【AI】想训练ChatGPT?得先弄明白Reward Model怎么训(附源码)




来源:PaperWeekly
©作者:潘柯宇
研究方向:内容理解、信息抽取
随着最近 ChatGPT 的大火,越来越多人开始关注其中用到的 RLHF(Reinforcement Learning from Human Feedback)这一核心思想。 
使用强化学习(而非监督学习)的方式更新语言模型,最大的优势是在于能够使得「模型更加自由的探索更新方向,从而突破监督学习的性能天花板」。 
关于为什么使用 RL 技术能够达到更好的效果,可以参考下面这个视频中的例子(6:30 秒处):
在今天这篇文章中,我们将通过一个示例来完成利用「强化学习」更新「语言模型」的任务。

任务描述:利用RL训练一个好评生成器
我们设定一个任务目标:学习一个「好评生成器」。
模型接收一段 prompt,例如:刚收到货,感觉 
随即,让模型将这段话补全,例如:有点不符合预期,货物很差
prompt: 刚收到货,感觉output 1: 刚收到货,感觉 有 点 不 符 合 预 期 ,不 好output 2: 刚收到货,感觉 挺 无 奈 的 送 货 速 度 不 太 行..
在初始状态下,模型将没有任何偏好的生成答案,这意味着有可能生成一些差评(如上述例子)。
现在,我们将利用强化学习(PPO)的方式来对生成模型进行「好评生成」的训练。
每当模型生成一个句子,我们就给出一个相应的得分(reward),用于表征该条生成评论是否是「正向好评」,如下所示:
output 1: 刚收到货,感觉有 点 不 符 合 预 期 ,不 好                -> 0.2 分output 2: 刚收到货,感觉有 挺 无 奈 的 送 货 速 度 不 太 行          -> 0.1 分output 3: 刚收到货,感觉有 些 惊 喜 于 货 物 质 量                  -> 0.9 分...
随即,我们利用打出的 reward 对生成模型进行迭代。 
整个流程如下图所示:

▲ 基于 RL 的 LM 更新流程
引入判别模型代替人工打分
如果依靠人工为每一个输出打分,这将是一个非常漫长的过程。 
如果我们能找到一个判别模型:接收一个句子作为输入,输出这个句子是好评的概率。 
那么我们就可以直接利用这个判别模型的输出作为生成句子的 reward。 
因此,我们引入另一个「情绪识别模型」来模拟人工给出的分数。 
「情绪识别模型」我们选用 transformers 中内置的 sentiment-analysis pipeline 来实现。 
https://huggingface.co/uer/roberta-base-finetuned-jd-binary-chinese
该模型基于网络评论数据集训练,能够对句子进行「正向、负向」的情绪判别,如下所示:

▲ 「情绪识别」模型
我们利用该「情感识别模型」的判别结果(0.0~1.0)作为 GPT 生成模型的 reward,以指导 GPT 模型通过强化学习(PPO)算法进行迭代更新。

训练流程详解
2.1 生成采样(Rollout) 
生成采样阶段的目的是为了让当前模型生成一些采样结果。

▲ 生成采样示意图
为了保证生成句子的多样性,我们设定了一个 prompt 池,模型会从中随机选择一个 prompt 来进行答案生成:
# prompt池prompts = [    '刚收到货,感觉',    '这部电影很',    '说实话,真的很',    '这次购物总的来说体验很']...for _ in range(config['batch_size']):        random_prompt = random.choice(prompts)                                  # 随机选择一个prompt        tokens = gpt2_tokenizer.encode(random_prompt)        batch['tokens'].append(tokens)        batch['query'].append(random_prompt)query_tensors = [torch.tensor(t).long().to(device) for t in batch["tokens"]]...for i in range(config['batch_size']):    gen_len = config['gen_len']    response = gpt2_model.generate(query_tensors[i].unsqueeze(dim=0),           # 利用当前选择的prompt生成句子                                   max_new_tokens=gen_len, **gen_kwargs)    response_tensors.append(response.squeeze()[-gen_len:])
这一步之后,我们将获得一堆模型的生成结果:
[    '刚收到货,感觉 很 一 般',    '这部电影很 俗 而 且 很 无 趣',    '这次购物总的来说体验很 烂 不 是 我 想 要 的',    ...]
2.2 Reward 评估(Evaluation)
在获得了模型生成结果后,我们就可以利用「情感识别模型」进行打分了。
# 情绪识别模型初始化senti_tokenizer = AutoTokenizer.from_pretrained('uer/roberta-base-finetuned-jd-binary-chinese')senti_model = AutoModelForSequenceClassification.from_pretrained('uer/roberta-base-finetuned-jd-binary-chinese')sentiment_pipe = pipeline('sentiment-analysis', model=senti_model, tokenizer=senti_tokenizer, device=pipe_device)...texts = [q + r for q,r in zip(batch['query'], batch['response'])]           # 将 prompt 和生成的 response 做拼接pipe_outputs = sentiment_pipe(texts)                                        # 计算正向/负向情感得分

