继续操作前请注册或者登录。

黑洞吸了那么多东西都到哪里去了?| No.123



十一长假
小伙伴你萌还好吗?
你们是去参观了人山人海

还是卧床不起呢?

老伙计我可是没闲着哦( 。_ 。) ✎ _
这期我们聊聊被黑洞吸进去的东西都到哪去了!
搭配BGM食用更佳 ╭(●`∀´●)╯(点击音频图标即可食用)
1Q
生物体积的极限是多大?
by 匿名A
对于陆地生物来说,重力是限制其体积的重要因素。动物体积变大,其体重随着尺寸的三次方增加,而肌肉与骨骼增加横截面积,和尺寸是二次方的关系。因此随着动物体积的增大会变的连站立都不能做到。非洲象是陆地上最重和第二高(仅次于长颈鹿)的动物,雄性肩高约为3-4m,体长在6m以上,体重为5-6t,雌性估计只有雄性的一半大。假设存在质量比地球小的,具有生命的行星,由于该行星重力小,因此陆地动物的体积便可以比地球上大。但行星如果太小则无法吸引并维持大气层(假设那个行星的生物仍需要大气层),因此这限制了外星需要大气层的陆地生物体积为地球陆地生物的10倍以内。对于海洋动物而言,其不必对抗重力,因此其体积更大,另外这和海洋环境没有陆地多变也有一定的关系。但是海洋生物的大小也并非没有限制。动物需要心脏来循环血液,进行全身的物质能量交换,如果体形过大,末端的毛细血管就很难循环。从热力学角度来看,动物的代谢会产生热量,因此需要散热。假定哺乳动物需要生存,其全身代谢速率至少要达到每纳克万亿分之一瓦,热力学将动物最大的体重限制在了100万kg左右即1000t。
目前已知的最大的海洋生物,也是地球上最大的动物为蓝鲸,其体长可以达到30m,平均体重170t,离1000t还相差甚远。但重达1000t,体积约为蓝鲸5倍的生物,真的能够潜藏在食物稀少的深海中,以至于至今还没能探测到吗?
不考虑自然因素的话,理论上经过基因改造可以在超大水族箱中培养出这么一个庞然大物。但是自然界中存在各种各样的制约,因此动物实际上的极限体积并不会超出现在已发现的最大值太多。

植物其组织刚性比动物大,因此可以长的比动物更高。雪曼将军树(General Sherman Tree),已超过3500年树龄,高83.5m,周围31m,是今日世界上最大最老的大树。植物的高度是有限的,因为水分能够运输到的高度是有限的,理论上最高不会超过100m。

