为什么妖怪吃唐僧都用蒸的?| No.230


最好的食材往往只需要最朴素的烹饪方式……蒸、煮、炒、炸、煎、卤、烤烹饪手段可谓是五花八门但对于爱吃唐僧肉的妖怪们来说蒸着吃才是最合适的方法那为什么唐僧肉一定要蒸着吃呢
Q1
发光二极管为什么有单向导电性?
by 小马同学
答:
形象地说:二极管有“天生的电势”。如果我们把电路中的电子想象成在滚动的小球,绝对导体就相当于完全光滑的道路:小球在上面滚完全不会损失能量,电阻类似于粗糙的道路,小球在上面两个方向都可以滚,但是都得损失能量。
而二极管,对于小球来说是一个坡,电压不高的时候,小球能量不够,往上爬坡对小球来说太难了,所以小球只有下坡方向才能导通,这就是单向导电的形象的解释。当然如果小球从电源那里获得了足够多的能量,它就能爬坡了!这个时候半导体就被反向击穿了。
当然也许这个答案完全无法让勤学好问的你满意,你可能会问:那为什么半导体对于电子来说就是个坡呢?这就涉及PN结的微观结构了,在制作二极管的时候,二极管两端的电子浓度被人为的弄得不一样(掺杂工艺),这样电子多的就会朝电子少的那边扩散,这会产生一个电场,这个电场相对于电子来说,就是一个具有特定方向的坡啦~
by Luna
Q.E.R.
Q2
物理学中有办法测量出无理数吗?
by 光锥外的旅行者
答:
办法倒是有的,但结果的精确度依赖于测量工具的精密程度。
我们知道位移
的二阶导数是加速度
,那么当
的大小是一个常数时,
就是时间
的二次函数,即
²



均为常数),若写成
的形式,在表达式中就会出现
的形式。故通过实验可以对
型无理数进行测量。

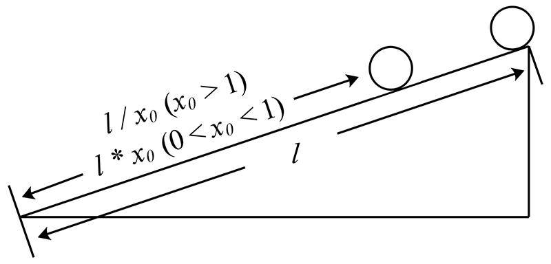
如上图所示,在一个倾斜的轨道(总长为
)上释放一个小球,根据运动学定律,球下滑的位移
经历的时间
满足关系
²,即
。如果我们想知道某个无理数比如

