【周五】经典高分文献阅读·收缩压和灌注状态对急性心力衰竭死亡率的协同影响


每周安排
Weekly Schedule
 周一Monday 
老年麻醉与围术期云查房 读书笔记 
周二Tuesday 
《麻醉纠纷案例思考》 读书笔记 
周三Wednesday
 国内麻醉最新指南更新 
周四Thursday
《第70届美国知识更新精粹》笔记 
周五Friday
经典高分文献阅读 
周六Saturday 
本周推荐观阅 
周日Sunday 
群内讨论热议 

翻译:苗   猫            校对:叮当丸子麻

收缩压和灌注状态对急性心力衰竭死亡率的协同影响
Synergistic Impact of Systolic Blood Pressure and Perfusion Status on Mortality in Acute Heart Failure






劳动创造 · 美好生活

BACKGROUND
Physical examination remains the cornerstone in the assessment of acute heart failure. There is a lack of adequately powered studies assessing the combined impact of both systolic blood pressure (SBP) and hypoperfusion on short-term mortality.
背景:体格检查仍然是评估急性心力衰竭的基础。目前还缺乏足够有力的研究来评估收缩压(SBP)和低灌注对急性心力衰竭短期死亡率的联合影响。

METHODS
Patients with acute heart failure from 41 Spanish emergency departments were recruited consecutively in 3 time periods between 2011 and 2016. Logistic regression models were used to assess the association of 30-day mortality with SBP (<90, 90–109, 110–129, and ≥130 mm Hg) and with manifestations of hypoperfusion (cold skin, cutaneous pallor,delayed capillary refill, livedo reticularis, and mental confusion) at admission.
方法:2011年至2016年中的3个时间段招募来自西班牙41个急诊科的急性心力衰竭患者。使用Logistic回归模型评估入院时收缩压(<90、90-109、110-129和≥130mmHg)和有灌注不足表现(皮肤湿冷、皮肤苍白、毛细血管再充盈时间延迟、网状青斑和精神错乱)与30天死亡率的相关性。
注:网状青斑是一种非常少见的皮肤血管性疾病,其主要症状表现在患者的皮肤表层通过肉眼可看到紫色或者蓝紫色的青斑。

RESULTS
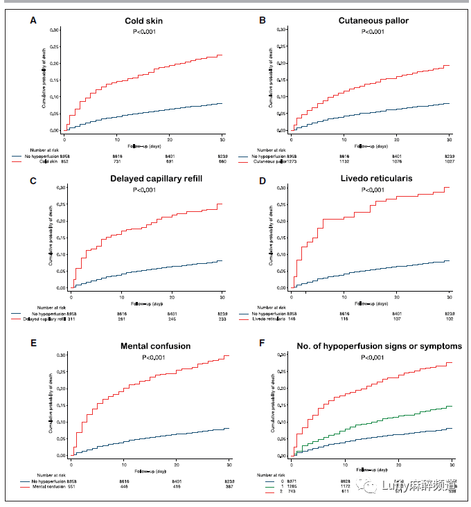
Among 10979 patients, 1143 died within the first 30 days (10.2%). There was an inverse association between 30-day mortality and initial SBP (35.4%, 18.9%, 12.4%, and 7 .5% for SBP<90, SBP 90–109, SBP 110–129, and SBP≥130mmHg, respectively; P<0.001) and a positive association with hypoperfusion (8.0%, 14.8%, and 27 .6% for those with none, 1, ≥2 signs/symptoms of hypoperfusion, respectively; P<0.001). After adjustment for 11 risk factors, the prognostic impact of hypoperfusion on 30-day mortality varied across SBP categories: SBP≥130 mm Hg (odds ratio [OR]=1.03 [95% CI, 0.77–1.36] and OR=1.18 [95% CI, 0.86–1.62] for 1 and ≥2 compared with 0 manifestations of hypoperfusion),SBP 110 to 129 mm Hg (OR=1.23 [95% CI, 0.86–1.77] and OR=2.18 [95% CI, 1.44–3.31], respectively), SBP 90 to 109mmHg (OR=1.29 [95% CI, 0.79–2.10] and OR=2.24 [95% CI, 1.36–3.66], respectively), and SBP<90 mm Hg (OR=1.34 [95% CI, 0.45–4.01] and OR=3.22 [95% CI, 1.30–7 .97], respectively); P-for-interaction =0.043.
结果:10979例患者中,1143例在30天内死亡(10.2%)。收缩压<90mmHg,收缩压90-109mmHg,收缩压110-129mmHg,收缩压≥130mmHg时,30天死亡率与初始收缩压呈负相关(分别为35.4%,18.9%,12.4%和7.5%);P<0.001)和与低灌注呈正相关(无、1、2个低灌注体征/症状者分别为8.0%、14.8%和27.6%;P < 0.001)。在调整了11个危险因素后,低灌注对30天死亡率的影响因收缩压类别而异:SBP≥130 mm Hg(有1和≥2个低灌注表现的患者与无低灌注表现的患者相比,优势比 [OR]=1.03 [95% CI, 0.77–1.36] and OR=1.18 [95% CI, 0.86–1.62] for 1 and ≥2 ), SBP 110-129毫米汞柱(OR=1.23 [95% CI, 0.86–1.77] and OR=2.18 [95% CI, 1.44–3.31], respectively),SBP 90 - 109毫米汞柱(OR=1.29 [95% CI, 0.79–2.10] and OR=2.24 [95% CI, 1.36–3.66], respectively),收缩压<90 mm Hg (OR=1.34 [95% CI, 0.45–4.01] and OR=3.22 [95% CI, 1.30–7 .97], respectively);交互作用的P值=0.043。