Emmmmm,也许你会想,那如果植物横着长呢,是不是就可以无限大了?在俄勒冈州,科学家们发现了一个超过2400岁,占地超过8.8平方公里的奥氏蜜环菌。不过这是以地下延伸的菌丝/根状菌索的形式存在,事实上其单株的大小和普通蘑菇差不多。无性繁殖的后代具有相同的DNA,如果把它们看作是一个单体的话,这将是地球上最大的生物。理论上讲,如果不存在生存制约,它可以铺满全部的陆地。
By Patwf
2Q
为什么熵值会随时间推移一直增加?
by 匿名A
严格来说,熵会一直增加的说法是不正确的。
热力学第二定律指出,孤立系统的熵永不减少,即dS≥0。在这里需要玩一个数学上的咬文嚼字游戏,不减少并不意味着一定要增加。整个系统平衡时,其熵达到最大,而达到平衡的系统不会再发生任何自发的变化。因此熵并不会一直增加下去。
By Patwf 
3Q
为什么汞和周期表附近的金属不同,能在常温下呈液态?             
by  匿名A
我们知道汞是元素周期表中最特殊的一类金属元素,她的熔点是-38.83摄氏度,是唯一在常温下保持液态的金属。要想知道为什么,我们首先要了解原子内的电子排布规律。
原子中的单个电子运动方程是薛定谔方程,是一个二阶偏微分方程。对此方程求解,要使解出的函数有合理的物理学意义,就要引入一套参数n、l、m为限制条件,这个叫量子数,他的取值规则如下:n=1,2,3,… …n为自然数,l≤n-1,m=0,±1,±2,… …±l。一套确定的参数,可以确定一个波函数,就代表了一种电子运动的稳定状态,为原子轨道。其中l量子数对应的我们称之为s亚层,p亚层,d亚层,f亚层等等。自旋量子数ms代表电子自旋运动的量子数,是第四种量子数,自旋量子数有两个取值+1/2,-1/2。
以上四个量子数确定原子内的一个电子的运动状态。而原子的电子排布规律还要满足以下三个规律:
(1)泡利不相容原理:两个全同的费米子不能处于相同的量子态,原子内的电子是标准的费米子,所以就是一个原子不能有相同的量子态的电子。
(2)能量最低原理:电子总是最先排布在能量低的轨道上。
(3)在等价轨道上,电子总是尽先占据不同的轨道,且自旋方向相同,当等价轨道上全充满时,半充满时和全空时,能量最低,结构较稳定。根据这些基础知识,我们知道汞的原子序数是80,它的排布是 5d106s2,金的原子序数是79,它的排布是5d106s1 ,铊的原子序数是81,它的排布是 5d106s26p1。另外原子轨道也会受到相对论效应的影响。根据狄拉克的相对论量子力学理论,我们知道原子轨道有三种相对论效应:相对论分裂、相对论收缩、相对论膨胀。并且随着能级的增大,相对论效应愈发明显,对于金,它的5d轨道由于相对论效应而发生明显膨胀,6s轨道发生明显收缩,导致5d上的电子容易吸收能量较低的蓝紫光的光子跃迁到6s,从而产生共用电子,形成金属键,同时这也是金显黄色的原因;同样的,对于汞,6s轨道已经填满,而由于相对论效应,6s轨道与6p的能量差值变大,使得6s电子形成惰性电子对,异常稳定,故,汞原子之间无法形成金属键,只能以分子间作用力相互影响,所以汞在常温下是液态。

不考虑相对论效应轨道示意图

考虑相对论效应6s轨道单电子占据示意图

考虑相对论效应6s满占据轨道示意图
By  lagrangeju
4Q
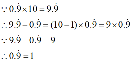
为什么1/3=0.33333,2/3=0.666666,而3/3就是自然数1而不是0.999999呢?
by 阿修贝尔A

By Patwf
5Q
谢谢由物体吸放热公式:Q=cmΔt。将Q换成PV,得PV=cmt。那么在同温同压下,等质量物体体积与比热容成正比。显而易见,这个推论是错的,那么为什么错了?谢谢回答!
by  匿名A
热力学第一定律指出 

当不做非体积功时 

因此便有 

可以看出来,当内能不发生变化,即dU=0时才有 

也就是说用Q替换PV的前提是内能不发生变化,但是内能是温度的函数,即t变了U就要变,因此pV≠cmt
By Patwf
6Q
电影中刀劈子弹现实中能做到吗,如果能做到肉体和反应需要锻炼到什么程度呢?
by 老师,我想念研究生▄█▀█●A
我们经常在电影作品中看到主角使用刀劈子弹的场景,《金刚狼》、《杀死比尔》等电影中就有类似的桥段,《功夫》中的火云邪神更是直接徒手夹住飞来的子弹。毕竟都已经8102年了,刀劈子弹都不会的话都不好意思当主角。

但是这种场景真的有可能出现吗?如果单纯看刀和子弹的硬度的话,实际上普通的家用的切黄油的刀就可以将高速运行的子弹切开。有人将下图中的刀固定在一个平台上然后对着刀开枪,用高速摄影机拍摄下子弹被切开的过程。

但是显然这种“刀劈子弹”不论从哪个角度看都不能满足题主的要求,题主想要的是使用肉眼捕捉到子弹的弹道,然后将其一刀劈开。这就有很大的困难了,迄今为止,还没有人成功做到过。
但是有一个日本人却声称能够劈开时速接近100m/s的bb弹,他就是町井勋,使用“居合术”中的“一击必杀”拔刀术,将bb弹劈开。町井勋自5岁起拜师学武,现在已经成为居合道名家。曾经创下36分5秒刀砍1000卷草席的世界纪录。

