继续操作前请注册或者登录。

火焰为什么总是向上走?|No.80



“你就像那冬天里的一把火
熊熊火光照亮了我”
费翔的一把火点燃了1987年的冬天
嗯~你想过这些为什么吗
为什么火焰一直往上走
如果失重了呢
它还会天天向上吗
===“毫无违和感”的分割线===
话说最近有个不得了的评选活动
全国首届“两微一端”百佳评选
↑点击进入↑
快让小编感受到你们的爱
p.s. 进入后上方菜单选中‘微信’然后字母列表点击‘Z’就能找到我们辣
1Q雨水可以直接饮用吗?雨水中在什么情况下会存在污染?
A
雨水是地表液态水经过蒸发、悬浮,然后在空中凝结,最后重新降落到地表所形成的。这看起来似乎和蒸馏水的形成过程非常相似。而且雨滴看起来也是晶莹剔透没有杂质的,这就很容易给人一种雨水可以直接饮用的印象。其实不然,雨水里含有很多杂质,最好不要直接饮用。雨水中的杂质主要是水汽在空中漂浮的过程中吸收的烟尘、扬尘和细菌等。如果读者还记得之前过冷水可以快速凝结的问答的话,那你一定知道结冰是需要凝结核的。同样,水蒸气凝结也需要凝结核,在空气中往往是漂浮的尘埃充当凝结核的作用,人工降雨就是通过在云层中播撒凝结核的办法形成降雨的。所以,即便是在空气很干净的地区,雨水中也难免含有一些杂质。所以不到万不得已,不要直接饮用雨水。
2Q
火焰为什么总是向上走?如果在失重的情况下火会怎样燃烧?
A
当可燃物被剧烈氧化就会放出大量的热,大量的热量加热了周围的空气就形成了火焰。可以看出,火焰的温度是非常高的。由于热空气(火焰)的密度比一般的空气小,所以火焰受到周围空气浮力的影响就会向上走。上浮的空气会留下一些空位,这些空位会被被其他的空气填充,这就为燃烧源源不断的输送了氧气,燃烧即可以持续进行下去。在失重情况下情况就不一样了:因为始终环境下没有重力,也就没有孰轻孰重的区别,所以火焰就会包裹在可燃物的周围形成圆形的形状,并不会体现出向上向下的区别。但是因为燃烧的废气不能及时的飘走,这就阻碍了新鲜空气的输入,所以在太空中的燃烧一直处于一种“缺氧”的状态,而太空中的燃烧就要比地面“温柔”很多。

3Q为什么水的沸点是100℃但是在常温下还是会有水蒸气的存在?
A
嗯,水在沸点时由液态变成气态叫做沸腾,而常温时由液态变为气态对过程叫做挥发。我们所说的沸点是100oC意思是在常压(一个大气压)下,水的相变点就是100oC,这个时候如果继续升温,水会由液相变成气相(这是很剧烈的汽化),有一个相变潜热,需要持续加热才会发生。当然这里说的是静态下的相变过程。水的相变相当复杂,如下图所示(不用看懂,用来提升逼格而已)。

而常温时的挥发又是怎么一回事儿呢?这个时候的水不像研究相变时候的水似的那样“静态“了,也并不是只在相变点才会出现另一个相。液态的水分子总是在不停运动,相互碰撞,这个时候总有几率使得几个“不安分子”能量变高,如果他们运气还比较不错,正好在液体表面,就会有机会最终脱离液体,变成气体。这些“不安分子”运动速度比较快,能量较高,他们在逃逸的过程中是吸热的。这就是挥发吸热了。夏天的时候有汗会比较凉爽也是因为这个。气体形态的水在空气中很稀疏,稀疏到很难凝聚成液态水,这就是为啥水的气体分子可以在常温下长久存在的原因了。
4Q
零度的水在零度的空气中能否结冰?
By  诚斋野客
A
这个问题可以用上面提到的水的相图来解释一下。水由液态变成固态是一级相变,在相变点是可以两相共存的。这个相变中存在着相变潜热,意思就是说,如果要在一个大气压下,使零度的水变成零度的冰,就需要水继续向外释放热量。理论上讲,如果没有一个“更冷”的物体与水接触,使水持续散热,那么水自己是很难变成冰的。甚至在一部分水已经变成冰时,这种冰水混合的状态都是可以持续很久的。
5Q
矢量叉乘的方向怎么判断?
A
矢量是一种既有大小又有方向的量,又称向量。叉乘是一种运算,由两个矢量得到第三个矢量。新得到的矢量方向怎么确定呢?这个问题不知道你百度过没有,网上有很多答案。但是,讲的都不是很明朗。有一个很好记的方法,我也一直在用。矢量x叉乘矢量y就是右手四指与x方向相同向y方向弯曲,大拇指的方向就是叉乘结果的方向。如下图所示:

6Q从微观角度出发,温度越高,分子热运动越剧烈,自由电荷就会越多,导体电阻率就减小。但为什么钨丝电阻随温度升高而增大?
A
不考虑电子关联的情况下,自由电子在晶格中运动时会受到杂质和原子晶格热振动的散射,散射作用越强,电阻越大。根据能带理论将材料分为金属、半导体、绝缘体,现分别讨论温度升高时三类材料的电阻变化。对于金属,具有半充满能带,没有能隙,绝对零度时可以导电,电阻完全由杂质决定;温度升高,电子运动的确会加剧,但对于自由电子数目影响较小,同时晶格振动加剧,散射加强,电阻变大,即电阻随温度升高而增大。半导体具有较小的能隙,对于本征半导体,本征激发起决定性因素,温度升高时,电子易被激发成自由电子,载流子增多,电阻下降。对于杂质半导体,在温度很低时,忽略本征激发,温度升高,杂质电离的载流子越来越多,电阻下降;进入室温区,杂质已经全部电离,而本征激发还不重要,温度升高,晶格振动散射加剧,电阻升高。高温区,本征激发起主要作用,温度升高,本征激发明显,电阻下降。绝大多数绝缘体通常具有非常大的带隙宽度,价带电子很难被激发至导带,电阻极大且与温度无明显依赖关系。以上为定性分析,定量分析详见固体物理教材。
7Q通常固体传声比液体和空气快,那么传声速度是否和物质密度有关?
By  朱利安.阿桑奇
A
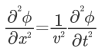
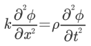
我们用一维弹性介质为例子,来进行简单分析,以说明声波在介质中的传播特性。对一维连续介质中的纵波震动(一般声波都是纵波)做简单的受力分析,可以得到波动方程

其中Φ是振幅,ρ是密度,k是回复力系数。标准的波动方程是:

其中我们就得到了速度的表达式:

这是普适的(虽然模型过于简化,不过可以说明一些问题),任何一维连续介质中的震动传播速度都是这个样子的。
针对这个问题,我们可以看到,速度与密度的关系,是反比的,也就是说对于相同的k,密度越低声音传播速度越快。这可以说明为啥热空气中的声速要比冷空气中的声速快。
那么为啥固体密度比气体的要大,怎么声速反而快呢?这是因为固体中的k值要大得多,实际中我么也有这样的感受,就是固体要比气体“硬”的多,这里的“硬”就是由于回复力系数大。8Q水面上的气泡靠近时为什么会相互“吸引”,聚集在一起?
A
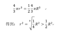
在这里建立一个简单的模型对这个问题进行解释,我们设想液面上有两个半球形气泡,半径为r,它们吸引后聚集在一起形成的气泡的半径为R,水的表面张力为a,则形成两个半球形小气泡需做功a*4Πr2,形成一个半球形气泡需做功a*2ΠR2,两个小气泡合成一个气泡时,气体体积不变,有:

形成两个小气泡做的功比形成一个大气泡所需的功多,系统自由能增加得多。一般而言,自由能越低,系统越稳定,从自由能角度考虑,在液面上更倾向于聚集在一起形成大的气泡。
真实情况下,液面上形成的气泡形状与液体的表面张力有关,并且气泡的大小存在一定的极限,需要考虑气体气压与外界气压和表面张力引起压强的平衡。

本期答题团队:
物理所 螳吉呵呵、勿用、三只猪、可爱的你
写下您的问题,下周五同一时间哦~

↓识别下方二维码快速提问↓

上期也精彩
镜子里面有什么我们不知道的?|No.79
编辑:三只猪、J.C.
近期热门文章Top10
↓ 点击标题即可查看 ↓
1. 听说香蕉和枣一起吃会看到人生的走马灯?实验揭秘最最最恶心的吃法配方
2. 看 10 米女子跳台能乐一天:或许这就是物理大佬吧
3. 看了这个就不会得罪女友了
4. 我知道原子很小很小,但是,它究竟小到什么程度呢?
5. 为什么飞机不会被闪电击落?| No.73
6. 一个病毒的自我修养:为了生存,我也是蛮拼的
7. 放慢看,自然有多神奇
8. 美国陆军发布20项重大科技趋势,将在未来30年改变世界!
9. “物理的尽头是数学,数学的尽头是哲学,哲学的尽头是神学”对吗?
10. 物理不是你成为单身狗的借口,量子力学大牛狄拉克帮你重拾信心……
点此查看以往全部热门文章

到顶部