▲ Reward 评估示意图
执行上述代码后,得到每个句子的 reward 得分:
[    0.4,    0.3,    0.3,    ...]
2.3 模型迭代(Optimization)
模型迭代阶段我们会利用 PPO 进行模型参数的更新,更新代码只用一行:
ppo_trainer.step(query_tensors, response_tensors, rewards)          # PPO Update

▲ 模型迭代示意图
PPO 在更新时一共会计算 2 个 loss:pg_loss、value_loss:
loss_p, loss_v, train_stats  = self.loss(logprobs, values, rewards, query, response, model_input)loss = loss_p + loss_vself.optimizer.zero_grad()loss.backward()self.optimizer.step()...
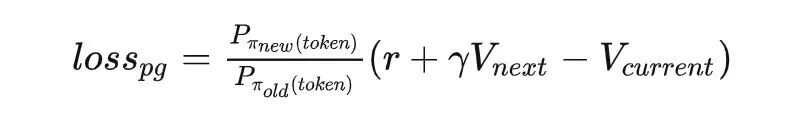
pg_loss
pg_loss 是 PPO 中 actor 的 loss 函数,其通过 discount reward 和 importance ratio 来计算当前 step 的 reward 应该是多少:

其中,importance ratio 是指产生同样的 token,在 active actor model 和 reference actor model 下的概率比值,这也是 PPO 模型中的 Importance Sampling 系数。
for t in reversed(range(gen_len)):    nextvalues = values[:, t + 1] if t < gen_len - 1 else 0.0    delta = rewards[:, t] + self.ppo_params['gamma'] * nextvalues - values[:, t]          # 优势函数:r + Vnext - V    lastgaelam = delta + self.ppo_params['gamma'] * self.ppo_params['lam'] * lastgaelam   # GAE, 用于平衡 bias 和 variance    advantages_reversed.append(lastgaelam)    advantages = torch.stack(advantages_reversed[::-1]).transpose(0, 1)logits, _, vpred = self.model(model_input)                                  # 跑一遍模型,得到句子中每个token被选择的概率logprob = logprobs_from_logits(logits[:,:-1,:], model_input[:, 1:])         # 将概率取log对数ratio = torch.exp(logprob - old_logprobs)                                   # log相减,等同于概率相除pg_losses = -advantages * ratio
value_loss
value_loss 是 PPO 中 critic 的 loss 函数,其目的在于评判每一个 token 被生成后的 value 是多少。 
这是因为在 PPO 中需要有一个 critic 网络,为了实现这个效果,我们需要对 GPT 模型进行改造。 
我们在 GPT 中加入一个 Value Head,用于将 hidden_size 向量映射到一个 1 维的 value 向量:
class GPT2HeadWithValueModel(GPT2PreTrainedModel):    """The GPT2HeadWithValueModel class implements a GPT2 language model with a secondary, scalar head."""    def __init__(self, config):        super().__init__(config)        config.num_labels = 1        self.transformer = GPT2Model(config)        self.lm_head = nn.Linear(config.n_embd, config.vocab_size, bias=False)        self.v_head = ValueHead(config)                                       # 添加 Value Head        self.init_weights()    ...class ValueHead(nn.Module):    """The ValueHead class implements a head for GPT2 that returns a scalar for each output token."""    def __init__(self, config):        super().__init__()        self.summary = nn.Linear(config.hidden_size, 1)                        # (hidden_size -> 1)    ...
value_loss 就应该等于 Value Head 产生的预测值 v_pred 和真实值 r + v_next 之间的差值:

returns = advantages + values                      # r + v_next - v + v => r + v_nextlogits, _, vpred = self.model(model_input)         # 跑一遍语言模型,得到每个 token 的 v_predvf_losses1 = (vpred - returns) ** 2                # MSE

