继续操作前请注册或者登录。

为什么下雨天走路会把水甩到鞋面上?| No.133



最美的不是下雨天,是曾与你躲过雨的屋檐。除了一起躲过雨的屋檐,还有下雨天走路溅到鞋面上的水,每次小编擦鞋的时候,内心都饱含对下雨天的怨念(and 对别人在一个屋檐下躲雨的浓浓妒意...)。更不要说当下雨天遇上熊孩子,简直是一场灾难!今天我们就来谈一谈下雨天走路为什么会把水甩到鞋面上以及如何避免。搭配BGM食用效果更佳~1Q
干冰扔到水里以后出现大量白雾,一会儿以后发现水迅速减少。白雾肯定是水蒸气液化形成的,可是为什么会有大量的水蒸气呢?是干冰升华时二氧化碳气泡从水里带出来的吗?
by  小夜A
干冰实际上就是固态的二氧化碳,由于干冰升华时需要吸收大量的热,大量热量的散失会造成局部的气温迅速下降,使得周围空气中的水气凝结成小水滴。因此,我们看到的雾实际是空气中水蒸气凝结成的小水滴,而非水中的。这个过程和夏天我们吃雪糕时看到的白烟是一样的。
By 哈士奇不是狗
2Q
上图像处理学到了一个概念,圆形度,和面积与周长平方之比成正比例关系。难道不存在一个图形和圆有着相同的周长面积却不是圆形吗?或者说图形的形状是否由面积周长就可以确定下来?
by  豆腐剥了皮也不白A
这其实是两个问题,第一问问的是“是否存在不是圆的图形与正圆有着相同的周长和面积?”“面积和周长能确定图形形状吗?”则是另一个问题。
对于第一问而言,的确是这样,不存在与圆形具有相同周长和面积的其他图形。对于圆形,我们有一个常识性结论是“平面曲线在周长一定时,对应图形中圆的面积最大”。数学上对这一结论的支撑是等周不等式——任何弧长为2π的平面闭曲线所包围的面积≤π, 仅当闭曲线为圆时取等号。对于圆而言,周长一定时,其面积时所有与其周长相等图形中面积最大的,那么和此圆面积相等的图形其面积也应该取极大值,此时图形只能是圆形,并且由于圆面积的决定性自变量只有半径一个变量,半径与面积一一对应,所以这两个圆的半径相等,是同一个圆。因此第一问的回答是不存在不是圆的图形与正圆有着相同的周长和面积。
第二问对第一问的结论进行了拓展,就不一定正确了。从第一问的回答中我们就可以感觉到,这个结论对于圆成立在一定程度上是因为圆的特殊性导致的。对于其他的多边形就不一定成立了,我们以最简单的三角形为例,假设三角形的边长为a,b,c;根据边长的面积我们可以得到两个方程,

其中有三个未知数,一般情况下这是一个具有多个解的不定方程,解的个数由三角形三边关系(a+b>c)给出。
对于四边形结论就更明显了,如图,将四边形从对角线划为两个三角形,将其中一个三角形调转方向,就可以得到边长和面积都相等的两个不同的四边形了。

以上的讨论全部基于单种多边形内部的比较,当然还可以对边数不同的多边形进行比较,甚至比较不同的闭曲线的面积和周长,这些需要弧长公式和微积分的部分知识进行推导,不再赘述。关于等周不等式的证明可以参考平面曲线周长一定,圆的面积是否最大?为什么?;三角形等面积周长图形的构造方法请参考周长相等,面积相等的两个三角形是否全等?,其中利用椭圆的定义来构造定周长三角形的思想值得借鉴,总的来说,很有意思的问题!
PS.原创小段子:
一日,小龙女在物理所小A面前演示双手互搏之术,说到:“你要是什么时候能够做到左手画圆,右手画方,我就让你追我,怎么样?”
小A不屑的瞧了小龙女一眼:“哼!你要是什么时候能够画出周长和面积都相等的圆和方,我就给你被我追的的机会!”
那么,问题来了——小龙女能和小编在一起吗?
By 勿用
3Q
为什么下雨天在室外走路的时候,有的鞋子会把水甩到鞋面上,有的鞋子不会?
by  水击三千里 A
对于这个问题,我们首先要弄清楚鞋面上水的来源,首先必须要排除直接落到鞋面上的雨水、雨水直接浸润以及走路过程中另一只脚溅落的水滴影响,然后把鞋简化为一个六面体,如图所示,可以附着水滴的鞋的部位还有左右侧面、后侧面、底面以及前侧面。