CONCLUSIONS
Hypoperfusion confers an incremental risk of 30-day all-cause mortality not only in patients with low SBP but also in normotensive patients. On admission, physical examination plays a major role in determining prognosis in patients with acute heart failure.
结论:低灌注不仅在低收缩压患者中增加了30天全因死亡的风险,在血压正常的患者中也是如此。入院时,体格检查对急性心力衰竭患者的预后起着重要作用。
注:全因死亡率是指一定时间内各种原因导致的总死亡人数与该人群同期平均人口数之比。
致敬奋战一线劳动者
AHF acute heart failure                  急性心力衰竭
ED  emergency department              急诊科
MEESSI-AHF  Multiple Estimation of risk based on the Spanish Emergency department Score In patients with AHF   西班牙急诊评分的AHF患者风险的多重估计
NT-proBNP     N-terminal pro-B-type natriuretic peptide     B型利尿钠肽   
OR   比值比
SBP systolic blood pressure   收缩压


 
 
 
表1.研究人群的临床特征(10 979名患者)
 

 
 
表2.收缩压分类的患病率、低灌注的临床体征及其与30天死亡率的未调整相关性

 
↑累积死亡概率
 
↑30天死亡率与初始收缩压(SBP)之间的关系

 
↑灌注不足临床表现的累积30天死亡率曲线。30天死亡率之间的关联表现为皮肤冷(A),皮肤苍白(B),毛细血管再充盈延迟(C),网状细胞(D),精神错乱(E)和低灌注表现(F)。
 
 

 
↑图3初始收缩压(SBP)与低灌注临床表现数量之间的关系。
 

↑图4:按收缩压分类对11个已知危险因素进行调整后存在低灌注临床表现的亚组分析
评估收缩压(<90、90 - 109、110-129和≥130 mm Hg)与低灌注(0、1和≥2种临床表现)之间的相互作用。根据急诊西班牙语急性心力衰竭患者评分(meesi - ahf)风险模型(急诊入院Barthel指数,年龄,年龄)对11个风险预测因子进行校正后,30 d死亡风险以优势比表示,其95% CI。纽约心脏协会IV类,钾水平,n -末端前b型利钠肽,肌钙蛋白水平,呼吸速率,氧饱和度,急性冠状动脉综合征,肌酐水平,心电图肥厚)。

