继续操作前请注册或者登录。

宇宙最高温为1.4亿亿亿亿℃,为何最低温却只有-273.15℃?


宇宙的浩瀚和神秘是我们人类想象不到的,虽然我们的科技已经发展到如今的程度,但我们对宇宙的探索也不过算得上是“初出茅庐”的水平。
截止到现在,我们就连离开地球都压力巨大,而离开太阳系探索更深层次的宇宙深空,也就仅限于在脑海中想想了……

温度大概是宇宙中最神秘的“现象”之一,说起来你可能会感到不可思议,目前科学家已经通过科学手段推算出了宇宙中两个温度的极端,宇宙最高温和最低温的数值。
根据推算,宇宙最高温的数值为1.4亿亿亿亿摄氏度(普朗克温度),而宇宙最低温的数值则仅有-273.15摄氏度(绝对零度)。

那问题来了,宇宙这两个极端温度的数值究竟是如何得到的?又为什么宇宙最高温度为1.4亿亿亿亿摄氏度,最低温度却只有-273.15摄氏度呢?
普朗克温度
大川先来跟大家聊一下宇宙的最高温度,也就是普朗克温度。不过在此之前,大家还需要先弄清楚另一个概念,那就是光速。

光速简单理解就是光在真空中的传播速度,约为30万千米每秒,这是目前科学界公认的最快速度,任何有质量的物体都不可能达到甚至超过这个速度。
因为根据爱因斯坦提出的狭义相对论动能公式,当有质量的物体速度达到光速时,维持它运动的能量也就趋近于无限大,这在现实中是不可能实现的。

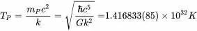
在普朗克温度的计算公式中,普朗克温度正是基于光速计算出来的。

普朗克温度推算公式
这个数值也正是大川在前面提到的1.4亿亿亿亿摄氏度。在这样的温度之下,任何物质元素都将化为“灰烬”,而它也因此被定义为了理论上的宇宙最高温度。
宇宙大爆炸
而根据科学家的推测,普朗克温度曾在宇宙中出现过一次,这一次同样也是它唯一出现的一次,那就是宇宙大爆炸发生的瞬间。

根据现代最流行的宇宙学说,我们身处的整个宇宙,在最初的时候其实只是一个奇点。在这个奇点发生爆炸(宇宙大爆炸)后,喷发出的气体尘埃,在经过数亿年的时间,最终演化成了我们现在看到的宇宙中的一切。
而在宇宙大爆炸发生的第一个瞬间,也就是第一个单位普朗克时间(10^-43秒),爆炸中心的温度就达到了普朗克温度。

基于此,现代科学界也就普遍认为,任何比这个温度更高的温度是没有任何意义的,起码在我们生存的这片宇宙中,是没有任何意义的。
绝对零度
跟普朗克温度相反的另一个极端温度,也就是被称作绝对零度的宇宙最低温度。

绝对零度的温度数值非常精确,为-273.15摄氏度,这个数值同样也是科学家通过公式推导出来的。
在中学时期,我们曾接触过一个简单的物理方程——理想气态方程。

理想气态方程,r=R/M
根据理想气态方程,通过外推的方式我们可以得知,当温度降低至-273.15摄氏度的时候,气体的体积或者压强就将减小到0,无法再继续下降。
因此,-273.15摄氏度也就是低温的极限。

绝对零度的温度图线
而基于理想气体分子平均动能跟温度的关系,当温度降低至-273.15摄氏度时,气体分子的平均动能也将降低至0。
此时此刻,所有气体分子都将停止运动,你可以理解为这些气体分子被完全“冻结”了。

也正是因此,绝对零度实际上是非常可怕的存在,在这样的温度之下,世间的一切都将被彻底冻结,并且这里的冻结是从最基础的原子意义上来说的……
回飞棒星云
目前科学家在宇宙中发现的最低温度,来自于距离地球5000光年远的半人马座方向的回飞棒星云(Boomerang Nebula)。

回飞棒星云
回飞棒星云的温度仅有-272摄氏度,比绝对零度只高出了1.15摄氏度,这比宇宙背景辐射温度(可以理解为宇宙真空的温度,-270.42摄氏度)还低。
之所以它的温度会如此之低,这跟它的中心星持续以60万公里每小时高速喷发云气、尘埃有关。

由于它的中心星本身就处于濒死的状态,温度非常低。而在持续喷发云气、尘埃的过程中,随着这些气体尘埃的极速膨胀,温度也就降了下来。
写在最后
前面,大川提到了宇宙微波背景辐射温度,由此也衍生出了一个非常有意思的现象。

举例来说,太阳表面的温度高达5500摄氏度左右,在这种温度下,就连远在1.5亿公里外的地球都能被“烤热”,但是太阳附近的宇宙真空环境温度,却是接近于绝对零度的宇宙微波背景辐射温度。
这种现象产生的原因,究竟是什么呢?
到顶部