《自然》子刊:阿尔茨海默病疫苗获重要进展!临床II期试验表明,Tau蛋白疫苗可抑制进展性标志物增加,或能延缓AD进展丨临床大发现



近日,阿尔茨海默病(AD)的治疗性疫苗研发获得重要进展。
来自Axon Neuroscience的Petr Novak团队,在Nature Aging杂志发表了一项重要的II期临床研究数据[1]。
他们发现,针对AD患者体内异常Tau蛋白的疫苗AADvac1,在人体中的安全性良好,可以诱发高水平靶向Tau蛋白的抗体反应,降低轻度AD患者脑脊液Tau蛋白水平,延缓AD进展标志物的增加。
尤其值得一提的是,它还可以在一定程度上缓解AD的病情。

论文首页
AD是一种常见的进行性神经系统退行性疾病。在美国,每九个65岁及以上的人里就有一个AD患者,共有超过600万的人受AD的困扰,AD协会预测这个数字到2050年将会上升至约1300万[2]。然而,迄今为止却仍缺乏有效治疗AD的方法。因此,研发有效治疗或者减缓AD病情的药物至关重要。
我们都知道,淀粉样蛋白(Aβ)和Tau蛋白是AD的两个病理性生物标志物[3]。很多治疗AD的药物都围绕这两个标志物展开。例如,前不久获得美国FDA审批上市的Aducanumab就是靶向淀粉样蛋白的抗体。不过,目前还没有靶向Tau蛋白的药物获批上市。
Tau蛋白是一种微管相关蛋白。正常情况下,Tau的磷酸化和去磷酸化处于一种动态平衡中,而异常的Tau磷酸化会导致Tau蛋白聚集形成寡聚体[4]。这种磷酸化的Tau蛋白不易被细胞内的蛋白酶降解,进而导致神经元细胞或胶质细胞受损[4]。
多项研究表明,Tau蛋白导致的神经纤维缠结的分布和数目,与AD患者脑区萎缩的严重程度和类型、临床症状,以及认知障碍和痴呆症密切相关[5-7]。此外,对患者大脑中Tau蛋白导致的神经纤维缠结的分布进行PET成像,可以用来预测脑萎缩程度和认知水平的下降速度[8,9]。

Tau蛋白的可怕之处在于其“传染性”,受累细胞的Tau蛋白聚集物能以游离或外泌体的形式分泌到细胞外,这些胞外的Tau蛋白聚集物以一种类似于朊病毒的方式蔓延,危及更多的神经元细胞或胶质细胞。
不过,“祸福相倚”,位于胞外也意味着这些蛋白聚集物更容易被药物靶向。基于此,研究人员们纷纷开始研发针对胞外Tau蛋白聚集物的疫苗或抗体,以降低胞外Tau蛋白聚集物从而缓解AD病情。Axon Neuroscience就是其中之一。
他们过去的研究发现,一种名叫DC8E8的单抗可以有效阻断异常Tau蛋白的聚集,降低神经元细胞对胞外Tau蛋白聚集物的内吞,并加强小胶质细胞对胞外Tau蛋白聚集物的清除[10-12]。
基于DC8E8抗体,他们开发了针对AD和其他Tau蛋白相关疾病的疫苗,即AADvac1。这个疫苗的原理是诱导机体产生特异性针对异常Tau蛋白的抗体。AADvac1的有效成分是一段按照Tau蛋白294-305号氨基酸序列设计合成的肽段,该肽段交联于免疫原——钥孔血蓝蛋白(KLH),佐剂为氢氧化铝。
这一治疗方案首先在大鼠身上得到了验证:它可以减轻AD的神经纤维缠结,并降低死亡率[13]。接着,在多种动物上的测试显示该疫苗安全性好,无不良反应事件。

他们既而在人体上开展了试验。首先,他们证实AADvac1治疗可以诱导高IgG抗体水平,甚至在老年人中亦是如此[14]。并且,AADvac1诱导出的抗体对多种神经退行性疾病的异常Tau蛋白都具有很高亲和性(相对于正常Tau蛋白),包括AD、帕金森病、皮质基底神经节退化症和进行性核上性麻痹症中所见的异常Tau蛋白[15]。
另外,一期临床试验表明该治疗方案的安全性较好,试验者的磁共振和认知评价结果显示出其具有一定程度上的保护作用[15]。
在前期研究的基础上,Petr Novak和他的同事发起了名为ADAMANT的随机、双盲、安慰剂对照、平行组二期临床试验,旨在更大受试者群体中探究该治疗方案的安全性和抗体诱导水平。
该试验招募的是经MRI和/或脑脊髓液生物标记物指标诊断为轻度阿尔兹海默病的患者。从2016年6月16日至2017年5月30日,共有196名患者参与到这项试验中。其中117名患者被分到AADvac1治疗组,79名分到安慰剂组。

