Graphviz: 强大的图形可视化工具


什么是Graphviz?
Graphviz是一个开源的图形可视化工具集,旨在帮助用户生成各种类型的图形。它提供了一组命令行工具和库,使我们能够通过简单的文本描述来创建复杂的图形。Graphviz的核心原理是将图形的结构和布局信息以文本的形式输入,然后利用其强大的算法和引擎来自动生成视觉化图形。

Graphviz的特点和优势
Graphviz具有许多令人赞叹的特点和优势,让我们来一一介绍它们:
易于使用:Graphviz使用简单的文本描述来表示图形,使得用户无需深入了解图形的细节即可创建复杂的图形。只需几行简单的代码,就能生成令人印象深刻的图形。
丰富的图形类型:Graphviz支持多种图形类型,包括有向图、无向图、流程图、组织结构图、类图、网络拓扑图等等。无论是哪种类型的图形,都可以轻松地使用Graphviz生成。
灵活的布局算法:Graphviz提供了多种布局算法,可以根据图形的特点和需求进行选择。这些算法可以自动处理节点的位置、边的布局以及图形的整体结构,使得生成的图形具有良好的可读性和美观性。
跨平台支持:Graphviz是跨平台的工具,可以在多种操作系统上运行,包括Windows、Mac和Linux等。这使得开发者可以在不同的开发环境中使用Graphviz,享受到其强大功能的便利。
丰富的输出格式:Graphviz支持多种输出格式,包括常见的图片格式(如PNG、SVG、JPEG)和矢量图格式(如PDF、EPS)。这使得生成的图形可以方便地嵌入到文档、网页或演示文稿中。
可扩展性:Graphviz提供了丰富的API和插件机制,允许开发者根据自己的需求进行定制和扩展。无论是自定义布局算法、添加自定义样式还是集成到其他应用程序中,Graphviz都提供了灵活的扩展性。
使用Graphviz的示例
为了更好地理解Graphviz的强大之处,让我们来看一个简单的示例。
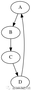
假设我们有一个包含多个节点和边的有向图,我们想要将其可视化。使用Graphviz,我们只需编写简单的文本描述,就可以生成图形。
以下是一个使用Graphviz生成有向图的示例代码:
digraph G { A -> B; B -> C; C -> D; D -> A;}
通过运行Graphviz命令行工具,我们可以将上述文本描述转换为图形:
dot -Tpng graph.dot -o graph.png
这个命令将使用Graphviz的dot工具将graph.dot文件转换为PNG格式的图像文件graph.png。
完成命令后,我们可以检查当前目录中是否生成了graph.png文件。如果生成成功,可以打开该文件,查看Graphviz生成的图像。如下:

到顶部