2024湖北高考一分一段表(艺术类、体育类、技能高考)


点击↑上方蓝字在菜单栏戳【微信办事】【每日薅羊毛】【武汉靠谱招聘】查你想看的内容

宝子们,注意啦!
之前给大家分享了
普通类(首选物理&首选历史)
一分一段表
今天小编来给大家分享
技能高考、体育类、艺术类
一分一段表

湖北省2024年技能高考一分一段统计表
01
湖北省2024年技能高考
综合排序成绩一分一段统计表(本科)
(上下滑动查看↓)






图片来源:湖北省招办(下同)
02
湖北省2024年技能高考
综合排序成绩一分一段统计表(高职高专)
(上下滑动查看↓)






















武汉本地宝高考志愿填报院校检索“神器”
扫描下方二维码
关注武汉本地宝微信公众号

扫码

关注
后台对话框回复【学校代码+分数线】
即可查询该校历年分数线、
官网、地址等信息~
✅例如
要查询武汉大学历年分数线
关注武汉本地宝后,在聊天对话框输入
“10486分数线”
即可弹出武汉大学的基本信息
和历年分数线入口、招生简章
点击查看历年分数线,即可查看详情

湖北省2024年体育类一分一段统计表
01
湖北省2024年体育类
统考综合排序成绩一分一段统计表(本科)
(上下滑动查看↓)


02
湖北省2024年体育类
统考综合排序成绩一分一段统计表(专科)
(上下滑动查看↓)



湖北省2024年艺术类一分一段统计表
01
湖北省2024年表(导)演类
(戏剧影视表演、戏剧影视导演、服装表演)
综合排序成绩一分一段统计表(本科)
(上下滑动查看↓)










02
湖北省2024年表(导)演类
(戏剧影视表演、戏剧影视导演、服装表演)
综合排序成绩一分一段统计表(专科)
(上下滑动查看↓)












03
湖北省2024年播音与主持类
综合排序成绩一分一段统计表
(上下滑动查看↓)











04
湖北省2024年美术类、设计类
综合排序成绩一分一段统计表
(上下滑动查看↓)












05
湖北省2024年书法类
综合排序成绩一分一段统计表
(上下滑动查看↓)







06
湖北省2024年舞蹈类
综合排序成绩一分一段统计表
(上下滑动查看↓)








