走路的时候静摩擦力到底做不做功?|No.81



摩擦摩擦
在这光滑的地上摩擦
这魔鬼的步伐
是怎么使你前进的呢
1Q
为什么水的比热容最大?
By 不希望
A
首先,我们先给出一个客观事实,水的比热容(4.2kJ/(kg·℃))虽大,但不是最大的,更大的有比如氢(15.0kJ/(kg·℃)),氦(5.0kJ/(kg·℃))等。
然后我们从物理概念的角度出发来解决这个问题。比热容,我们从上面的单位可以看出,应该定义为单位质量的物质升高一摄氏度吸收的热量。(这里有个刚学习比热容的同学们容易犯的误区,就是认为是单位体积,大家特别注意一下)。从物理量的定义来看,物质分子量越小,吸收热量越大,比热容就越大。
水升高温度吸收热量大的原因在于氢键,一是氢键多,而是氢键能量大。温度升高过程中,伴随着氢键解离的过程,直到其沸点附近。
当然水分子量小,也是对于其比热容作出了突出的贡献。如果你仔细去研究下比热容表,你可以发现,许多小分子量的比热容都挺大的。2Q
走路时摩擦力做功的情况。
By 胡鑫鑫

摩擦力分为两种,一种是滑动摩擦力,另一种是静摩擦力。如果在接触面上没有产生相对滑动,那么便没有滑动摩擦力的产生,只有静摩擦力。力在力的方向上产生了位移便会做功,即功=力×位移,如果没有发生位移,那么这个力便没有做功。我们假设地面不光滑,你穿的也不是滑板鞋,然后你也不会滑步,总而言之,你在走路的时候脚并没有在地上摩擦。因此没有产生滑动摩擦力,只会有静摩擦力,但静摩擦力并不做功。那么人前进的时候是什么力在做功?答案是你的肌肉。人在前进时后脚是斜向后蹬的,由于脚受到摩擦力与地面的支持力,所以会产生反作用力传递到躯体,这个斜向前的力做正功使得躯体向前运动。静摩擦力虽然不做功但是它为肌肉做功提供了条件,即它是机械能传递的媒介。肌肉收缩带动肢体运动的能量来源于体内ATP(三磷酸腺苷)释放产生的化学能。
3Q
合金的熔点是都低于两种金属的熔点吗?为什么?
A
一种金属元素同另一种或几种元素(金属或非金属), 通过熔化或其它方法结合在一起所形成的具有金属特性的物质。首先要说明的是,合金一般并不具有固定的熔点,合金的熔点也不是都低于两种组成金属。对于二元匀晶体系,液相和固相均无限互溶,形成单一的固溶体,高温熔融液体的结晶发生在一段温度区间内,这个温度区间与成分有关。如图所示,只有在最低熔点互溶体系中,对应极低点的成分才具有都低于组分金属的固定熔点;而在最高熔点互溶体系中,对应极点的成分则具有比组成成分都高的熔点。

