太阳还能烧多少年?| No.122



我们目前所用到的除了地热能之外的几乎所有能量都直接或者间接来自于太阳能,如果太阳熄灭了,我们恐怕撑不了多久。那么问题来了,太阳还能像这样稳定的发光发热多少年呢?
搭配BGM食用更佳 ╭(●`∀´●)╯(点击音频图标即可食用)
1Q
为什么卡车爬坡时速度较慢拉力更大?
by 余必纬A
内燃机通过燃烧燃料可以将热能转换为机械能,燃烧燃料获得的能量的速率有一定限度,自然而然,其对外输出机械能也有一定的速率,即功率。功率P=F·v,因此当功率保持不变时,如果车速越慢,则发动机能够提供的牵引力就越大。
另一方面,汽车在低速时会处于低档位。骑过变速自行车的朋友应该深有体会,脚蹬的齿轮越小,后轮的齿轮越大,则上坡越省力,但是骑行的速度越慢,而脚蹬的齿轮越大,后轮的齿轮越小则蹬起来越费力,但是骑行的速度越快。汽车的不同档位实际上就是发动机齿轮和轮轴齿轮的配比不同,当档位低时,相当于是一个省力杠杆,虽然费了距离(车速慢),但是省了力。此时给油门可以让发动机转速上升而车速却不会太高,不同的发动机具有不同的最大扭矩转速,一般来说都需要较高的转速。因此挂一档时猛给油门,发动机转速上去后可以提供很强的动力,利于爬坡,越过障碍。
By Patwf
2Q
太阳的热量会在亿亿亿……年后散发尽吗?
by 匿名A
恒星的命运基本上由其质量决定(加基本上是因为:还会受恒星自转、成分、磁场、在密近双星中的地位等诸多因素影响),一个是质量越大的燃烧越快,寿命越短(我没说人哦),另一个是恒星的质量也决定了恒星的最终归宿。
恒星的内部在进行的是核聚变反应,产生大量能量,其辐射压抵抗了恒星自引力,使其不会在自引力下坍塌。恒星质量不够大的话,氢聚变至氦就终止了。足够大质量的恒星有足够大的压力使氦被加温点燃聚变成碳,再大质量的恒星可以使碳点燃聚变成氧,然后是氧聚变成铁,但是无论如何恒星核聚变的本事这就到头了。
在恒星年老的时候,核聚变能力下降,辐射压不足以抵抗自引力,恒星开始核心坍塌,外壳冷却膨胀,变成红巨星(或红超巨星)。在最后的负隅顽抗之后,核心巨大的压力会导致超新星爆炸,会抛射掉一部分质量,被吹散的外壳形成行星状星云,而剩余的核心根据质量大小:质量小的变成白矮星,逐渐冷却至黑矮星;质量大一点的其自引力压力可以战胜电子简并压,变成中子星,质量更大的其压力可以进一步战胜中子简并压,形成黑洞。

太阳目前是一颗G2V型主序星,已经燃烧了46亿年,预计还可以继续燃烧50亿年。以太阳的质量,最终会走白矮星这一条归途。
By 起个笔名真难
3Q
 镜面反射时光走的路程是最短的,光怎么知道它走这条路的路程是最短的?             
by  匿名A
光没有自由意识,自然不知道它走的这条路是最短的。实际上,在镜面反射过程中,量子理论认为光其实走了所有可能的路径,每条路径都是平等的。而在几何光学中,光走的路径最短是它在经典极限下的描述。