07
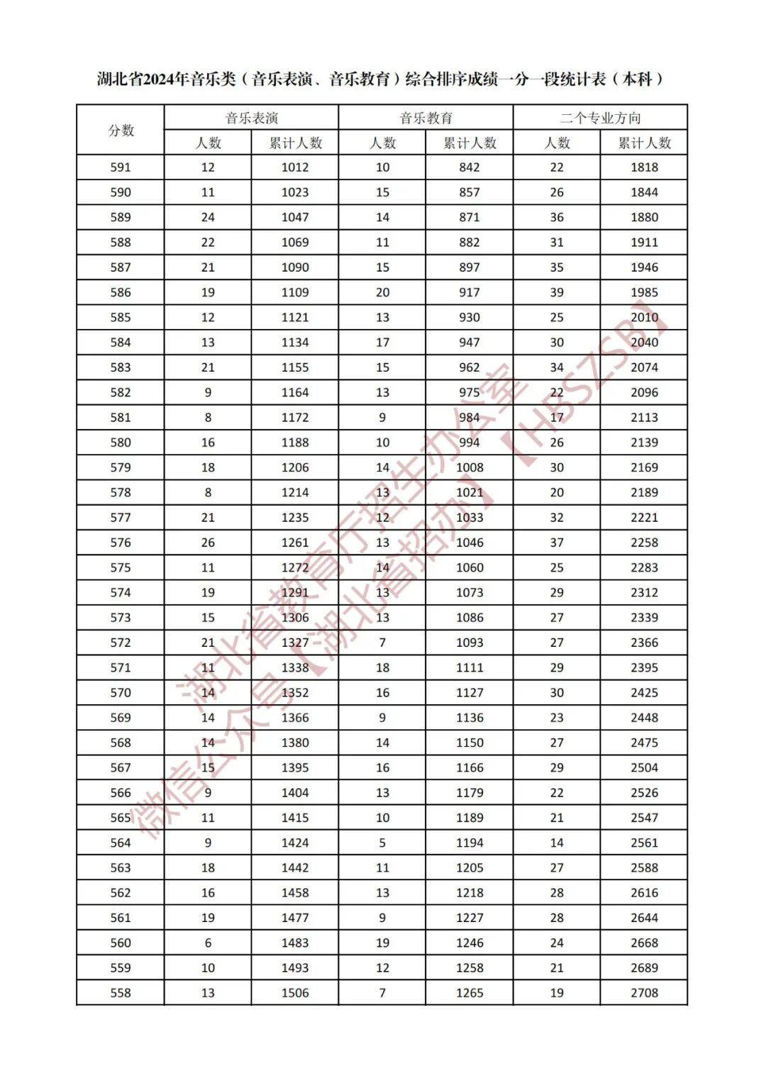
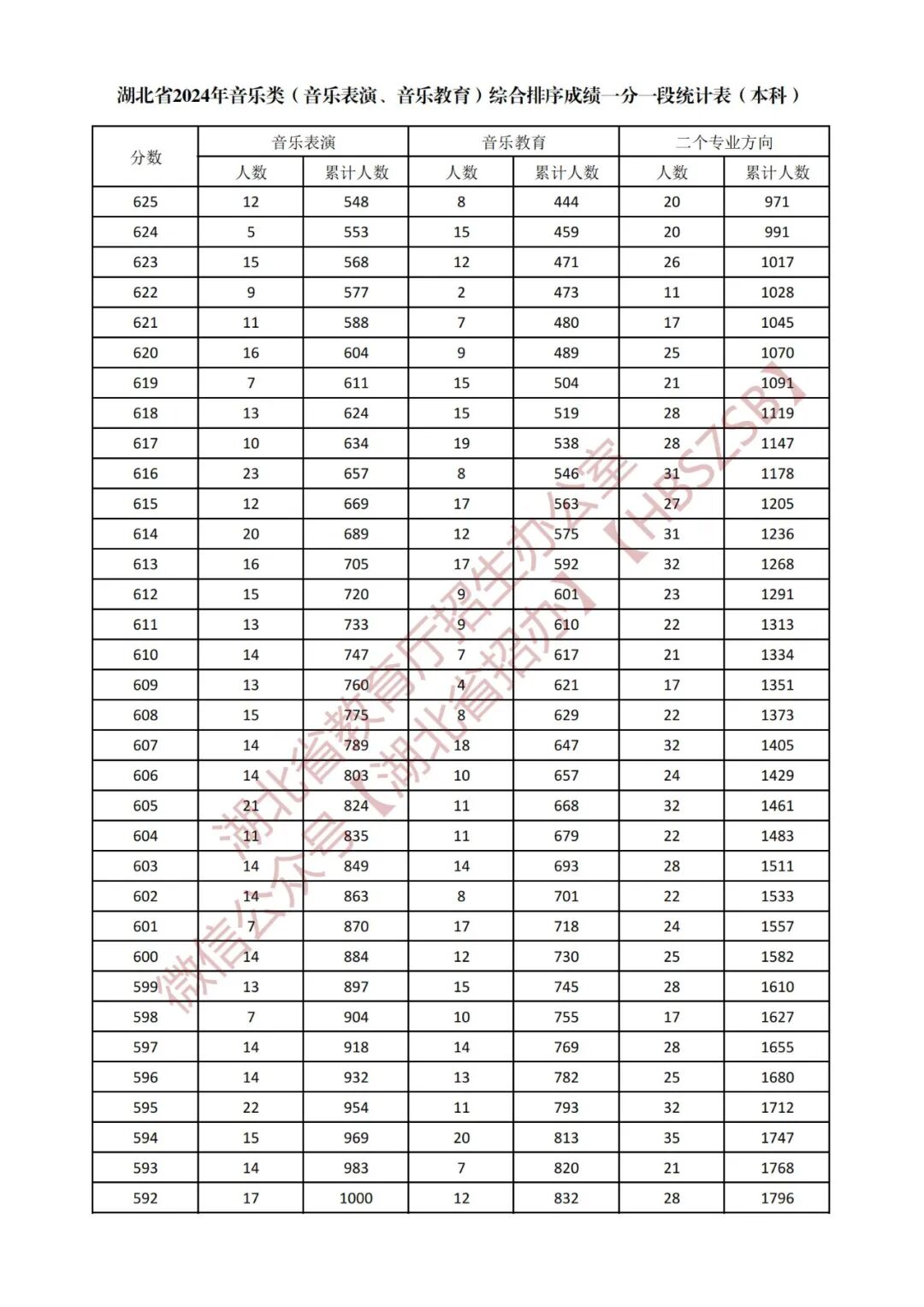
湖北省2024年音乐类
(音乐表演、音乐教育)
综合排序成绩一分一段统计表(本科)
(上下滑动查看↓)