对于共晶体系,两组元在液态无限互溶,在固态有限互溶或完全不互溶,均匀液相同时结晶出两种不同固相,共晶点对应的熔点一般低于两组分金属熔点。多元合金中,我们可以用类似二元合金的方法去分析,也可以得到类似的结论。
4Q
为什么一条较细的水流在一个硅胶软管中流的时候是呈螺旋性向下流的?
By  大海星
A
听到有关流体螺旋性流动的问题,总是会想到科里奥利力,即地转偏向力。
地转偏向力是在旋转的非惯性参考系中,伴随非惯性参考系而来的非"真实"力。在非惯性参考系中,物体的受力
,式中是惯性参考系下的真实力,是非惯性系带来的离心力,就是科里奥利力。这一项很特殊,前两项可以想象成"背景"力,这一项却是和物体在惯性参考系中的速度密切相关。
在惯性参考点运动简单直接,用牛顿定律就好了。不幸的是,我们所在的地球一直在自转,并不是一个完美的惯性参考系。
那么科里奥利力就会来凑热闹了。复杂的推导我们略过,这里只记结论:在北半球运动的物体受到一个向右的力,南半球正相反,受到一个向左的力。
这个力与速度相关,当速度越快,力越大。所以科里奥利力对两种情况具有比较大的影响:一是龙卷风等剧烈自然现象,因为速度快受力大,故影响明显, 这就是北半球龙卷风逆时针旋转而南半球顺时针旋转的原因。二是河流季风等 ,由于长时间运动受力效果累积,也会有明显的影响:北半球的河流多半冲刷右岸。不过细硅胶管中的水流,这两点都不沾边。其实它的旋转与科氏力没太大关系 。其之所以会旋转着向下流,与管的具体构造有关系,例如有些橡胶管内部螺纹。还有就是随机因素了,如初始速度、磨擦等各种阻力。
可能没有回答你的问题,但是现在至少知道科里奥利力的有关知识了呀......
5Q
为什么分馏可以用来分离混合液体,难道液体只有在沸腾状态下才会变成气体吗?
By  时间会咬人
A
分馏是分离几种不同沸点的混合物的一种方法,实际上就是多次蒸馏,利用液体沸腾时会发生液体-气体相变。这种相变是一级相变,具有相变潜热,此过程中蒸汽和液体的温度不会持续上升。然后通过外接的冷凝管收集该温度下的蒸气,将不同沸点成分的液体分离出来,冷凝收集是根据测得蒸气温度是否发生变化来判断是否为同沸点成分的液体。在液体稳定存在的前提下,液体和气体的相互转化在微观角度上看其实是分子热运动的结果,分子热运动是每时每刻无论什么温度下都存在的。在封闭系统中,液体和气体的相互转化在宏观上存在一个动态平衡,单位时间内液体转化为气体分子的数量等于气体转化为液体分子的数量,转化的速度与温度有关,此时气体的压强为该温度下的这种液体饱和蒸气压。对于开放系统,由于气体分子会向外扩散,无法达到动态平衡,液体会持续的转化为气体,这个过程即为蒸发,蒸发在升温过程中的任何温度下都能发生。沸腾实际上是一个剧烈的蒸发过程,但只会在达到沸点后发生,这也是分馏为什么利用沸腾而不用蒸发来分离液体的原因。6Q
能解释一下音爆现象吗?
By 呜啦啦
A
音爆是飞机等在速度超过声速(或者发生爆炸),伴随而来的一种发出巨大声响的现象。要解释这种现象就要有一定的波动知识。我们知道声音是一种机械波,它是密度振荡的传播。声音都具有一定的传播速度,具体数值与介质相关。我们以空气为例(约340米/秒)。这是密度振荡在空气中的传播速度。如果声源(如飞机)的速度等于(或者超过声速)呢?!那么由物体运动所引起的密度压缩将无法向前传播。其结果是在物体与空气的接触面形成一层很薄的压缩层,压缩层内密度大,温度高,这就是所谓的激波。压缩层与层外空气在密度和温度上都有跃变。当压缩层经过普通空气时,空气的密度,压强会有一个跃升跃降的过程,该过程有大量能量释放,发出巨声。这就是所谓的音爆了。
有趣的是,在激波形成过程中,由于其激波层内的压强骤增,会使空气中水蒸气凝结成小水滴,形成美丽的音爆云(如下图)。

喜欢军事或者全战电影的同学对此一定不陌生。其实音爆在日常生活中蛮常见的。我们在广场时不时碰到抽陀螺,总会听到"啪"的声响。这就是鞭子的尾端瞬间超音速发出的音爆声。7Q
高斯电磁炮原理及应用?
A
高斯电磁炮是一种巧妙的能量转移的装置。我们对高斯炮做一个简单分析,如图所示,