实验结果
训练曲线图如下所示,可以看到随着训练推进,模型的 reward 由最早的0.68 -> 0.85 左右:

▲ 训练曲线图
在模型刚开始训练的时候,GPT 会生成一些比较随机的答案,此时的平均 reward 也不会很高,会生成一些「负面」情绪的评论(如下所示):

▲ 训练初期模型的生成结果
随着训练,GPT 会慢慢学会偏向「正面」的情绪评论(如下所示):

▲ 训练后期模型的生成结果
完整源码在这里:
https://github.com/HarderThenHarder/transformers_tasks/tree/main/RLHF

Reward Model
在上面的内容中,我们已经讲解了如何将强化学习(Reinforcement Learning)和语言模型(Language Model)做结合。
但是,示例中我们是使用一个现成的「情绪识别模型」来作为奖励模型(Reward Model)。 
在 ChatGPT 中,奖励模型是通过人工标注的「排序序列」来进行训练的,如下图所示:

▲ InstructGPT Reward Model 训练流程
这是什么意思呢? 
如上图所示,ChatGPT 并不是直接让人工去标注每一句话的真实得分是多少(尽管模型最终要预测的就是每句话的得分),而是让人去对 4 句话按照好坏程度进行「排序」。 
通过这个「排序序列」,模型将会学习如何为每一个句子进行打分。 
听起来很绕对吧?既然最终目的是训练一个句子打分模型,为什么不让人直接打分,而是去标排序序列呢? 
今天我们就来好好聊一聊这个非常巧妙的思想。 
视频讲解在这里:

「标注排序序列」替代「直接打分」
大家在曾经考语文的时候,都写过作文吧? 
而作文的分数也成为了整个语文考试中不确定性最大的环节。因为「打分」这个行为的主观性太强,同一篇作文不同的老师可能会打出不同的分数。 
为了统一打分标准,通常在阅卷的时候都会制定一系列的规则,例如:主题明确,语句通顺,句子优美等。但,即便如此,不同老师对「主题明确」和「句子优美」也有着不同的看法。这就导致我们很难统一所有老师的看法,使得不同人在看到同一篇作文时打出相同的分数。 
而标注员在给 ChatGPT 进行标注的时候,就可以看做有很多个「老师」在给模型写的作文「打分」。因此我们可以看出,直接给生成文本进行打分是一件非常难统一的事情。如果对于同样的生成答案,有的标注员打 5 分,但有的标注员打 3 分,模型在学习的时候就很难明确这句话究竟是好还是不好。 
既然打「绝对分数」很难统一,那我们转换成一个「相对排序」的任务是不是就容易许多呢? 
举例来讲,假设今天模型生成了 2 句话:
1. 香蕉是一种黄色的水果,通常长在树上,是猴子非常喜爱的水果。2. 香蕉很酸,富含矿物质元素。
如果让作业员去打分,可能不同人打出来不同的分:

但如果我们只让标注员对这两个答案进行好坏排序,就能得到统一的结果:


▲ 「绝对分数」难以统一

▲ 「相对排序」容易统一
不难看出,用「相对任务」替代「绝对任务」能够更方便标注员打出统一的标注结果。
那么,「统一」的问题解决了,我们怎么通过「排序序列」来教会模型「打分」呢?

Rank Loss —— 通过排序序列学会打分
假定现在有一个排好的序列:A > B > C >D。 
我们需要训练一个打分模型,模型给四句话打出来的分要满足 r(A) > r(B) > r(C) > r(D)。 
那么,我们可以使用下面这个损失函数:

其中,yw 代表排序排在 yl 的所有句子。 
用上述例子(A > B > C > D)来讲,loss 应该等于:
loss = r(A) - r(B) + r(A) - r(C) + r(A) - r(D) + r(B) - r(C) + ... + r(C) - r(D)loss = -loss
为了更好的归一化差值,我们对每两项差值都过一个 sigmoid 函数将值拉到 0 ~ 1 之间。可以看到,loss 的值等于排序列表中所有「排在前面项的reward」减去「排在后面项的reward」的和。 
而我们希望模型能够「最大化」这个「好句子得分」和「坏句子得分」差值,而梯度下降是做的「最小化」操作。因此,我们需要对 loss 取负数,就能实现「最大化差值」的效果了。 
更详细的解释可以参考下面这个视频中(14:55 秒)的例子:

实验结果
这一小节中,我们将尝试通过「排序序列」来学习一个「打分模型」。首先我们会先准备一份数据集,每一行是一个排序序列(用 \t 符号隔开)。排在越前面的越偏「正向情绪」,排在越后面越「负向情绪」。
1.买过很多箱这个苹果了,一如既往的好,汁多味甜~    2.名不副实。 3.拿过来居然屏幕有划痕,顿时就不开心了    4.什么手机啊!一台充电很慢,信号不好!退了!又买一台竟然是次品。1.一直用沙宣的洗发露!是正品!去屑止痒润发护发面面俱到!    2.觉得比外买的稀,好似加了水的    3.非常非常不满意,垃圾。   4.什么垃圾衣服,买来一星期不到口袋全拖线,最差的一次购物...
我们期望通过这个序列训练一个 Reward 模型,当句子越偏「正向情绪」时,模型给出的 Reward 越高。在 backbone 上,我们选用 ERNIE 作为基准模型,将模型的 pooler_output 接一层 linear layer 以得到一维的 reward:
class RewardModel(nn.Module):    def __init__(self, encoder):        """        init func.        Args:            encoder (transformers.AutoModel): backbone, 默认使用 ernie 3.0        """        super().__init__()        self.encoder = encoder        self.reward_layer = nn.Linear(768, 1)            # reward layer 用于映射到 1 维 reward    def forward(        self,        input_ids: torch.tensor,        token_type_ids: torch.tensor,        attention_mask=None,        pos_ids=None,    ) -> torch.tensor:        """        forward 函数,返回每句话的得分值。        Args:            input_ids (torch.tensor): (batch, seq_len)            token_type_ids (torch.tensor): (batch, seq_len)            attention_mask (torch.tensor): (batch, seq_len)            pos_ids (torch.tensor): (batch, seq_len)        Returns:            reward: (batch, 1)        """        pooler_output = self.encoder(            input_ids=input_ids,            token_type_ids=token_type_ids,            position_ids=pos_ids,            attention_mask=attention_mask,        )["pooler_output"]                              # (batch, hidden_size)        reward = self.reward_layer(pooler_output)       # (batch, 1)        return reward
计算 rank_loss 函数如下,因为样本里的句子已经默认按从高到低得分排好,因此我们只需要遍历的求前后项的得分差值加起来即可:
def compute_rank_list_loss(rank_rewards_list: List[List[torch.tensor]], device='cpu') -> torch.Tensor:    """    通过给定的有序(从高到低)的ranklist的reward列表,计算rank loss。    所有排序高的句子的得分减去排序低的句子的得分差的总和,并取负。    Args:        rank_rewards_list (torch.tensor): 有序(从高到低)排序句子的reward列表,e.g. ->                                         [                                            [torch.tensor([0.3588]), torch.tensor([0.2481]), ...],                                            [torch.tensor([0.5343]), torch.tensor([0.2442]), ...],                                            ...                                        ]        device (str): 使用设备    Returns:        loss (torch.tensor): tensor([0.4891], grad_fn=<DivBackward0>)    """    if type(rank_rewards_list) != list:        raise TypeError(f'@param rank_rewards expected "list", received {type(rank_rewards)}.')    loss, add_count = torch.tensor([0]).to(device), 0    for rank_rewards in rank_rewards_list:        for i in range(len(rank_rewards)-1):                                   # 遍历所有前项-后项的得分差            for j in range(i+1, len(rank_rewards)):                diff = F.sigmoid(rank_rewards[i] - rank_rewards[j])            # sigmoid到0~1之间                loss = loss + diff                add_count += 1    loss = loss / add_count    return -loss  
最终训练结果如下:
...global step 10, epoch: 1, loss: -0.51766, speed: 0.21 step/sglobal step 20, epoch: 1, loss: -0.55865, speed: 0.22 step/sglobal step 30, epoch: 1, loss: -0.60930, speed: 0.21 step/sglobal step 40, epoch: 1, loss: -0.65024, speed: 0.21 step/sglobal step 50, epoch: 1, loss: -0.67781, speed: 0.22 step/sEvaluation acc: 0.50000best F1 performence has been updated: 0.00000 --> 0.50000global step 60, epoch: 1, loss: -0.69296, speed: 0.20 step/sglobal step 70, epoch: 1, loss: -0.70710, speed: 0.20 step/s...