 
↑图5:低灌注与收缩压(SBP)对30 d死亡率的协同效应
REFERENCES
1. Miró Ò, Peacock FW, McMurray JJ, Bueno H, Christ M, Maisel AS, Cullen L, Cowie MR, Di Somma S, Martín Sánchez F J, et al. European Society of Cardiology – Acute Cardiovascular Care Association position paper on safe discharge of acute heart failure patients from the emergency department. Eur Hear J Acute Cardiovasc Care. 2017;6:311–320.
2. Rossello X, Gil V, Escoda R, Jacob J, Aguirre A, Martín-Sánchez F J, Llorens P , Herrero Puente P , Rizzi M, et al. Editor’s Choice– Impact of identifying precipitating factors on 30-day mortality in acute heart failure patients. Eur Hear J Acute Cardiovasc Care. 2019;8:667–680.
3. Harinstein ME, Flaherty JD, Fonarow GC, Mehra MR, Lang RM, Kim RJ, Cleland JG, Knight BP , Pang PS, Bonow RO, et al. Clinical assessment of acute heart failure syndromes: emergency department through the early post-discharge period. Heart. 2011;97:1607–1618. doi: 10.1136/hrt.2011.222331
4. Ponikowski P , Voors AA, Anker SD, Bueno H, Cleland JGF , Coats AJS, Falk V, González-Juanatey JR, Harjola VP , Jankowska EA, et al; ESC Scientific Document Group. 2016 ESC Guidelines for the diagnosis and treatment of acute and chronic heart failure: the task force for the diagnosis and treatment of acute and chronic heart failure of the European Society of Cardiology (ESC)Developed with the special contribution of the Heart Failure Association (HFA) of the ESC. Eur Heart J. 2016;37:2129–2200. doi: 10.1093/eurheartj/ehw128
5. Chioncel O, Mebazaa A, Maggioni AP , Harjola VP , Rosano G, Laroche C, Piepoli MF , Crespo-Leiro MG, Lainscak M, Ponikowski P , et al; ESC-EORPHFA Heart Failure Long-T erm Registry Investigators. Acute heart failure congestion and perfusion status - impact of the clinical classification on in-hospital and long-term outcomes; insights from the ESC-EORP-HFA Heart Failure Long-T erm Registry. Eur J Heart Fail. 2019;21:1338–1352. doi: 10.1002/ejhf.1492
6. Javaloyes P , Miró Ò, Gil V, Martín-Sánchez F J, Jacob J, Herrero P , T akagi K, Alquézar-Arbé A, López Díez MP , Martín E, et al; ICA-SEMES Research Group. Clinical phenotypes of acute heart failure based on signs and symptoms of perfusion and congestion at emergency department presentation and their relationship with patient management and outcomes. Eur J Heart Fail. 2019;21:1353–1365. doi: 10.1002/ejhf.1502
7 . Nohria A, T sang SW, Fang JC, Lewis EF , Jarcho JA, Mudge GH, Stevenson L W. Clinical assessment identifies hemodynamic profiles that predict outcomes in patients admitted with heart failure. J Am Coll Cardiol. 2003;41:1797–1804. doi: 10.1016/s0735-1097(03)00309-7
8.Ambrosy AP , Pang PS, Khan S, Konstam MA, Fonarow GC, T raver B, Maggioni AP , Cook T, Swedberg K, Burnett JC Jr, et al; EVEREST T rial Investigators. Clinical course and predictive value of congestion during hospitalization in patients admitted for worsening signs and symptoms of heart failure with reduced ejection fraction: findings from the EVEREST trial. Eur Heart J. 2013;34:835–843. doi: 10.1093/eurheartj/ehs444