图片来自:费曼《QED,光和物质的奇妙理论》
如图,一个光子经过镜面反射从S到P的过程中,实际上走了各种可能的路径,每种路径贡献一个概率幅(相当于一个复数),从S到P的概率是所有这些不同路径给出的概率幅叠加的结果。但不同的路径因为路程不同,所以光子走的时间并不相同,于是相邻的路径贡献的概率幅实际上会有不同的相位。如果路程不是最小的,较小的路径移动就会带来比较大的路程的差别,那么相邻的路径之间的时间相差就会比较明显(如图中的SAP,SBP两条路径),这样,它们之间就会发生比较明显的相消干涉从而其贡献相互抵消。而对于SGP这种路程最短的线,关于它的微小移动不会带来比较明显的相位差别,因此这部分的概率幅就会被保留并成为主要的贡献者。所以从实际的效果来看,就等于光走了最短路程的线。
这个问题其实问的很好,著名的物理学家理查德费恩曼就是通过对这个问题的深入思考,提出了著名的路径积分理论。路径积分理论现在已成为理论物理的一块基石。
推荐阅读:《QED,光和物质的奇妙理论》 理查德 费恩曼
By  YuSen An
4Q
地球轨道上,卫星中的设备是处于失重状态,那么电机带动的转盘是不是不需要考虑其转动惯量了呢?是不是说转盘的转动惯量近似为零呢?
by EricA
物体的转动惯量即和它的质量有关也和它的质量的几何分布有关。两者不论是在地球上还是在失重环境下都是客观存在的。所以在失重状态下,转盘也是具有转动惯量的。
我们从质量入手来分析一下读者直觉上的错误。读者可能认为在失重状态下物体不受力也可以飘起来,所以物体没有质量。其实不然,物体的质量是物体自身保持自己运动状态对抗外界干扰的属性。虽然失重状态下物体可以自己飘起来但是你想让它改变运动状态还是需要对它施加外力,而且它的加速度和在地球上一样满足F=ma。而在地球上物体需要外力才能飘起来的原因是物体时刻受到重力的作用,只有施加外力抵消掉重力才能让物体飘起来。对于转动惯量也是一样的,转动惯量可以看做物体维持自身角动量的属性,想要改变转盘的角动量一定要给转盘施加力矩才行。正是因为这个特性,陀螺仪才有指示方向的功能。
By Nothing
5Q
月球总是正面朝向地球,那么其正面的坑是怎么形成的呢?谢谢
by  雨中漫步的你A
这位朋友的问题非常好,我先来给观众老爷们啰嗦一下这个问题的背景。月球表面的坑是被陨石砸中形成的,月球由于潮汐锁定,长期以一面面向地球,故而有正反面之分。月球的背面有更多的陨石坑,而正面却更为平坦,这是因为月球正面受到地球的保护。
那么地球对月球的保护作用有多大呢?我们来看一下地球月球的真实大小、距离比例。

可见,地球作为月球的盾牌也只能遮挡一个很小的角度,算了一下约为2度。这可真是,360度,度度挡不住,好像没什么用啊老师!能不能再给力一点?没关系,除了物理护甲我们还有魔法防护:【真·引力·弹弓】(引力好像也是物理啊老师)陨石不是从远处像子弹一样直线射过来,而是会在地球、月球的引力场中进行曲线运动。从地球方向射向月球的陨石大多会被地球的引力拉扯偏离,而偏折角度的大小与陨石原轨道和地球之间的距离、陨石和地球之间的相对速度有关,轨道高度一定时相对速度越小角度偏离越大,相对速度太小的甚至会被反向,甚至被地球捕获与地球相撞(但大部分小陨石在大气层中燃烧殆尽,不会撞到地面上,这重情况就不能称为陨石了)

接下来终于要回答题主的问题了!虽然地(fu)球(zhu)的保护这么到位,为什么月球(adc)正面还是挨打了呢?
大概有两种情况,一种是辅助有时候也会坑队友,比如把开大的敌人一脚踢到队友身边。地球可能会把本来没有瞄准月球的陨石偏折到射向月球的轨道:

另一种就是好辅助也救不了自己送。背面来的陨石在月球引力下经过轨道的偏折反而在正面撞击:

By 起个笔名真难
6Q
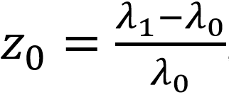
接收到一束光,我们是如何计算出它是从多少年以前从某个恒星上发出的呢?(最好能用公式解答)
by 雨中漫步的你A
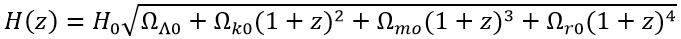
通常我们无法直接得知光传播的时间,这个问题只能先转化成天体测距的问题,知道了光走了多少距离,再除以光速,就知道传播时间了。对于近邻宇宙来说,可以用三角视差法,分光视差法等诸多方法测得天体的距离。然后除以光速得到这束光传播的时间。事实上不同方法测出的距离并不是同一个物理量,它们只是在近邻宇宙的情况下几乎恰好相等而已。如果是遥远宇宙,需要考虑到宇宙膨胀的影响,这些距离、时间则并不等同,我们难以直接测得光行距离(就是可以除以光速得到光行时间的距离),而往往是测得角直径距离、光度距离等。研究遥远宇宙中的天体可以测定其宇宙学红移,通俗来讲,越大的红移代表了更远的距离,更长的光传播时间。有趣的是,在光的传播的路上,这段距离就在不断增加,所以这里面谈论时间、距离都要涉及到坐标系选取的问题。
我在这里仅给出一种情景:此时此刻我们站在地球上,看到宇宙中来的一束光,测得它的红移是z0