铁磁性小球 A 具有磁势能(以磁铁处势能为0),小球B的势能为。显然, 当 A 小球在磁铁引力下运动到磁铁处,势能完全转化成动能。在碰撞发生时,设发生完 全弹性碰撞,则动能全部传递给小球B,这时小球B具有能量,能量增加,获得加速效果。按这里的分析(理想情况),小球B与磁铁之间的距离越大则加速效果越好。可实际过程中,小球B与磁铁之间隔的小球越多,能量损耗也越大。考虑两种效应的竞争,一般最优结果也是中间只隔五到六个小球。

这是单级加速,如果考虑多极加速,效果更好。
至于具体应用,既然叫炮,想必在军工方面用的很多了。这种炮将电磁能转换成动能,简直干净清洁无污染,而且不是靠体积膨胀提供能量,对炮管的密闭性要求不大,制作难度较小。
8Q
为什么库伦定律中常数k与π有关?
By 物理学生
A
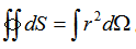
在真空中一个电量为q的电荷将产生一个电场,它不仅包含了电场的大小,也包含了电场的方向,即沿着径向向外。如果只考虑电场大小的话,公式变为便是我们所熟知的k,其中是真空介电常数,是库仑定律在度量电荷量时引入的常数。虽然和k的数值、单位都一样,但是具有更深刻的物理含义。我们所生活的空间有三个空间维度,即X,Y,Z,选定原点之后任意给定一组X,Y,Z则物体在空间的位置就确定了。而描述物体的空间位置还有另一种方法,选定原点之后我们只要知道物体距离原点的距离r以及这段路径和一个选定的极轴的夹角就可以确定物体的位置,夹角需要两个量,这便是球坐标系。在XYZ坐标系下,体积是,但在球坐标系下一个半径为R的球形区域,积分为

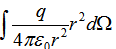
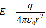
其中  是纯粹对角度的积分,通常我们把它简写成,其值为4π,是空间立体角(立体角对闭合曲面的积分)的大小。在二维空间里圆的角度是2π,三维空间里球的角度是4π。当我们把电场带入空间角的积分中,4π正好就消掉了。也就是说4π的含义是点电荷的电场在空间的任何方向都是均匀分布的,由于一共分布在4π的角度里,所以用它的“值”除一个4π便好了。我知道能看到这里的读者是不会介意再看几个公式的,所以我再给大家延伸一下。给大家介绍一下曲面积分的概念,对一个半径为r的球面有。dS也是有方向的,其方向沿着曲面法向向外,也就是说和电场方向相同。那么电场对一个球面的积分便可以简单的写成,计算结果为,毫无疑问这是一个常数。这便是电磁学最为重要的公式(定理)之一的高斯定理。它表明对于一个点电荷产生的电场,虽然距离它越远的地方场强越小,但是我们用一个闭合曲面去包围它,它所发出的电场线对面积的积分即电通量是定值,也就是说在电场分布中总有一个量是不变的,即。物理公式有很多都是近似的,但是要在三维空间里保证电通量不变,电场强度必须与成反比。

本期答题团队:
物理所 勿用、Fi、patwf、可爱的你、Aaron chen
写下您的问题,下周五同一时间哦~

↓识别下方二维码快速提问↓

上期也精彩
火焰为什么总是向上走?|No.80

编辑:Fi 、J.C.
近期热门文章Top10
↓ 点击标题即可查看 ↓
1. 听说香蕉和枣一起吃会看到人生的走马灯?实验揭秘最最最恶心的吃法配方
2. 看 10 米女子跳台能乐一天:或许这就是物理大佬吧
3. 看了这个就不会得罪女友了
4. 我知道原子很小很小,但是,它究竟小到什么程度呢?
5. 为什么飞机不会被闪电击落?| No.73
6. 一个病毒的自我修养:为了生存,我也是蛮拼的
7. 放慢看,自然有多神奇
8. 美国陆军发布20项重大科技趋势,将在未来30年改变世界!
9. “物理的尽头是数学,数学的尽头是哲学,哲学的尽头是神学”对吗?
10. 物理不是你成为单身狗的借口,量子力学大牛狄拉克帮你重拾信心……
点此查看以往全部热门文章

到顶部