他站在离射手大概20米的位置,在听到枪响之后迅速拔刀,实际上可能更接近把刀“摆”到bb弹要经过的路径上,然后子弹撞到刀上被劈开。但是这离刀劈子弹还有很大的差距。毕竟即使是手枪子弹在一般情况下速度也能达到400m/s,显然町井勋对手枪子弹还是束手无策的,更不用说速度更高的步枪甚至狙击枪子弹。
以电影中的距离大概为20米来进行计算,实际上主角一般还没听到枪响,子弹就已经到面前了,我们假设主角看到火光就出刀,光传播的时间忽略不计,那么50毫秒内主角就要完成反应和出刀,但是正常人的反应速度在300毫秒左右,运动员经过特定练习对特定刺激(发令枪)的反应速度可以缩短到150~180毫秒(刀劈子弹特定练习恐怕也有难度,毕竟是送命题),人类反应速度的极限目前公认约为100毫秒左右。所以人类基本不可能完成这个任务,而且比反应更难的是捕捉到子弹的弹道,以及挥刀。
虽然人类难以完成题主的这一任务,但是不要沮丧,随着高速摄影和人工智能的崛起,机器人很有可能能够实现“刀劈”子弹的创举,先进的高速摄影技术已经能够实现近4.4万亿帧每秒的拍摄速度,而电机的速度带动机械臂可以轻松达到所需要的挥刀速度,计算机更是能够以非常快的速度准确计算出子弹的弹道。通过捕捉人类挥刀动作,机械臂也能够实现类似的挥刀动作。日本安川电机就做了一个机器人(更准确的说是一个机械臂)跟町井勋学劈草席的技术。详见下面视频日本安川机器人 VS 日本剑道高手町井勋。不过把这些技术整合到一起还有很长的路要走,相信在不远的将来,人类能够造出可以“挥刀劈子弹”的机器人。
By 望江楼
7Q
请问一个金融的女生怎么样可以找一个学物理的男朋友?谢谢!
By 匿名A
解决这个问题的思路和许多物理问题很相似。物理公式、定律是普遍的真理,但应用去解决某个问题时需要具体化。以牛顿第二定律为例,F=ma,这个是普遍的规律,但是遇到具体问题时你需要去分析物体所受的力,而力是多样化的。
实际上就是从一般到特殊的演绎法。找一个学物理的男朋友,换句话说就是要找一个男朋友,且男朋友是学物理的。因此,问题的最重要因素在于——你得先能够找一个男朋友。从数学上来讲,男朋友是男性朋友的真子集(一般来说男朋友的数量小于男性朋友),而学物理的男朋友则是男朋友的子集。找对象这个事有很多缘分在里边,因此从实验结果来看,往往具有随机性,那么如果你的男性朋友里学物理的占的比重很大,男朋友是学物理的概率就会提升。
Emmmm……也许你会想,那有的人买彩票一次就能中奖呢,说了这么多,能不能痛快点,来点很直接的方法?
当然有了!
第一步,打开手机中的地图APP;
第二步,在搜索栏输入中国科学院物理研究所;
第三步,点击“到这去”
接下来就看你的本(mei)事(li)了
当然私戳小编也是可以的 ฅ՞•ﻌ•՞ฅ̊
By Patwf
8Q
粒子在磁场中运动时B可以与v不垂直,我无法想象B不垂直于v且B与v形成的平面与F垂直,难道左手定则不适用吗?
by 物理学渣A
洛伦兹力是带电粒子在电磁场中运动所受到的作用力,可以用洛伦兹方程表述为:

磁场项的作用力方向可以由左手定则判定——四指指电流方向,磁感线穿过手心时,大拇指方向为洛伦兹力方向。数学上讲,单位正电荷运动所受到的洛伦兹力磁场项是电子的运动速度与磁场强度的矢量叉乘,,力的方向与电荷运动速度以及磁场方向均垂直,大小为vBsinθ,θ为磁场与电荷运动速度的夹角,下图给出了夹角分别为锐角,直角和钝角时的洛伦兹力方向,不难看出在三种情况下左手定则都是适用的。