 9. Drazner MH, Rame JE, Stevenson L W, Dries DL. Prognostic importance of elevated jugular venous pressure and a third heart sound in patients with heart failure. N Engl J Med. 2001;345:57 4–581. doi:
10.1056/NEJMoa010641 10. Chioncel O, Mebazaa A, Harjola VP , Coats AJ, Piepoli MF , Crespo-Leiro MG, Laroche C, Seferovic PM, Anker SD, Ferrari R, et al; ESC Heart Failure LongT erm Registry Investigators. Clinical phenotypes and outcome of patients hospitalized for acute heart failure: the ESC Heart Failure Long-T erm Registry. Eur J Heart Fail. 2017;19:1242–1254. doi: 10.1002/ejhf.890
11. Gheorghiade M, Vaduganathan M, Ambrosy A, Böhm M, Campia U, Cleland JG, Fedele F , Fonarow GC, Maggioni AP , Mebazaa A, et al. Current management and future directions for the treatment of patients hospitalized for heart failure with low blood pressure. Heart Fail Rev. 2013;18:107–122. doi: 10.1007 /s107 41-012-9315-1
12. Gheorghiade M, Abraham WT, Albert NM, Greenberg BH, O’Connor CM, She L, Stough WG, Y ancy CW, Y oung JB, Fonarow GC; OPTIMIZEHF Investigators and Coordinators. Systolic blood pressure at admission, clinical characteristics, and outcomes in patients hospitalized with acute heart failure. JAMA. 2006;296:2217–2226. doi: 10.1001/jama. 296.18.2217
13. Shah MR, Hasselblad V, Stinnett SS, Gheorghiade M, Swedberg K, Califf RM, O’Connor CM. Hemodynamic profiles of advanced heart failure: association with clinical characteristics and long-term outcomes. J Card Fail. 2001;7:105–113. doi: 10.1054/jcaf.2001.24131
14. Harjola VP , Mullens W, Banaszewski M, Bauersachs J, Brunner-La Rocca HP , Chioncel O, Collins SP , Doehner W, Filippatos GS, Flammer AJ, et al. Organ dysfunction, injury and failure in acute heart failure: from pathophysiology to diagnosis and management. A review on behalf of the Acute Heart Failure Committee of the Heart Failure Association (HFA) of the European Society of Cardiology (ESC). Eur J Heart Fail. 2017;19:821–836. doi: 10.1002/ejhf.872
15. Miró Ò, Rossello X, Gil V, Martín-Sánchez F J, Llorens P , Herrero-Puente P , Jacob J, Bueno H, Pocock SJ; ICA-SEMES Research Group. Predicting 30-day mortality for patients with acute heart failure in the emergency department: a cohort study. Ann Intern Med. 2017;167:698–705. doi: 10.7326/M16-2726
16. Rossello X, Miró Ò, Llorens P , Jacob J, Herrero-Puente P , Gil V, Rizzi MA, Pérez-Durá MJ, Espiga FR, Romero R, et al; ICA-SEMES Research Group. Effect of barthel index on the risk of thirty-day mortality in patients with acute heart failure attending the emergency department: a cohort study of nine thousand ninety-eight patients from the epidemiology of acute heart failure in emergency departments registry. Ann Emerg Med. 2019;73:589– 598. doi: 10.1016/j.annemergmed.2018.12.009
17 . Miró Ò, Gil V, Rosselló X, Martín-Sánchez F J, Llorens P , Jacob J, Herrero P , Herrera Mateo S, Richard F , Escoda R, et al. Patients with acute heart failure discharged from the emergency department and classified as low risk by the MEESSI score (multiple risk estimate based on the Spanish emergency department scale): prevalence of adverse events and predictability. Emergencias. 2019;31:5–14.