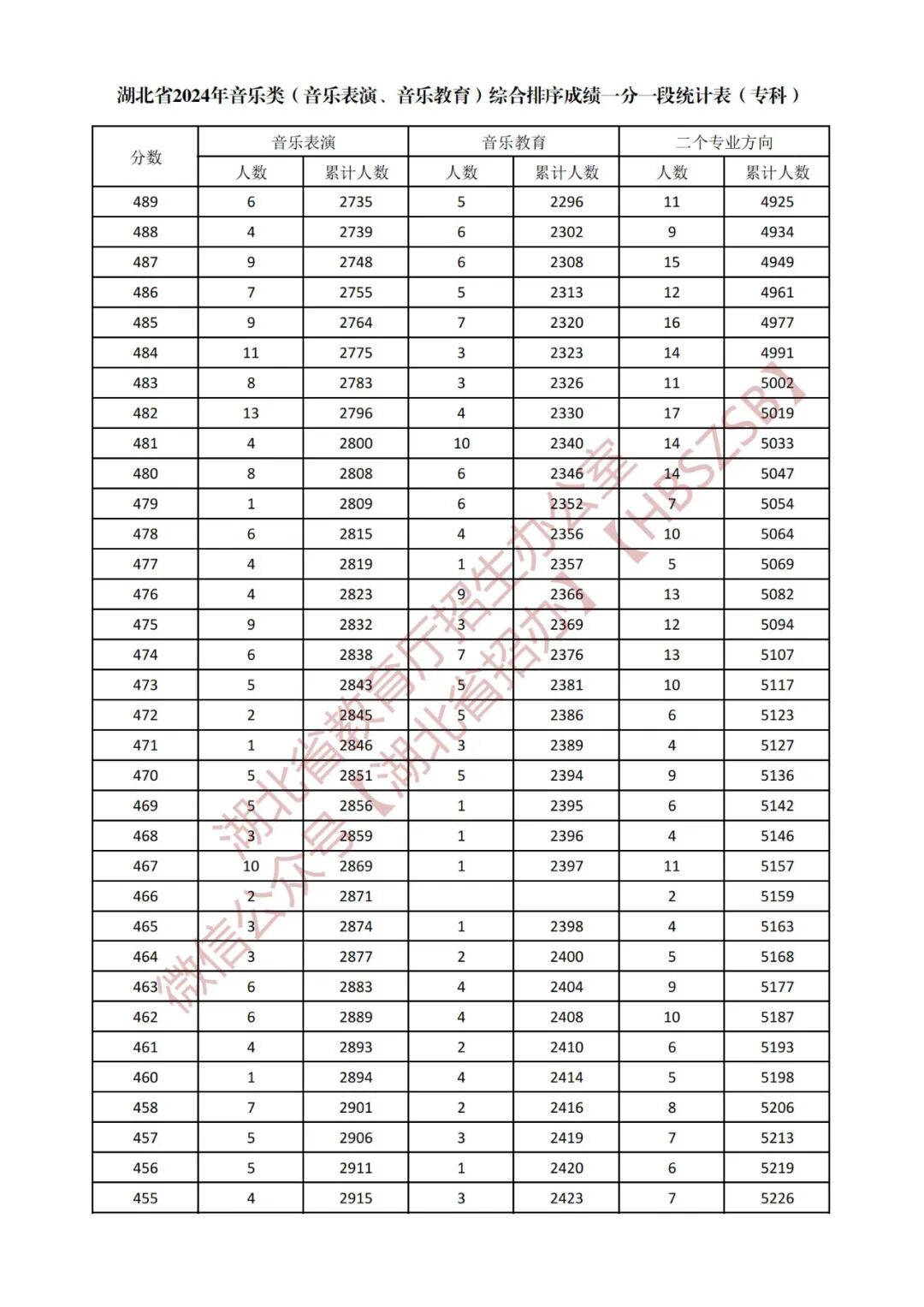
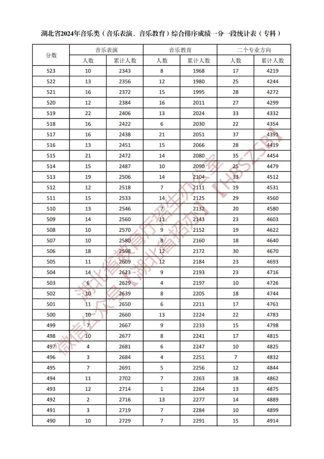
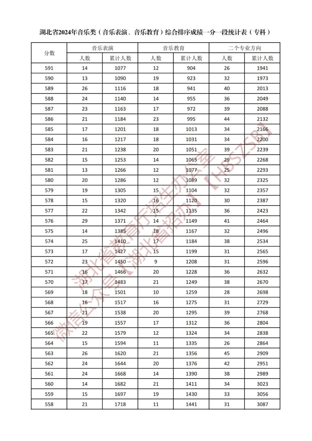