By 勿用 
9Q
在做电子衍射实验时,为什么要高压加速?如果电子能静止,波长会无限大吗?静止的小球的波长能用普朗克常量除零动量吗?
by 赵新晶A
物质波发生衍射的条件和光波衍射条件是一致的,其中一条很重要的条件是波长与狭缝宽度或障碍物的尺度相近。在做电子衍射实验时,我们通常需要利用电子衍射来观测特定的物质的微观结构,我们需要使电子波长与待测物质微观结构特征尺寸一致,因此需要对电子进行高压加速以得到某种特定波长的电子,同时我们还要保证电子能够源源不断的打到待测样品上,因此也需要利用电场加速对电子的运动方向进行控制。
对于第二个问题,根据热力学第三定律,绝对零度无法达到,电子是不能够绝对静止的。物质波理论中,德布罗意认为,任何运动着的物体都伴随着一种波动,而且不可能将物体的运动和波的传播分开。我们讨论物质波的对象一定得是运动的物体,对于静止的物体求解其物质波波长在数学和物理上都会遇到问题。
By 勿用
10Q
黑洞的背后是什么?它吸了那么多东西,都到哪里去了?
by EricA
黑洞也有不同品种,这里我们只讨论最理想最简单的黑洞:史瓦西(Schwarzschild) 黑洞。结论是对于这个黑洞,吸入的东西去了黑洞的奇点。
说到这里,可能刚上船的水友就会问了,什么是奇点?
这就触及到知识盲区了.jpg。我们人类对奇点一无所知(突然中二)。
(由于这个问题比较硬核,建议来找男女朋友的水友可以直接跳过下面的讨论。)
一般有(哔)格的科普都会给出一个叫共形图的东西,根据这个国际惯例,我们作为一个有(哔)格的公众号,在这里给出史瓦西黑洞的共形图:

 其中A区域表示黑洞视界外我们生活的世界,B区域表示黑洞视界内部,是最上边的蓝线表示黑洞的起点。C区域表示另一个渐进平坦时空,与我们的世界没有联系,D区域是白洞,最下面的蓝线表示过去奇点。C和D区域就比较抽象,不过没关系,接下里讨论只涉及A和B区域。
图中纵轴是时间,横轴是空间,并且我们仍然遵守闵氏时空的光锥坐标系,即物质只能在上光锥中传播,比如我们发现A区域的东西是可以进入B区域也可以不进去。我们很快就能明白,A区域的东西如果进入B区域,在B区域中所有东西最终宿命就是落入奇点。
最后值得一提的是,我们这里只是讨论了史瓦西黑洞,也存在其它黑洞比如克尔(Kerr)黑洞,如果掉进这个黑洞里面,我们可以选择出来而不是掉进奇点。
By zym

本期答题团队:
物理所    Patwf、勿用、望江楼、zym
中国科学技术大学     lagrangeju
写下您的问题,下周五同一时间哦~

↓识别下方二维码快速提问↓

上期也精彩
太阳还能烧多少年?| No.122

编辑:望江楼
近期热门文章Top10
↓ 点击标题即可查看 ↓
1. 以我为研究对象,跨度十年的本硕博总结性研究报告
2. 蚊子给你扎针吸血时命中率高吗?真相让人流下了同情的泪水
3. 坐高铁手机没信号?原因远比你想的要复杂!
4. 物理定律助你七夕「科学表白」,谁说「天下有情人终将分手」→_→
5. 暑假玩得很爽是吧?开学后你就会感到智商对你的疯狂打击报复了
6. 为什么用嘴吹气是凉的,哈气却是热的?| No.118
7. 2018数学最高奖“菲尔兹奖”揭晓,4位获奖者各自拥有怎样的故事?
8. 宇宙和你,本质上其实只是个八维数字?
9. 当你死去时,你的原子会如何
10. 这是 99.9% 的人没听说过的神奇悖论(上)
点此查看以往全部热门文章

到顶部