研究流程
治疗组的患者先每月皮下接种AADvac1疫苗,共六剂;之后每三个月加强一次,共五剂。试验的最后一次随访是在2019年6月。在治疗的过程中有一些患者因一些原因退出了试验,最终163名患者完成了这项试验,其中 AADvac1 组共97名,安慰剂组共63名。
这项试验的主要终点是安全性,次要终点为AADvac1的免疫原性和AD的临床指标。除此之外,他们还将实验室指标纳入了这项研究,包括AD生物标志物水平(血浆内神经纤维蛋白轻链NfL,Tau蛋白生物标志物等)和神经影像学。

患者的基线信息
咱们先来看看试验的主要终点——安全性数据。
试验结果表明轻度AD患者对AADvac1疫苗具有较好的耐受性。两组出现的严重不良反应事件(SAE)无显著差异,安慰剂组24.1%(32次,19位)的患者出现严重不良反应,疫苗治疗组为17.1%(29次,20位患者)。
治疗组接种该疫苗导致的唯一突出的不良反应事件(AE)为注射部位反应(可恢复,治疗组47.0%,安慰剂组25.3%)。治疗组还出现个别患者意识模糊事件(治疗组6名,安慰剂组0名),不过绝大多数具有短暂性和自限性。
两组患者的实验室安全指标没有明显差异,包括血液学、凝血功能、化学指标和尿液常规。生命体征无明显变化,脑部MRI也没发现明显的血肿。治疗组和安慰剂组均有一些脑部微出血(治疗组为17.54%,安慰剂组为9.33%),但是无统计学差异。
虽然有两位患者在治疗过程中死亡,但数据安全监察委员会(DSMB)认为与此治疗方案无关。
再来看看试验的次要终点——免疫原性数据。
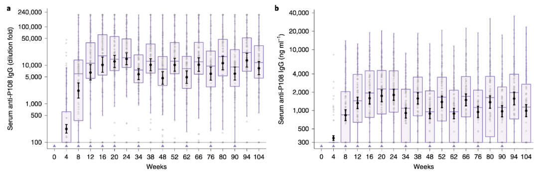
 AADvac1的免疫原性非常高,六剂(间隔为一个月)诱导的针对于Axon 肽段108(疫苗中的Tau抗原表位)特异性抗体IgG滴度高达1:17350。并且之后的加强剂(间隔为三个月)可以维持高抗体水平:在加强剂与加强剂期间,抗体滴度会下降至之前的52%,但加强剂可以有效将抗体滴度水平恢复至原来的水平。

血清内特异性抗体水平随时间的变化
总体来看,在接受AADvac1治疗的轻度AD患者中,有98.3%的患者被成功诱导出针对Tau蛋白的特异性抗体。患者脑脊髓液中也可检测到抗体,并与血清抗体水平呈正相关。该疫苗主要诱导机体产生IgG抗体,其中IgG1占64.97%,IgG2占0.22%,IgG3占18.8%,IgG4占0.04%。
在所测的患者中,92.3%患者体内产生的抗体为IgG1主导型。此外,年龄对AADvac1疫苗诱导的抗体滴度水平影响较小,虽然数据表明年轻患者对疫苗的反应更好一些。
更值得一提的是先前的研究表明疫苗诱发的抗体可有效结合脑组织中Tau蛋白聚集物[10],体外实验还表明这些抗体可以有效阻断神经元细胞对异常Tau蛋白的内吞[11]。

相比于对照组(DC51),DC8E8免疫疗法有效减少了小鼠脑内Tau蛋白寡聚体
至于次要终点的临床指标数据,该试验未能证明AADvac1可以改善或加重患者的认知障碍等临床指标。研究人员在讨论中提到这很可能是由于纳入的患者并非都有脑部异常Tau蛋白聚集物。
事后他们用一模型对所有患者进行模拟,发现有109位患者(93位完成试验)很可能兼有Aβ和Tau蛋白聚集。在这些患者中,CDR-SB和ADCS-MCI-ADL临床指标,以及血浆内NfL水平都有受到AADvac1 治疗的影响,意味着该治疗方案是可以在一定程度上改善病情的。

AADvac1免疫治疗可以减缓淀粉样病变和Tau蛋白聚集双阳性患者的病情
最后再来看看实验室指标。
这项试验表明AADvac1可以减缓血浆中NfL的增长——与两年内NfL上升了27.7%的安慰剂组相比,治疗组仅上升12.6%,为正常增长速度;因此相对于安慰剂组,治疗组NfL的上升速度减缓了58%。
患者脑脊髓液中生物标志物的测量结果则是:pTau217,pTau181以及总Tau蛋白水平都有下降趋势;淀粉样蛋白β1–40和神经颗粒蛋白仅有少量下降,淀粉样蛋白β1–42则无差异。