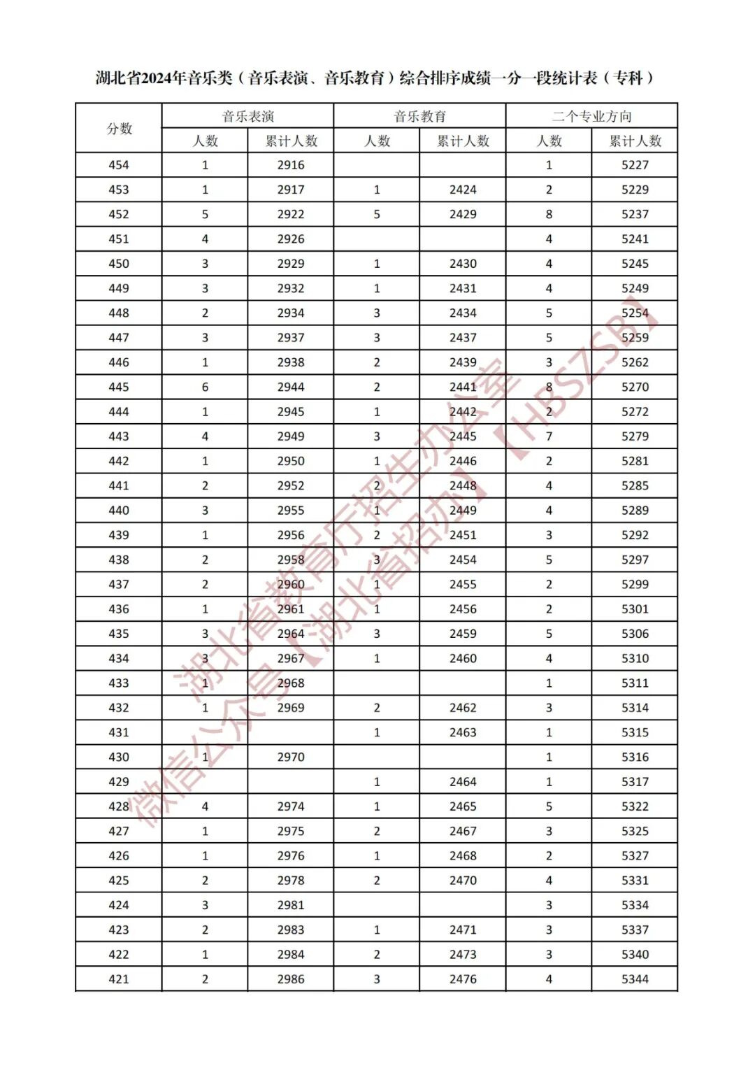
08
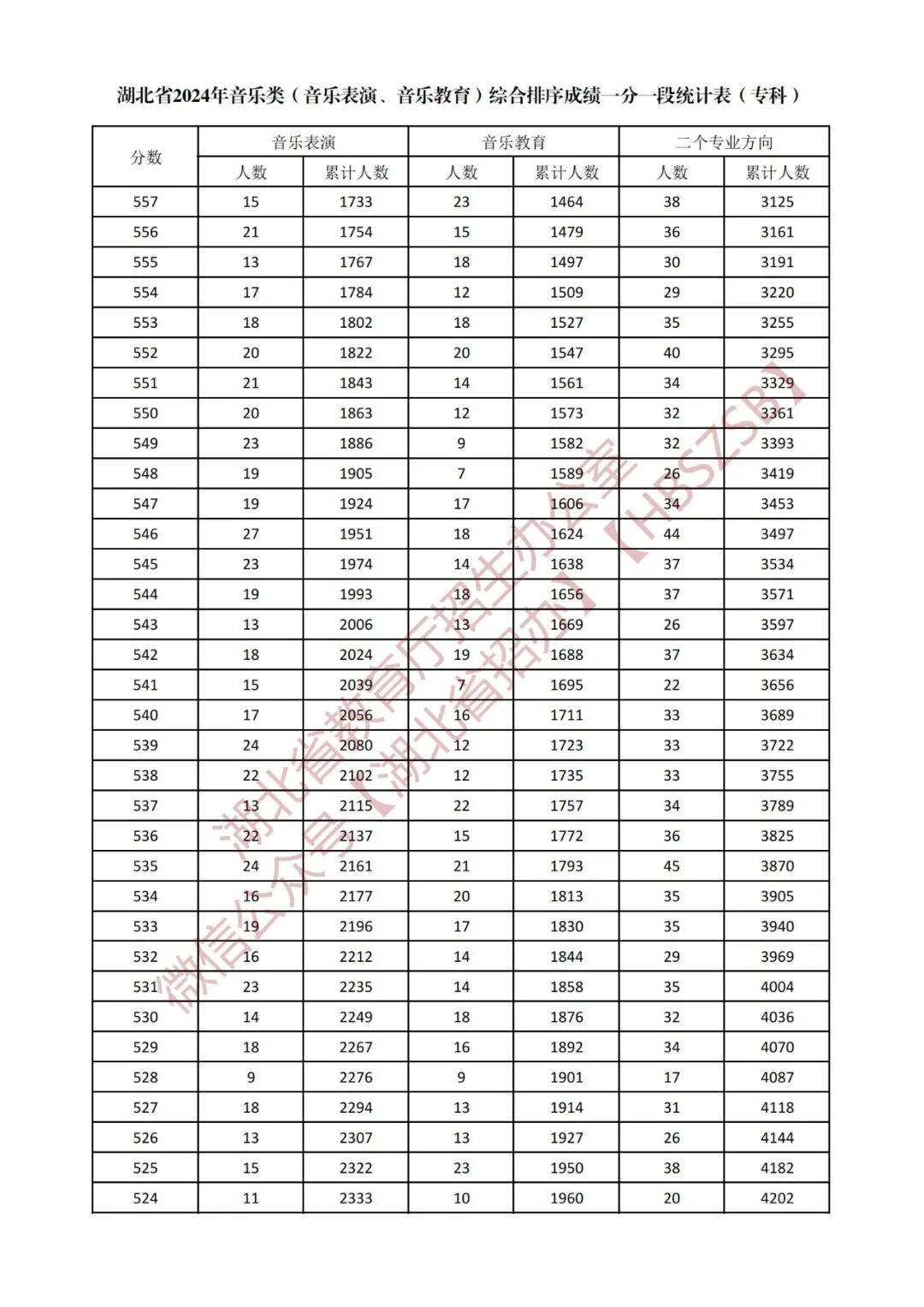
