北大扫地僧数学老师韦东奕爆红全网,哈佛为他免试英语却遭其拒绝



最近一段时间,由于高考临近,很多人在网上为高考学子们加油打气儿,一条来自北大数学老师的视频爆火网络,在视频当中的这位其貌不扬的男生,自称来自山东是北大的老师,他是北京大学数学系的10级本科生,14级研究生,高中数学联赛的山东省冠军被保送北大,这位拿着矿泉水瓶和两个包子的说话还有点儿结结巴巴的男生,没想到却是人们意外发现的北大超级扫地僧。

他是在数学领域创造过独一无二成就的数学天才,被称为当今陈景瑞的接班人,几十年难得一遇的超级数学天才雷神韦东义。1991年出生于山东高知识分子家庭的韦东奕父亲是大学数学教授,而当别的学生在他这个年纪还在玩泥巴的时候,他却整天抱着家里的数学书籍,看得出神而和父亲的相处,如果闲着无聊,两个父子就会闲着没事儿解题玩儿一玩儿。

 
小学一年级的微动力就看上了许多人一生可能都达不到高度的书籍,华罗庚数学学校,并对这本书当中的题目产生了浓烈的兴趣。初二那一年因为自己过于优异的数学天赋,韦东义被邀请加入山师附中的奥数训练队和高中生们训练。从高一开始入选数学奥林匹克国家集训队的韦东奕就开始了封神传说,集训期间8次大考,每次4小时三道题。
 
每一道题都难出天际,更别说在4个小时内完成三道题,但是韦东奕就是那个神奇的伪神,24道题他创记录般的完成了23道半,连教练都叹为观止,甚至于经常在考试刚开始的一个小时他就捡完了所有的题目,有些方法更是连标准答案都没有他那么简洁方便被称为韦氏方法。而教练们更是会仔细观察韦东义在解题时的状态,每次做完题的为动力就仿佛进入了平行时空,左手握钢笔,右手握铅笔,双臂悬于高空,身体上下起伏仿佛进入了另一个平行的时空。

 
 Imo堪称是国际数学奥林匹克大赛是五大学科当中含金量最高的比赛。而难度超高的比赛更是让许多天才选手望而却步,但是韦东奕却在第4~9届国际奥数学奥林匹克大赛上获得了满分,要知道那一年全世界500多名顶级的数学选手,只有三个人拿到了满分,而韦东奕就是那三个人,其中的一个可以说为栋11出现,在人们面前就站上了世界,第7间为了举世瞩目的数学天才。 
当年难度最大的压轴平面几何题韦东义竟然用纯代数方法解出。它奇妙的解题思路,更是让国家队副领队花三个小时才解出。而韦东奕曾经用1:7的时间比,击败了7岁自学微积分,12岁拿到国际数学奥林匹克竞赛金牌,数学竞赛传奇陶哲轩。韦东义的不懂事至今成为了后世瞻仰的典范,韦东义曾经给数学天才聂子佩出题,而聂子佩的解答更是令许多人看不懂北大数学系还有一个名字叫北京大学四大疯人院之首,要知道北大的代码是10001全国所有高校排第一,北大数学系的编号是01,在全校的所有专业当中排第一,而北大数学院的天才怪才云集。韦东奕毫无疑问是北大数学院扫地僧排名首位的行叭,

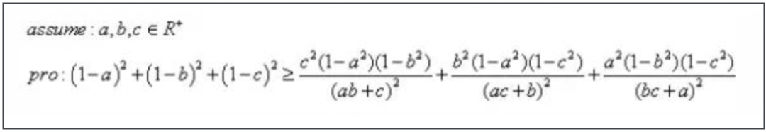
这是韦东奕出给“聂神”——数学天才聂子佩的题目


而这是网传聂子佩的解答 
至今全北大都流传着为东翼的传说,曾经有一次习题课由韦东奕讲课,他讲完之后许多同学表示没听懂,想要让教授再讲一遍,而教授却微微一笑说对不起,我也没有听到。有一次在韦东奕担任助教的一门课程当中,教授向大家介绍韦东奕,如果有不会的习题可以问我,如果不会我不会可以让韦东义给大家解释,如果连唯东译都不会,那肯定就是题目错了。在韦东奕名声大噪的莫过于大三那一年他在修成桐数学竞赛当中碾压般的表现,要知道倾城桐数学竞赛光是考察范围,就有58本书,涵盖内容是清华北大数学系教材的三倍。对于很多数学天才来说,即使是开学考试题目也非常的难,但韦东奕竟然把这58本书全部钻研透了,拿下了5项想在当中的4项金牌,一己之力,碾压了所有的清华和中国科技大学的对手,于是从此之后,伟神和韦教主的关怀让韦东义在各种人们的传送当中被逐渐妖魔化,人们传言他孤傲自大,不喜与人交流,1月才洗一次澡,但其实看似孤傲的他只不过是更加喜欢数学沉溺于此,仅此而已,他也是一个正常人,除了他的数学能力太过于强。
 
他也是一个十分善良的人在评,听到别人夸赞之时,他总是谦虚的表示没有,并不是这样表扬其他人,你也很厉害真有水平,他也会虚心的听别人问自己问题,然后把别人的问题善于解答,她喜欢去别的同学的寝室闲逛,看一看有没有自己喜欢的书玩,狼人杀时永远不会撒谎,只因自己善良。因为她不喜欢杀生,所以从来不吃肉,因为他觉得纯净水的制作过程十分的污染环境,所以他会步行10多分钟去打开水。2014年,魏东毅优异成绩,北大毕业,而哈佛为了招来这位数学天才,甚至愿意为他打破校规规定,如果韦东玉愿意来哈佛,可以直接免掉英语的考试,但是韦冬玉却拒绝了哈佛的邀请,在北大继续工作,2019年成为了北大数学系的助理教授。 
如今的韦东义已经转型做科研,在诸多的国际一流影期刊上发表了25篇论文,他的二维不可压缩欧拉方程的线性阻力问题已经取得了重要的研究成进展,被国际顶尖的数学期刊发表,韦东义因此荣获了许多的国家奖学金,韦东义的优秀让许多的数学教授感觉到有些害怕,毕竟自己发表的一些结论,如果发到网上之后,韦东义寻找到了更加简化的方法和结果,会让自己感觉到丢脸。唯东艺的传说依然还在江湖里流传,而人们也不要太过于去打扰科研人员的日常生活,毕竟如同总书记所提倡的那样还是得减少科研人员们将自己的精力放在这些迎来送往和普通的接受采访之上,将更多的精力放在科研之上,才是对于科研人员最大的保护,正如韦冬玉最后视频所说,欢迎大家来到北京大学,也希望更多的数学天才能来到北大,一起去钻研数学世界的精彩。
到顶部