AADvac1治疗明显减缓血浆内NfL的上升
正如作者在讨论中所提到的,这项研究存在一些不足之处。比如试验招募患者的标准无法保证纳入的每一位患者都具有异常化Tau蛋白的聚集,这使得临床指标的直接结果不尽人意。
试验初期196位患者最终只有163名完成整个试验,导致可统计的样本数量不足,并且试验组和对照组并非具有相同样本量,这使得一些结果无法以有意义的方式呈现出来。因此,若能扩大试验的样本量并保证试验组和对照组相同样本量,该试验将会更有意义。
另外,该试验脑脊髓液中Tau蛋白的特异性抗体水平远低于血浆水平(参考原文extended data fig3)。考虑到Tau蛋白异常主要存在于脑内,因此研究如何通过不同的给药途径来提高此抗体在脑脊髓液中的水平是一个值得探求的问题。


参考文献:
[1] Novak P., Kovacech B., Katina S. et al. ADAMANT: a placebo-controlled randomized phase 2 study of AADvac1, an active immunotherapy against pathological tau in Alzheimer’s disease. Nat Aging. 2021; 1: 521–534. https://doi.org/10.1038/s43587-021-00070-2
[2] https://www.alz.org/alzheimers-dementia/facts-figures
[3] Bloom GS. Amyloid-β and tau: the trigger and bullet in Alzheimer disease pathogenesis. JAMA Neurol. 2014;71(4):505-508. doi:10.1001/jamaneurol.2013.5847
[4] Avila J. Tau phosphorylation and aggregation in Alzheimer's disease pathology. FEBS Lett. 2006;580(12):2922-2927. doi:10.1016/j.febslet.2006.02.067
[5] Whitwell JL, Dickson DW, Murray ME, et al. Neuroimaging correlates of pathologically defined subtypes of Alzheimer's disease: a case-control study. Lancet Neurol. 2012;11(10):868-877. doi:10.1016/S1474-4422(12)70200-4
[6] Nelson PT, Alafuzoff I, Bigio EH, et al. Correlation of Alzheimer disease neuropathologic changes with cognitive status: a review of the literature. J Neuropathol Exp Neurol. 2012;71(5):362-381. doi:10.1097/NEN.0b013e31825018f7
[7] Murray ME, Lowe VJ, Graff-Radford NR, et al. Clinicopathologic and 11C-Pittsburgh compound B implications of Thal amyloid phase across the Alzheimer's disease spectrum. Brain. 2015;138(Pt 5):1370-1381. doi:10.1093/brain/awv050
[8] La Joie R, Visani AV, Baker SL, et al. Prospective longitudinal atrophy in Alzheimer's disease correlates with the intensity and topography of baseline tau-PET. Sci Transl Med. 2020;12(524):eaau5732. doi:10.1126/scitranslmed.aau5732
[9] Mattsson-Carlgren N, Leuzy A, Janelidze S, et al. The implications of different approaches to define AT(N) in Alzheimer disease. Neurology. 2020;94(21):e2233-e2244. doi:10.1212/WNL.0000000000009485
[10] Kontsekova E, Zilka N, Kovacech B, Skrabana R, Novak M. Identification of structural determinants on tau protein essential for its pathological function: novel therapeutic target for tau immunotherapy in Alzheimer's disease. Alzheimers Res Ther. 2014;6(4):45. Published 2014 Aug 1. doi:10.1186/alzrt277
[11] Weisová P, Cehlár O, Škrabana R, et al. Therapeutic antibody targeting microtubule-binding domain prevents neuronal internalization of extracellular tau via masking neuron surface proteoglycans. Acta Neuropathol Commun. 2019;7(1):129. Published 2019 Aug 7. doi:10.1186/s40478-019-0770-y
[12] Zilkova M, Nolle A, Kovacech B, et al. Humanized tau antibodies promote tau uptake by human microglia without any increase of inflammation. Acta Neuropathol Commun. 2020;8(1):74. Published 2020 May 29. doi:10.1186/s40478-020-00948-z
[13] Kontsekova E, Zilka N, Kovacech B, Novak P, Novak M. First-in-man tau vaccine targeting structural determinants essential for pathological tau-tau interaction reduces tau oligomerisation and neurofibrillary degeneration in an Alzheimer's disease model. Alzheimers Res Ther. 2014;6(4):44. Published 2014 Aug 1. doi:10.1186/alzrt278
[14] Novak P, Schmidt R, Kontsekova E, et al. Safety and immunogenicity of the tau vaccine AADvac1 in patients with Alzheimer's disease: a randomised, double-blind, placebo-controlled, phase 1 trial. Lancet Neurol. 2017;16(2):123-134. doi:10.1016/S1474-4422(16)30331-3
[15] Novak P, Schmidt R, Kontsekova E, et al. FUNDAMANT: an interventional 72-week phase 1 follow-up study of AADvac1, an active immunotherapy against tau protein pathology in Alzheimer's disease. Alzheimers Res Ther. 2018;10(1):108. Published 2018 Oct 24. doi:10.1186/s13195-018-0436-1


责任编辑丨BioTalker
到顶部