(设

),那么就可以让小球分别置于轨道顶端和距离轨道底端
₀处下滑,两次下滑所用的时间分别记为
₁、
₂,那么

₂即为

的值。若

,可将小球分别置于轨道顶端和距离轨道底端
₀处下滑,记两次下滑所用的时间分别为
₃、
₄,那么可以

通过

₃得到。
不过,由于生活中我们记录时间的工具一般只能精确到毫秒级别,所以我们也只能得到某个无理数的近似结果,想要结果更加精确,就要使用更加精密的测量工具。
这里我们只讨论了
型无理数的物理测量方法,更多无理数的物理测量方法见参考资料1。
参考资料:
姚立.无理数和超越数的物理测量方法[J].教学仪器与实验,1995(03):10-11.
by Eric
Q.E.R.
Q3
中学时老师讲“固体传声效果比气体好”,为何在实际生活中,坐在房间内,听外面声音很吵,关上窗户声音会小很多?这难道违背了“固体传声效果比气体好”的这句话吗?by 没有一丝丝改变的少年
答:
这两者是不矛盾的。小编的老师在中学时讲过同样的概念,即声波在固体中传播最快,在气体中传播最慢。声音是由物体振动产生的,声源的振动先在其附近介质产生扰动,后者又推动它临近的介质,过程不断重复形成声波,那么介质越是致密,声音传播的越快。如果你想让声音传播到很远的地方,固体是很好的传播介质。而生活中关上窗户可以让声音变小,则是考虑了声音在传播过程中遇到不同介质的界面会发生能量的耗散,部分声波会在界面反射带走能量,只有一部分声波可以穿过不同介质的界面继续传播。换言之,介质的变化会导致声波所携带的能量减少。这也可以解释为什么声音再从气体传到传声效果更好的固体后,音量反而变小了。
by 观山不易
Q.E.R.
Q4
致密天体可能是超导的吗?最近报道高压强环境带来超导,联想到这个。by 匿名
答:
致密星体一般指的是白矮星中子星和黑洞:黑洞先不谈。白矮星由电子简并压维持,物理图像上大约是一大堆电子死命地挤一起。这个状态的物质很可能是超导的,很多年前的苏联科学家就已经依据BCS理论进行了估计。(具体可参考ARE WHITE DWARFS SUPERCONDUCTORS?)
对于更致密的中子星,电子超导这个概念失去了意义……因为此时电子简并压已经无法对抗引力了,电子被压进了质子形成了中子。也就是说,在中子星这样的物质里,已经没有传统意义上的电子了……那么当然没有电子超导这样的概念了~
by Luna
Q.E.R.
Q5
为什么妖怪吃唐僧都用蒸的?
by 匿名
答:
唐僧作为中国古典名著《西游记》中的人物,吃他的方法可谓是花样繁多,如蒸、煮、炒、炸、煎、卤、烤、刺身等等。真要说面对这个独一无二的极致补品,相信有见识有格局的妖怪们若想吃到最佳的吃法,没有深思熟虑之后恐怕也不敢轻易动嘴。其实原著当中涉及到唐僧的吃法之处,大部分是蒸了吃,如红孩儿的烹饪方法是“上蒸笼”,小鼍龙打算“囫囵蒸熟”等等不胜枚举。甚至在七只蜘蛛精打算蒸唐僧之后,悟空还吐槽煮着岂不是省柴,这些妖精真败家。连唐僧自己也曾在第28回中谈到“我命在天,该那个妖精蒸了吃,就是煮了,也不为过。”可见,唐僧也认为蒸吃乃是最妙的。
一、蒸吃营养难流失,吃到原汁原味
唐僧作为大补,其药效一定是作为食材的第一要义。蒸利用水沸后的水蒸气作为传热介质,属于“汽熟法”。利用高温水蒸气,传热方式相较其他烹饪方式缓慢而温和,最大限度上保证食材内部营养物质不因达到化学反应活化能而变质,是最好的动力学稳定烹饪过程。
蒸最大程度保证食物的味、形和营养,避免过度煎、炸带来的营养成分破坏(如维生素B2在蒸的过程中损失率仅为5%,远低于高温后的50%),避免有害自由基的产生。不需要翻动,避免对于形的破坏。而且中医中也有蒸药的说法,称其可以避免上火,去除毒性,增强补益效果,可谓是补上加补,实为延年益寿之极品。
二、吴承恩喜欢蒸,保证生活的仪式感
大多数妖怪选择蒸,还可以被归因于《西游记》的作者吴承恩乃是江苏淮安人,而此地淮安菜则是以其菜品精美雅致闻名,其中的蒸菜更是出众。所以说不止是妖怪们喜欢蒸,吴老爷子也喜欢蒸。
面对这个“器宇清净,容颜齐整”(鲜嫩多汁)的“白面胖和尚”,相较煮汤来说蒸也可以保持本味不至寡淡,相较煎炸烧烤的辛辣刺激,唯有原汁原味地蒸他一蒸,才能保证成品的精美雅致、鲜素多汁。这是群妖们快意潇洒之余的少有的清淡饮食,是对生活和生命(为了长生)的尊重与仪式感。
参考资料:
《西游记》中提到了几种烹饪唐僧的方法?
中药蒸法的历史沿革分析
从食品安全角度论蒸菜重要性
by 放开那个苹果
Q.E.R.
Q6
为什么天空在地平线边缘处颜色会更浅一些?
by 匿名
答:
这主要是由于地平线处光的散射路径更长造成的,众(ke)所(pu)周(yi)知(xia),天空呈现蓝色主要是由于大气成分的散射,这其中有瑞利散射与米氏散射,当散射粒子直径显著小于光的波长时,主要发生瑞利散射,例如氮气与氧气,直径与波长相仿时,发生米氏散射,例如小水滴和PM2.5……瑞利散射强度正比于频率的四次方,因此蓝紫光散射强度相对较大,而紫光紫外线又被臭氧层大量吸收,故晴朗天空呈现蓝色:

而当我们观察地平线处时,散射光路径将明显变长,此时,散射光中红橙色光成分增多,混合后的色光就相对更接近白色,看起来颜色就会浅一些。

另一方面,当你看向地平线时,近地面处相对高空会有较多的小水滴与尘埃(或PM2.5),这些相对较大的分子会发生米氏散射,而米氏散射对所有频率的色光散射强度大致相同,因此米氏散射的散射光呈白色(云主要是小水滴,发生米氏散射,看起来就是白的)。这也是地平线处天空颜色较浅的原因之一。
所以,当你发现地平线处天空颜色较浅时,可能就要关心一下当地天气质量了。
by 霜白
Q.E.R.
Q7
喷泉喷出的水柱每一段质量相同吗(假设将水柱分为上、中、下三段)?by 星光战士
答:
喷泉是公园常见布景,水花四溅看起来十分惬意,欣赏喷泉时发现了这么一个问题可以说是非常有心了,点名表扬一下。
(图源网络)
水柱越高的部分速度越小。其中水柱喷口处水速最大,并且喷口在每一秒喷出的水的质量(体积)是一样的,这由动力装置所决定。由于高处水速小,那么相等的上中下三段,上段跑完就需要更多时间,中段次之,下段所用时间最少。所以相应地,上段水质量(体积)最大。进一步,可以根据上面的讨论构造水柱的简单模型:把水柱的运动规律用竖直上抛运动来近似,喷口为圆口,设定某个喷口处水速,那么一定时间内的水柱就是下面这样一个截面越来越大的形状了。可以直观感受到,把这个形状按高度截为三段,上中下的体积(质量)是逐渐降低的。
(图片由Mathematica绘制)
by yrLewis
Q.E.R.
Q8
马路上的减速带一般弧度是多少?假设汽车速度非常快,达到多快会因减速带而卡住飞起来?by emawk
答:
想要知道减速带的弧度,首先要知道减速带的规格与截面形状。规格上,宽度一般为 300 或 350mm,厚度一般为 30、40 或 50mm;截面形状有等腰梯形、圆弧、正弦线、抛物线等。下面以等腰梯形和圆弧两种减速带截面为例计算弧度


显然,当宽度为 350mm、高度为 30mm 时
最小,宽度为300mm、高度为50mm时
最大。通过计算,截面为等腰梯形时,13.50° ≤
≤ 26.57°;截面为圆弧时,19.46° ≤
≤ 36.87°。可见,减速带的弧度会因为规格和截面形状而在不同的范围变化,平均大约在二十几度的样子。
下面讨论关于汽车“起飞”的问题。我们先来脑补一下“起飞”的过程:高速行驶的汽车前轮先通过减速带的顶端并飞离地面,车头先向上扬起再回落至地面,若前轮落地前,后轮已经通过减速带的顶端,汽车就能完全腾空。

假设汽车质量 m=1500kg、轴距(前后轮间距)
=2.5m,通过一个宽度
=0.3m、厚度
=0.05m、截面为等腰梯形的减速带。视汽车为刚体(与减速带碰撞时不产生形变),到达减速带前以较高的速度
匀速行驶。
在汽车前轮进入减速带至到达顶端的过程中,竖直方向可视为匀加速运动,可算出竖直方向加速度
,前车轮到达减速带顶端时竖直方向的速度
。而后汽车处于单轮着地的“杠杆”状态,根据角动量定理和转动定理,可解出
≈10km/h。
啥?这么慢的速度就能“起飞”?我读书少你别骗我!且慢,再回头看看,假设里我们视汽车不产生形变,但实际上车胎以及与车胎连接的悬挂系统皆有弹性(会产生形变),能起到很好的减震效果,这才使得现实生活中速度较快的车在驶过减速带时没有“起飞”(论悬挂系统的重要性)。
悬挂系统示意图 | 图源:网络
那这个“起飞”速度该如何得到呢?亲身试验?更不可能。汽车驶过减速带时的速度越大,受到的冲击力就越大,这会使汽车直接失控,严重时车毁人亡(所以在座的旁友们千万别去尝试)。那就一点办法也没有了吗?别担心,在计算机如此发达的今天,模拟软件帮了大忙,下面的动图就模拟了一辆高速行驶的汽车经过减速带后的情形。(像是腾空了一小会儿,但也成功地失控了,直接白给)
动图截取自视频汽车高速通过减速带会有什么后果?看看!
综上所述:道路千万条,安全第一条,减速带处偏加速,车毁人亡两行泪……咱还是规规矩矩把车速降到20km/h以下再通过减速带吧。
参考资料:减速带设置标准及规格尺寸
by Eric
Q.E.R.
#投票
#本期答题团队
Luna、Eric、观山不易、放开那个苹果、霜白、yrLewis
#点击这里或识别下方二维码快速提问

#上期也精彩
为什么冰箱是个柜子,而冰柜又是个箱子?| No.229
编辑:他和猫
近期热门文章Top10
↓ 点击标题即可查看 ↓
1. 脸越来越大,是一个人成熟的标志
2. 用高等数学清扫马路,这个国际大都市每年省下了两千万人民币
3. 别吓唬小熊猫,不然它就会......站起来!
4. 重磅!科学家发现金星可能存在生命的证据,地球也许并不孤单
5. 当乒乓球被打出超音速后......
6. 硬核科普:什么是拓扑?
7. 想要看懂《信条》,演反间时懂先得你
8. 只是在手机里装个输入法App,为什么还要我的位置权限?
9. 你在某音听过500遍的土拨鼠叫,其实都是假的!
10. 这些数学题做不出?不是你的错! 点此查看以往全部热门文章 

到顶部