【干货】“ 座 椅- 人”系统动力学与乘坐舒适性


人因振动工程与座椅动态舒适性研究内容与应用

【01-座椅动态舒适性与试验评估】
运用史蒂文斯幂定律( Stevens power law) 或其它方法,通过实验室一系列精心设计的人体振动试验,建立主观响应(ψ)与客观物理量(φ)之间的关系

再通过数据处理和统计分析得出等舒适性曲线和频率加权函数。

等舒适性曲线 Equivalent comfort contours

振动舒适性的主观评估:频率加权曲线

振动舒适性的客观评估
• 频率加权函数与方向乘子
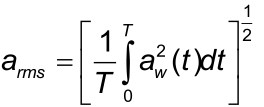
• 加权加速度均方根值

• 振动剂量

• 座椅传递函数

• 座椅有效幅值传递率(SEAT)

HVLab车辆平顺性与舒适性测试、分析与评估专用软硬件系统:信号测试(硬件)

HVLab车辆平顺性与舒适性测试、分析与评估专用软硬件系统:分析与评估(软件)

车辆座椅试验标准  Vehicle seat test standards

汽车 “座椅-人” 动态系统加速度传递函数测试Seat transmissibility with subject

工程机械、商用车、大巴司机座 椅动态性能评估试验 验Performance test for suspension seats vs ISO 7096、EN 13490 standards

轨道车辆座椅动态性能评估试验Performance test for train seats vs ISO 10326-2 standard

【02-人体动力学研究】
人体机械阻抗或显示质量的测试与分析Methods of measuring apparent mass and impedance



人体动力学:人体传递函数的实验室测试分析

人体动力学:动态假人的开发

人体动力学建模分析

人体动力学:建模分析(有限元方法)

【03-座椅动力学研究】
座椅静态、动态刚度测试与分析

座垫软硬度测试与分析Load-deflection curves
➢Overall hardness of the seat cushion➢Hardness distribution on the cross-line of the seat cushion➢Hardness distribution on the centre-line of the seat cushion

座体加速度传递函数的测试与分析

座椅动态体压分布Dynamic pressure at seat and back

汽车座椅有限元建模座椅模型主要特点
■座垫和靠背海绵材料为非线性本构关系■弹性骨架支撑系统■座垫与靠背间和骨架之间由铰链联结■包含皮革蒙皮模型■包含各种接触单元■160261单元(壳、固体、梁、质量、弹簧等)■在LS-DANA软件平台上开发■骨架模型先通过试验模态分析校正■座椅模型再通过用假人测得的传递函数验证

座椅骨架的动态有限元分析

汽车座椅有限元模型的实验验证

汽车‘座椅-乘员’有限元CAE模型应用

商用车悬挂座椅动力学的试验研究

‘悬挂座椅-人’动力学的CAE建模优化设计

免责声明:
本文来源于网络,出于对原创的保护,转载的文章我们一般给与标注来源,转载目的是在于传递更多信息,并不代表本号赞同其观点和对其真实性负责。如涉及作品内容、版权和其它问题,请及时与我们联系,我们将在第一时间删除内容。
有任何问题可联系小编,微信:qcnwssj
 
到顶部