λ0 、λ1分别是电磁波发射时和被我们接收时的波长.
那么在我们看来,这束光传播的时间(回视时间)是

其中

是红移z处的哈勃指数。而ΩΛ0 、Ωk0、Ωmo 、Ωr0分别是当今宇宙暗能量、曲率、物质、辐射的组分,根据目前理论模型与实际观测,可以分别取值0.73,0,0.27,0
限于篇幅在这里我就不把这恼人的公式从头推导一遍了,想要深入了解严格的公式来源的读者可以参考:DISTANCE MEASURES IN COSMOLOGY
当然这里还有一篇关于各种宇宙距离的通俗易懂的文章:宇宙有多大
By 起个笔名真难
7Q
为什么光子自旋不为零?
By 匿名A
我们知道光子是自旋为1的粒子,然而自然界仅存在两种极化方式的光子,即左旋光和右旋光,这两种偏振光分别代表z方向自旋为±1的光子。那么问题来了,既然光子的自旋为1,那么其z方向上的本征值应该有三个,即0和±1,但是为什么我们至今为止却没有发现自旋为0的光子呢,即为什么电磁波不能是纵波?事实上,我们要想深刻地去理解光子的自旋,必须要从量子场论出发。在3+1维的时空坐标系中,将电磁场量子化时,我们原则上确实可以形式上去定义四个极化方向:其中x,y方向的为横向极化,分别代表x和y方向的线偏光;z方向的为纵向极化,代表自旋取值为0的纵波;t方向的为标量极化。然而,由于我们需要让电磁场满足洛伦兹和规范对称性,且光子质量为零,这样的后果就是纵向极化和标量极化都会成为非物理的态,即负模态(态矢量模平方为负),从而违反了量子力学的几率解释。因此,我们可以认为光子只有两个横向极化,这也与我们的实验观测结果符合。总结来说,作为矢量场,虽然光子原则上具有四个极化自由度,但是由于规范对称性和光子质量为零的限制,这四个极化自由度并不是独立的,从而使得最终只有两个横向极化是物理的。  
By Automan-Ex
8Q
万能解惑小编您好,前几期提问中有一个问题是牛顿第二定律为什么不是F = ma^2?| No.116,看完以后毁了我的中学物理。文末小编说质量的定义还有定义二,如果按照定义二的话,两个质量为1的物体质量之和为多少?请小编解答,我快疯了。说实话,看了小编的这些分析,我真切体会到中学学的太肤浅,知其然不知其所以然,中学教育给出的一些定义定律定理在真实的物理演化过程中真实看不懂。让我们这些自以为牛顿定律学的很好的人觉得自己以前学的太肤浅。360度跪求小编解答…
by 砸爱因斯坦的苹果A
在那期问答里,定义2质量之比等于加速度反比的平方。下面我们要求两个质量为1的物体加起来质量是多少。首先我们要明确的是,物体相互碰撞的过程中,它们的加速度之间的关系是实验事实,不随所选力学的形式改变。所以当两个质量为1的物体(M)合在一起与另一个质量为1的物体(m)相互碰撞,其加速度之比为aM/am=1/2。根据定义,质量之比是加速度之比的平方可得:M/m=(aM/am)2=4。所以,M=4m。也就是说在定义二中,两个质量为1的物体的总质量是4。
By Nothing

本期答题团队:
物理所    Patwf、Nothing、Automan-Ex
理论物理研究所     YuSen An    
国家天文台         起个笔名真难
写下您的问题,下周五同一时间哦~

↓识别下方二维码快速提问↓

上期也精彩
为什么黑洞还能发出X射线?不是无法逃逸吗?| No.121

编辑:望江楼
近期热门文章Top10
↓ 点击标题即可查看 ↓
1. 以我为研究对象,跨度十年的本硕博总结性研究报告
2. 蚊子给你扎针吸血时命中率高吗?真相让人流下了同情的泪水
3. 坐高铁手机没信号?原因远比你想的要复杂!
4. 物理定律助你七夕「科学表白」,谁说「天下有情人终将分手」→_→
5. 暑假玩得很爽是吧?开学后你就会感到智商对你的疯狂打击报复了
6. 为什么用嘴吹气是凉的,哈气却是热的?| No.118
7. 2018数学最高奖“菲尔兹奖”揭晓,4位获奖者各自拥有怎样的故事?
8. 宇宙和你,本质上其实只是个八维数字?
9. 当你死去时,你的原子会如何
10. 这是 99.9% 的人没听说过的神奇悖论(上)
点此查看以往全部热门文章

到顶部