正常走路的情况下,后侧面是不会落到鞋面上的,能够落到鞋面上的水一般是前侧面鞋沿处或左右侧面靠前的位置附着的水滴。
同时还需要考虑人在行走过程中脚具体运动过程,正常行走时后脚跟先着地,然后是脚掌,然后后脚跟离地,前脚掌着地,蹬地面然后前脚掌离地,脚尖向上向前运动,然后脚向下向前运动,直到脚跟着地完成一次跨步过程。在此过程中,如果地面的水深度较浅,那么在行走过程中只有鞋底面与水接触,在踮脚时,底面附着的雨水向前脚掌处聚集,抬脚过程中,由于水的粘滞性以及脚尖向上向前运动,使的雨水被甩出去,沿雨水最后离开鞋的初速度方向做斜抛运动,在人向前迈步时落回鞋面。
不难发现,此过程中对于是否能够将水甩到鞋面上的鞋的主要因素有两个,第一个是鞋底面对雨水的吸附能力,越容易附着雨水的鞋底面越容易在垫脚时聚集更多的雨水,而这个能力与鞋底面的材质以及结构、粗糙程度都有很大的关系。第二个是鞋尖端的形状以及雨水附着能力对于雨水离开写作斜抛运动的初速度方向的影响,决定了雨水最后能否落到鞋面上。
那我们要怎么避免将雨水甩到鞋面上呢?除了将鞋底面做的粗糙一点,避免将雨水带起来之外,当然是走的慢一点啦!
参考:Sidewalk Science: How Water Splashes Atop Your Shoes
视频链接:Video: ‘Wet shoe’ problem solved
By 勿用
4Q
麦旋风的勺子为什么要设计成那种奇怪的形状?
by   WolframA
注意啦,下面是敲黑板划重点的时候啦!麦旋风的勺子为什么要设计的这么奇怪呢?如图,就是这个用法,麦旋风勺子的洞是用来和机器上的接口固连的,便于搅拌用。当然作为物理所的吃货是不会告诉你们这个管其实是用来吸我们那美味的麦旋风的啦!

图片来源:豆瓣
By 勿用
5Q
 为什么突然把气球皮拉伸,气球皮的温度会升高;在气球皮拉伸状态时突然松手让气球皮回弹,气球皮的温度会降低?
by 实在想不出原因的无机化学助教A
简单理解,突然把气球皮拉伸的过程中,假设尚来不及与外界发生热量交换,将气球皮看作是一种可压缩物质,可认为此过程是一个绝热过程,这个过程中外力对气球皮系统做功,气球皮的内能增加,不考虑分子势能,内能只与分子的热运动有关,内能增加,温度升高。在拉伸状态下突然松手,此过程气球皮对外界做功,内能减小,温度降低。
当然这个过程中,由于气球皮不是理想气体,不可避免的我们需要考虑分子间相互作用的影响,类似于弯折一根铁丝,在拉伸气球皮的过程中,我们会改变分子间距,部分分子间距边长,部分分子间距变短,使之偏离最低势能点,提高分子势能,这也会增加系统的内能。回弹过程中,分子势能降低。

能量上分析,拉伸时外界机械能转化为气球皮内能,温度升高;回弹时,气球皮向外界做功,内能转化为其他能量(机械能或热量)。
By 勿用
6Q
为什么理想气体不考虑分子势能?
                                                                                       by  匿名A
理想气体是研究气体性质的一个物理模型,理想气体的分子有质量,无体积,是质点;每个分子在气体中的运动是独立的,与其他分子无相互作用,碰到容器器壁之前作匀速直线运动;理想气体分子只与器壁发生碰撞,碰撞过程中气体分子在单位时间里施加于器壁单位面积冲量的统计平均值,宏观上表现为气体的压强。

