因此比较脆弱。如果尾部破碎,尾部的浅裂纹会沿着轴线深入头部,导致整体的爆裂。

鲁伯特之泪

表面与内部应力图
By Major Tom
6Q
火车高铁是如何向动车组供电的?
by scientistA
首先说说动车组和高铁的区别。
动车组是至少两节车厢能产生动力的列车,如一组8节车厢的和谐号,一般是4节带动力,4节为拖车(无动力)。高铁是指高速铁路,我国对高速铁路要求是列车的最高时速≥250km/h。这么高的速度要求,使得目前高铁上运行的都是动车。简单说G字头的高铁可以理解为高速运行的动车组(最高时速≥250km/h)。而D字头的动车是因道路等因素限制使时速低于250km/h的动车组。
再说说动车组供电。(动车组可分为内燃机动车组和电力动车组,这里只说电力动车组)
我国高铁采用了AT供电方式。简单来讲,首先通过牵引变电所把一般电网上百万伏特的交流电降压为55kV,然后接入牵引网,牵引网中的接触网(铁路上面的电线)和铁轨保持了27.5kV的电压(略高于额定工作电压25kV)。通过受电弓,火车连接了接触网和轨道。轨道处于0电位,不会伤人,但钢轨上面的线有上万伏特啊,请不要放风筝,否则亲人两行泪。

总的来说,中国标准动车组采用的是接触网取电。车顶的受电弓从接触网上获得25kV,50Hz的交流电,以此得到一万千瓦左右的牵引总功率。
By hugo
7Q
很久以前看到过一个式子:1+2+3+…+∞=?,最后的结果居然是一个负数,好像是负12,Σ求和,能不能解释一下,正确还是错误,错在哪里?
by Das schicksal A

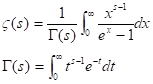
答案是肯定的,首先全体自然数的和是ζ函数在s=-1时的情况,

该函数在时不收敛,趋于无穷;欧拉首次计算出了s=2的值,并且给出了全体自然数的和是-1/12的结果,以及对应平方和和立方和。

最终黎曼找到了上述函数的的解析延拓,使得这些结果完全确立。

将s=-1代入即可得到全体自然数是-1/12的结果。
这个结果的得出主要利用解析延拓的思想,光滑函数只需要任意取一小段,就能唯一确立整个函数。直观的说就是扩充函数定义域,同时需要保证函数无穷阶可导。在得到上述结果的过程中,Г函数还是自然数阶乘的解析延拓。
参考:【全体自然数的和等于 -1/12 】这是真的
By 勿用
8Q
面积是矢量吗?如果是的话那么面积相加是否应该按照平行四边形定则?如果不是那如何解释磁通量公式?
by 匿名A
在说面之前我们先说一下线,线段的长度是矢量还是标量?答案是标量,就相当于是向量的模长。与一维的长度相对应的则为二维的面积,面积是表示平面中二维图形或形状或平面层的程度的数量,是一个标量。因此对面积进行相加时直接相加即可。对于一个面来说,我们只知道它的面积是不够的,因为一个面它具有形状,它在空间中有不同的朝向。对曲线来说,在曲线上某一点具有唯一的切线,但对于曲面来说则具有无数条切线,但切面只有一个,因此表述面的方向通常来说是用一个与切平面相垂直的向量,即法向量。
当我们在说某个量是矢量是标量时,这个量是一个具有物理意义的量。磁通量的公式也含有它的意义。磁通量是通过磁场在曲面面积上的积分定义的,通过磁场中某处的面元dS的磁通量dΦ定义为该处磁感应强度的大小B与dS在垂直于B方向的投影dScosθ的乘积。通俗来说就是磁场与平面相垂直的通过,而当磁场与平面不垂直时,斜面可以等效为一个与磁场垂直的面,虽然它的面积大,但它真正捕获的磁感线的面积却只有投影面那么大。
 
(图片来源:百度百科)
图中的θ实际上是平面的法向量和磁感线的夹角。当平面垂直于磁场时,θ为0,磁感应强度B和面积S直接相乘。我们知道,两个向量相乘等于向量的模相乘再乘上它们之间的夹角余弦值。而对于向量来说,模长乘上它的单位向量就成了向量本身。因此加粗的S实际上就是面积的大小S乘上它的单位法向量n。所以BScosθ=B·S
当面是一个三维的曲面时,可以把它分割为很多个小的平面dS,这样在这个小面里可以进行计算,然后再叠加就行了,因此就是曲面积分。

(头顶带箭头与加粗一样,表征是向量)
对于一个三维的矢量来说,它的方向可以分解为X、Y、Z三个方向,即任一矢量都可以由指向这三个方向的矢量叠加而成。同样的,一个面在垂直于X、Y、Z轴三个方向上也有投影。因此当我们计算磁通量时,磁通量就等于磁感应强度在X方向上的投影大小乘以面在OYZ平面上投影的面的面积,以此类推Y和Z。从数学上讲实际上就是第一类曲面积分和第二类曲面积分。

By Patwf
------惊喜分割线------


现在预订还有会限量版鼠标垫相送
下方是一个超级可爱的二维码
扫它!!

额,不会操作这个二维码的也不要放弃
点击阅读原文亦可前往预订!

本期答题团队:
物理所   Nothing、Major Tom、勿用、Patwf
南京大学       hugo 
写下您的问题,下周五同一时间哦~

↓识别下方二维码快速提问↓

上期也精彩
屁有颜色吗?真的有“彩虹屁”吗?| No.143

编辑:望江楼
近期热门文章Top10
↓ 点击标题即可查看 ↓
1. 大龄单身狗返乡过年期间瞬时压力激增现象及其应对措施研究
2. 12个革命性的公式
3. 最小有多小?最大有多大?
4. 一幅图读懂量子力学(大神的战争)
5. WiFi穿墙完全指南
6. 为什么你吃的食物跟广告上的永远不一样?
7. 你知道爱因斯坦人生中发表的第一篇论文是什么吗?
8. 出生在显赫世家是怎样的体验?
9. 理论物理学家费纸,实验物理学家费电,理论实验物理学家费?
10. 这些东西,看过的人都转疯了!
点此查看以往全部热门文章

到顶部