锂电知识必备(6)——锂离子迁移数



这是该锂电知识必备系列文章的第六篇,希望大家可以持续关注。
离子迁移数是用来评价离子迁移能力的参数。
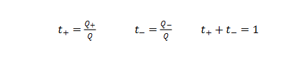
电解质作为锂电池的重要组成部分,在正/负极之间起着离子传输的作用。其中,对于电解质而言,无论是液态还是固态电解质,迁移数都是评价其离子传输能力的一种重要参数。与另一个重要参数不同的是,电导率评价的是全部离子的传输,尤其对于液态电解质来说(电池工作时,除了锂离子的传输外,有机阴离子也参与了传输),而离子迁移数评价的是体系中某一种离子的迁移能力,一般用该离子占体系中所有离子总数的比值来表示。可用以下公式来表示:

其中,Q为总电量,Q+为正离子迁移的电荷量,Q-为负离子迁移的电荷量。
当然,对于液态或者聚合物电解质体系(无机固态电解质的锂离子迁移数=1)的锂电池,很难直接得到电池系统中阴阳离子的迁移量。
恒电位极化法
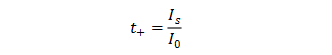
恒电位极化法又称稳态电流法,是一种计算锂离子迁移数的方法。该方法组装的电池结构为Li/电解质/Li对称电池结构。对所测对称电池施加小而恒定的电势差ΔV(一般为10 mV左右),同时记录电流随时间的变化。初始状态下,电池系统中所有可迁移的例子均对电荷传输有影响,此时I0(初始电流)最大。随着极化的进行,在电池内部逐渐形成稳定的离子浓度梯度,阴离子迁移被抑制,电池体系的电流由阳离子(即锂离子)贡献,记录此时的电流Is(稳态电流)。此时的锂离子迁移数可以用以下公式表示:

上式未考虑电阻对体系中电流的影响,鉴于此,Bruce和Vincent重新定义了I0和Is,用下面两个公式表示:

其中,k为体系常数,ơ为电解质的电导率,R0el和Rsel分别为极化前后电极与电解液的界面阻抗。最后整理可得:


锂离子迁移数测试结果图(图片来源:王蓉蓉等论文截图)
关于锂离子迁移数的测试问题:
1.为什么采用锂-锂对称电池?
答:首先,测试的离子是锂离子,所以要采用锂电极;其次,选用对称电池结构可排除电极间的差异带来的影响。
2.测试时需要注意的事项?
答:测试锂离子迁移数时,至少要测3组以上的平行样,此时就要保证电池的一致性,还包括测试过程中的静置时间或测试间隔时间等问题。
3.锂离子迁移数高意味着什么?
答:锂离子是锂电池唯一参与传递迁移的阳离子,阳离子迁移数高说明阴离子迁移数就低。高的离子迁移数有利于降低充放电过程中的浓差极化。高的锂离子迁移数有利于快充。
提高锂离子迁移数的方法:
1.在电解液中添加小分子溶剂,这有利于提高锂离子的溶解度,从而提高其在电解液中的浓度。
2.采用高浓度锂盐。
3.添加纳米颗粒等去固定电解质中的阴离子。
最后,测试锂离子迁移数的方法不止上述一种,大家可参考相关文献选用合适的锂离子迁移数测试方法。
本文参考文献:王蓉蓉,朱振东,彭文.恒电位极化法测量LiPF6基电解液离子迁移数[J].电池工业,2020,24(06):283-287.
活动预告
NEW



往期热点推荐
(点击链接阅读)
☞又一汽车巨头即将使用磷酸铁锂(刀片)电池!
☞观点:为什么宁德时代的竞业协议会上热搜?
☞19家企业/理想汽车领投!欣旺达获24.3亿增资!
☞千亿电动自行车锂电市场迎来强制性国家标准!
☞重磅!“十四五”储能规划出台!
☞宁德时代增资负极材料“新星”,持股35%!
☞第二次起火!全球最大储能电站事故不断!
☞又一锂电材料企业IPO过会!
☞锂电设备龙头董事长遭证监会立案调查
☞1月电池装机量出炉!中创新航再创佳绩
报料及投稿 | editors@ofweek.com
  广告及商务合作 | 焦小姐:19168597392/0755-83279005-870

加入锂电行业交流群
长按二维码,备注“姓名-公司-岗位”申请入群。
戳“阅读原文”报名参加OFweek 2022锂电池(动力&消费)产业大会
到顶部