延用“气球皮”问题中的分子间作用力的图像,分子势能在分子间距大于最低势能点间距r0时随分子间距的增大衰减。在理想气体模型中,分子间距远大于相互作用的截止长度r1,相比于动能而言,分子势能很小,可以忽略。气体越稀薄,越接近与理想气体,密度越低,理想气体分子在运动过程中基本不会接近其他分子,相互间距远大于相互作用距离,因此可以不用考虑分子势能。
By 勿用
7Q
饱和NaCl溶液还能溶解硫酸钠吗?如果能,不是饱和NaCl已经对钠离子饱和了吗?
by  蛋挞冰淇淋A
能!饱和NaCl溶液中只是钠离子和氯离子达到饱和,存在溶解结晶平衡。

而硫酸根离子远未达到饱和,会有一部分硫酸钠溶于水中,得到硫酸根离子,不考虑过饱和的情况下,一部分钠离子会析出,得到氯化钠晶体。
也许这么说不太好理解,但我们可以借用难溶电解质沉淀溶解平衡中的溶度积来理解这件事情。比如在氯化银溶液中加入氯化钠,因为氯化银是难溶电解质,其溶解度很小,氯化银溶液即为氯化银饱和溶液,存在溶解沉淀平衡,平衡时银离子浓度和氯离子浓度的乘积即为溶度积常数,该常数只与温度有关,直接决定了对应物质的溶解度。

加入氯化钠之后,氯化钠部分溶解,氯离子浓度增加,为保持平衡,银离子浓度必须减少,因此会析出部分AgCl沉淀。
当然氯化钠作为易溶解物质不能和难溶电解质相比,也不存在溶度积的概念,举此例只是为了便于理解。
By 勿用
8Q
单个电子能产生磁场吗?如果不能,那两个呢?
by  齐天大‘胜’A
能!
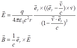
首先从最简单麦克斯韦方程组出发,变化的电场产生磁场,单个电子如果能够产生变化的电场,即可产生磁场。当单个电子静止时,静电场不发生变化,不产生磁场。电动力学的结果表明,运动的带电粒子在加速时产生电磁场,辐射电磁波,辐射场横向,电场和磁场与粒子到场点方向(er)垂直,且磁场与电场互相垂直,如图所示。

辐射场的大小与带电粒子的加速度成正比,与场点与带电粒子的距离成反比,总辐射能量可以传播到任意远处。对于低速运动带电粒子,其加速时激发电偶极辐射,辐射在与加速度方向垂直的方向上强度最强;对于高速运动带电粒子,辐射能量集中于沿速度方向的某一锥角范围内,当加速度方向与粒子速度平行时,辐射功率与粒子能量无关;但当加速度与粒子速度垂直时,辐射功率与粒子能量成反比,这对于电子加速器的结构有重要指导意义。

By 勿用

本期答题团队:
物理所   哈士奇不是狗、勿用
写下您的问题,下周五同一时间哦~

↓识别下方二维码快速提问↓

上期也精彩
为什么触电的时候会被吸住?| No.132

编辑:望江楼
近期热门文章Top10
↓ 点击标题即可查看 ↓
1. 日本数学鬼才的幻象魔术,千万人已看瞎
2. 这场意外里,安卓手机毫发无伤,苹果设备居然近乎全灭
3. 学物理的,随时随地都能把天聊死
4. 微博一个假测试,让全网网民都压力过大了?
5. 你现在还不知道的地铁上广告的原理,居然和两百年前的发明有关系
6. “我对普通的人类没有兴趣,你们只要能求出超排列的准确公式,就尽管来找我吧!以上”
7. 到底几点睡觉才算是熬夜?
8. 一幅图读懂量子力学(下)
9. 数学和物理太难?这些动图让你秒懂抽象概念
10. 癌细胞既然可以无限增殖,岂不是可以用来做口粮?| No.129
点此查看以往全部热门文章

到顶部