▲ loss、acc 曲线图
我们输入两个评论句子:
texts = [ '买过很多箱这个苹果了,一如既往的好,汁多味甜~', '一台充电很慢,信号不好!退了!又买一台竟然是次品。。服了。。']>>> tensor([[10.6989], [-9.2695]], grad_fn=<AddmmBackward>)
可以看到「正向评论」得到了 10.6 分,而「负向评论」得到了 -9.26 分。

标注平台
在 InstructGPT 中是利用对语言模型(LM)的输出进行排序得到排序对从而训练 Reward Model。如果想获得实现论文中类似的数据,在该项目中我们也提供了标注平台,可标注 rank_list 数据:

▲ Rank List 标注平台(详情可参考源码仓库)
好啦,以上就是 Reward Model 的全部内容,感谢观看。
完整源码在这里:
https://github.com/HarderThenHarder/transformers_tasks/tree/main/RLHF
相关阅读
【碳中和】珍藏版!22个国内外“碳中和”相关报告合集!
【工业机器人】全球工业机器人详细产业链梳理!
【智能制造】智能制造50大产业链全景图
【智能工厂】智能工厂如何快速落地
【工业技术】航空制造推动新概念机器人发展(上)
【工业技术】航空制造推动新概念机器人发展(下)
【新基建+人工智能生态】全网最火“新基建”生态图谱—人工智能篇(含40个细分领域厂商)
【AI】一文读懂人脸识别技术
【AI】解析 | 人工智能发展及技术架构
【报告】中国人工智能厂商全景报告(附PDF下载)
【AI】(收藏)从 A-Z 全面盘点人工智能专业术语梳理!
【AI】计算机视觉入门大全:基础概念、运行原理、应用案例详解
【AI】一文读懂机器学习、数据科学、人工智能、深度学习和统计学之间的区别
【智能仓储】一文带你彻底搞懂智能仓储!
【深度学习】12张高清思维导图,总结深度学习
【神经网络】给初学者们讲解人工神经网络(ANN)
人工智能的基础--知识分类
【AI产业链】120图勾勒全球AI产业完整图谱!
【AI】一文读懂人工智能产业链
【AI】中国人脸识别产业链全景图!
【AI】史上最全的人工智能(AI)产业链地图!
【芯片】国产芯片大全:70个细分领域代表企业
人工智能产业链深度透析—基础层
人工智能产业链深度透析-技术层
人工智能全产业链深度透析--(综合)
人工智能产业链深度透析—产业应用医疗篇
朱松纯 | 人工智能的现状、任务、构架与统一(上)
朱松纯 | 人工智能的现状、任务、构架与统一(中)
朱松纯 | 人工智能的现状、任务、构架与统一(下)
【AI】美国国家人工智能研发战略规划2019
【智慧农业】2018中国农牧家禽行业智慧养殖白皮书
【智慧农业】2019年智慧农业市场调研及前景研究报告(附PDF下载)
【智能家居】我国智能锁产业现状及未来发展趋势分析
【知识图谱】详解知识图谱关键技术与应用、AI图谱技术在知乎的应用实践、如何构建多快好省的“知识图谱即服务”
荐:
【中国风动漫】《姜子牙》刷屏背后,藏着中国动画100年内幕
【中国风动漫】除了《哪吒》,这些良心国产动画也应该被更多人知道!
【中国风动漫】《雾山五行》大火,却很少人知道它的前身《岁城璃心》一个拿着十米大刀的男主夭折!

声明
免责声明:部分文章和信息来源于互联网,不代表本订阅号赞同其观点和对其真实性负责。如转载内容涉及版权等问题,请立即与小编联系(微信号:913572853),我们将迅速采取适当的措施。本订阅号原创内容,转载需授权,并注明作者和出处。如需投稿请与小助理联系(微信号:AI480908961)
编辑:Zero



推荐关注↓↓↓

到顶部