继续操作前请注册或者登录。

补锂或能预防痴呆!剑桥陈善全团队发现,锂使用与患痴呆症风险下降44%,患阿尔茨海默病风险下降45%有关丨临床大发现



阿尔茨海默病是第一大神经系统退行性疾病,目前仍没有有效的治疗手段。
近日,英国剑桥大学的陈善全团队在《公共科学图书馆·医学》杂志上发表的一项回顾性队列研究,让我们看到一线新希望[1]。
陈善全团队发现,短期和长期使用锂盐(有相关药物)与痴呆症及其亚型的发生风险降低有关。具体来说,锂使用与患痴呆症风险下降44%有关,与患阿尔茨海默病(AD)风险下降45%有关,与患血管性痴呆(VD)的风险下降64%有关。
这意味着,锂盐有望成为AD等痴呆症的一种潜在治疗方法。

论文首页
痴呆症是一类慢性进行性认知障碍综合征,而非一种特定的疾病,最常见的类型是AD、VD、路易体痴呆症以及额颞叶痴呆症[2]。
2015年全球患有痴呆症的人数高达约4700万人,预计到2050年这一数字将增加两倍。痴呆症也是西方老年人口死亡和残疾的主要原因,据估计,美国有550万65岁以上的成年人患有AD[3]。
虽然大多数痴呆症目前仍无法彻底治愈,但采取预防性干预措施以适度延缓痴呆症发作,能最大限度地提高痴呆症患者及其家人的生活质量,而且对公共卫生健康也具有重大意义。
锂剂不仅可以改善人体造血功能,提高人体免疫机能,还能调节中枢神经活动,发挥镇静、安神、神经保护和控制神经紊乱的效果[4-6]。两项荟萃分析及一项随机对照试验打开了抗痴呆治疗的新大门,研究表明,锂对轻度认知障碍(MCI)和AD患者的认知表现具有积极影响[7-9]。

然而,目前尚不清楚锂发挥神经保护的作用机制,也没有确切证据证实锂能延缓痴呆发作。
基于此,陈善全团队采用回顾性队列研究,探究了锂的使用与痴呆症及其亚型发病率之间的相关性,并对潜在的混杂因素进行了分析。此外,他们还通过锂治疗的持续时间评估了相关程度。
回顾性队列研究的数据来自英国剑桥郡和彼得堡NHS基金会信托(CPFT)的电子临床记录。陈善全团队选定了2005年1月1日至2019年12月31日期间的数据,并规定符合条件的患者年龄须在50岁或以上且至少进行了1年随访,但不包括在开始日期之前或之后不到1年内被诊断为MCI或痴呆症。
他们将使用锂的患者队列定义为Li +组,未使用锂的患者队列定义为Li −组。Li +组锂盐使用的平均水平为0.61 mM,四分位数范围为0.49−0.80 mM。

研究流程示意图
筛选后,研究员们跟踪随访了548名使用锂(Li +)的患者和29070名未使用锂(Li −)的患者,各队列的平均随访时间为4.8年和4.3年。
在年龄(p = 0.0857)、性别(p = 0.760)以及酒精相关疾病(p = 0.8666)等方面,两组之间没有观察到显著差异。
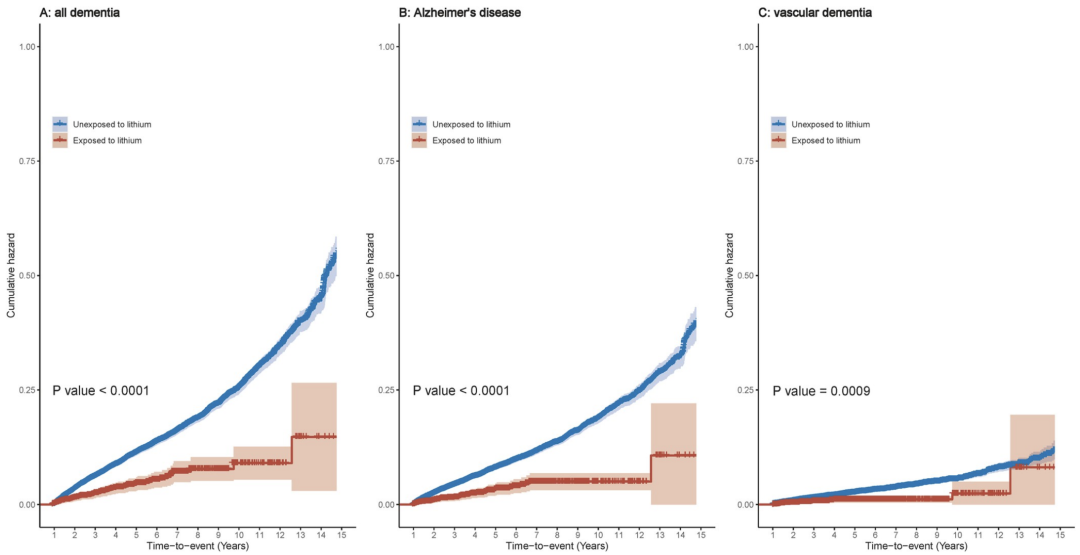
经诊断,Li +队列中出现了53位(9.7%)患有痴呆症的患者,其中,36名(6.8%)患有AD,13名(2.6%)患有VD。统计结果显示,锂使用者患有痴呆及其亚型的累积危害显著降低(p ≤ 0.0009)。