18. Ho KK, Anderson KM, Kannel WB, Grossman W, Levy D. Survival after the onset of congestive heart failure in Framingham Heart Study subjects. Circulation. 1993;88:107–115. doi: 10.1161/01.cir.88.1.107
19. Miró Ò, Rosselló X, Gil V, Martín-Sánchez F J, Llorens P , Herrero P , Jacob J, López-Grima ML, Gil C, Lucas Imbernón F J, et al. The usefulness of the MEESSI score for risk stratification of patients with acute heart failure at the emergency department. Rev Esp Cardiol (Engl Ed). 2019;72:198–207 . doi: 10.1016/j.rec.2018.05.002
20. Wussler D, Kozhuharov N, Sabti Z, Walter J, Strebel I, Scholl L, Miró O, Rossello X, Martín-Sánchez F J, Pocock SJ, et al. External validation of the MEESSI acute heart failure risk score: a cohort study. Ann Intern Med. 2019;170:248–256. doi: 10.7326/M18-1967
21. Lee DS, Stitt A, Austin PC, Stukel T A, Schull MJ, Chong A, Newton GE, Lee JS, T u JV. Prediction of heart failure mortality in emergent care: a cohort study. Ann Intern Med. 2012;156:767–775, W. doi: 10.7326/0003- 4819-156-11-201206050-00003
22. Lucas C, Johnson W, Hamilton MA, Fonarow GC, Woo MA, Flavell CM, Creaser JA, Stevenson L W. Freedom from congestion predicts good survival despite previous class IV symptoms of heart failure. Am Heart J. 2000;140: 840–847 . doi: 10.1067 /mhj.2000.110933
23. Menon V, Slater JN, White HD, Sleeper LA, Cocke T, Hochman JS. Acute myocardial infarction complicated by systemic hypoperfusion without hypotension: report of the SHOCK trial registry. Am J Med. 2000;108:37 4–380. doi: 10.1016/s0002-9343(00)00310-7
24. Chioncel O, Collins SP , Ambrosy AP , Pang PS, Radu RI, Antohi EL, Masip J, Butler J, Iliescu VA. Therapeutic advances in the management of cardiogenic shock. Am J Ther. 2019;26:e234–e247 . doi: 10.1097 /MJT. 0000000000000920
25. Kozhuharov N, Goudev A, Flores D, Maeder MT, Walter J, Shrestha S, Gualandro DM, de Oliveira Junior MT, Sabti Z, Müller B, et al. Effect of a Strategy of Comprehensive Vasodilation vs Usual Care on Mortality and Heart Failure Rehospitalization Among Patients With Acute Heart Failure: The GALACTIC Randomized Clinical T rial. JAMA. 2019;322:2292–2230. doi: 10.1001/ jama.2019.18598
26. Felker GM, Pang PS, Adams KF , Cleland JGF , Cotter G, Dickstein K, Filippatos GS, Fonarow GC, Greenberg BH, Hernandez AF , et al. Clinical trials of pharmacological therapies in acute heart failure syndromes. Circ Heart Fail. 2010;3:314–325.
 27 . Lee DS, Austin PC, Rouleau JL, Liu PP , Naimark D, T u JV. Predicting mortality among patients hospitalized for heart failure: derivation and validation of a clinical model. JAMA. 2003;290:2581–2587 . doi: 10.1001/jama.290.19
 
获取原文 请公众号后台回复“AHF”

●【周五】经典高分文献阅读·睡眠时间可以预测充血性心力衰竭
【周五】经典高分文献阅读·2019困难气道指南(1)
【周五】经典高分文献阅读·2019困难气道指南(2)
【周五】经典高分文献阅读·2019困难气道指南(3)
【周四】经典高分文献阅读·NEJM 征服动脉粥样硬化性心血管疾病- 50年的进展(1)
【周五】经典高分文献阅读·NEJM 征服动脉粥样硬化性心血管疾病- 50年的进展(2)
【周五】经典高分文献阅读· 阿片类药物相关的院外心脏骤停:独特的临床特征和对医疗和公众的影响
【周五】经典高分文献阅读·哪些干预措施可以减少老年人术后谵妄?综合多学科和药物干预数据
2020年向死而生
【周五】经典高分文献阅读·利多卡因喷雾剂行蝶腭神经节阻滞治疗产科硬膜外穿刺后头痛
【周五】经典高分文献阅读·局部鼻内应用利多卡因不是蝶腭神经节阻滞


三连一下,欢度五一劳动节~
到顶部