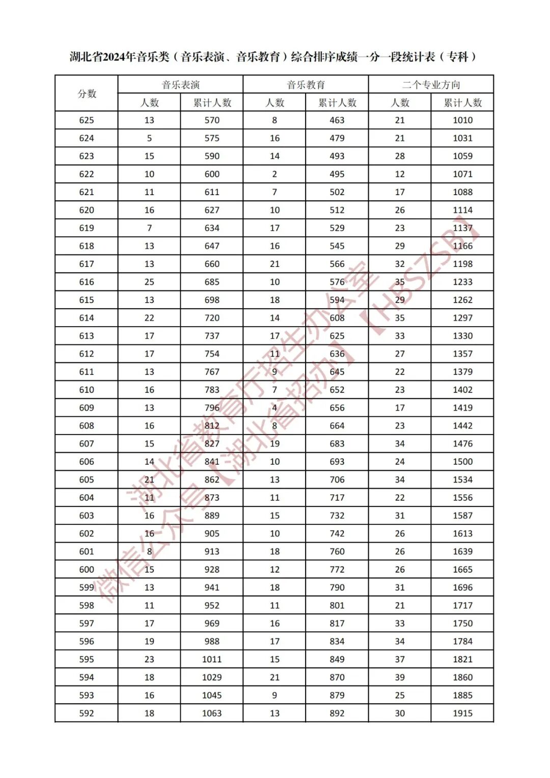
湖北省2024年音乐类
(音乐表演、音乐教育)
综合排序成绩一分一段统计表(专科)
(上下滑动查看↓)