锂使用者与非使用者痴呆及其亚型的累积风险
在纳入社会人口统计学因素、吸烟状况、其他药物使用、其他精神合并症以及身体合并症等混杂因素后,研究人员发现,锂使用与痴呆症风险下降44%有关(HR = 0.56,p = 0.0006),与患AD风险下降45%有关(HR = 0.55, p = 0.0033),与患VD的风险下降64%有关(HR = 0.36,p = 0.002)。

锂使用与痴呆症及其亚型发生风险相关性研究的HRs、95% CI及p值
通过分析锂使用的持续时间,研究员们发现,短期使用锂(≤1年)和长期使用锂(>5年)均与痴呆症及其亚型发生风险的降低有关。但持续使用锂1−5年对干预痴呆的影响并不显著。

锂使用时间与痴呆症及其亚型发生风险相关性研究的HRs、95% CI及p值
最后,陈善全团队开展了敏感性分析,以确保结果的一致性,从而减少潜在的偏差。敏感性分析的所有结果均证实了上述结论,即锂使用与痴呆及其亚型(AD和VD)发生风险降低有关,且在短期使用(≤1年)和长期使用(>5年)中效果较为明显。
综上所述,陈善全团队通过开展对综合临床记录数据库的回顾性队列研究,发现短期和长期使用锂盐与痴呆及其亚型(AD和VD)的发生风险降低有关,进一步证明锂盐有望成为一种改善痴呆症的新兴疗法。
然而,锂盐是双相情感障碍(BPAD)的首选治疗方法。在应用于抗痴呆治疗之前,还需开展大规模随机试验证实它的治疗效果。

参考文献
1.Chen S, Underwood BR, Jones PB, et al. Association between lithium use and the incidence of dementia and its subtypes: A retrospective cohort study. PLoS Med. 2022;19(3): e1003941.
2.Oh ES, Rabins PV. Dementia. Ann Intern Med. 2019;171(5): ITC33-ITC48.
3.Livingston G, Huntley J, Sommerlad A, et al. Dementia prevention, intervention, and care: 2020 report of the Lancet Commission. Lancet. 2020;396(10248):413-446.
4.Gildengers AG, Butters MA, Aizenstein HJ, et al. Longer lithium exposure is associated with better white matter integrity in older adults with bipolar disorder. Bipolar Disord. 2015;17(3):248-256.
5.Lyoo IK, Dager SR, Kim JE, et al. Lithium-induced gray matter volume increase as a neural correlate of treatment response in bipolar disorder: a longitudinal brain imaging study. Neuropsychopharmacology. 2010;35(8):1743-1750.
6.Hampel H, Lista S, Mango D, et al. Lithium as a treatment for alzheimer's disease: the systems pharmacology perspective. J Alzheimers Dis. 2019;69(3):615-629.
7.Velosa J, Delgado A, Finger E, et al. Risk of dementia in bipolar disorder and the interplay of lithium: a systematic review and meta-analyses. Acta Psychiatr Scand. 2020;141(6):510-521.
8.Matsunaga S, Kishi T, Annas P, Basun H, Hampel H, Iwata N. Lithium as a Treatment for Alzheimer's Disease: A Systematic Review and Meta-Analysis. J Alzheimers Dis. 2015;48(2):403-410.
9.Forlenza OV, Radanovic M, Talib LL, Gattaz WF. Clinical and biological effects of long-term lithium treatment in older adults with amnestic mild cognitive impairment: randomised clinical trial. Br J Psychiatry. 2019;215(5):668-674.


责任编辑丨BioTalker
到顶部