湖北省高考全指南
扫描下方海报二维码
即可查看武汉高考成绩查询入口
一分一段表、志愿填报指南
各大高校招生录取分数线
👇

更多信息
小编持续关注~

-END-
右下角,您点+
小编工资涨1毛





(可点击屏幕滑动)
进入【武汉本地宝】公众号回复以下关键字:
回复【高考】获取2024湖北高考相关信息
回复【中考】获取2024武汉中考相关内容
回复【医保】获取武汉医保办事大全
回复【2】查看武汉落户政策及申请
回复【景区】获取武汉景区购票入口
回复【归元寺】获取归元寺预约入口
回复【补贴】获取武汉各类补贴申请指南
回复【保租房】获取保租房申请全攻略
回复【升学】获取学区划片相关信息
回复【买房】查看武汉买房政策房价
回复【社保】获取武汉社保办事指南
回复【HPV】获取hpv疫苗预约指南
回复【地铁】获取武汉地铁最新规划
回复【旅游】获取武汉景点推荐攻略
回复【居住证】获取居住证申领指南
▌来源:湖北省招办微信公众号,本地宝综合(内容来自网络,武汉本地宝收集整理)
▌内容:如有侵权/投稿,请邮件联系liyunmou@bendibao.com
▌文章及封面图片来源:摄图网(已获平台授权)
▌编辑:鱼丸(黄耀萱)
▌商务合作:电话 400-9999-087 QQ 4009999087
点击查看:商务合作微信

▼点击【阅读原文】进入武汉微信办事大全
▼点击【武汉本地宝】图标可直接关注我们哦
到顶部