贾浩楠 发自 副驾寺智能车参考 | 公众号 AI4Auto
三大计算机视觉顶会之一的CVPR 2023,中国智能车公司论文曝光。
国内自动驾驶公司毫末智行旗下人工智能中心技术团队提交的《BEV-LaneDet: a Simple and Effective 3D Lane Detection Baseline(一种简单有效的3D车道线检测方法)》论文成功入选CVPR2023。
![]()
毫末新研究要解决什么问题?
3D车道检测作为自动驾驶领域的热门话题,在车辆路径选择中起着至关重要的作用。在以往,相关技术往往由于其复杂的空间转换和3D车道的不灵活表示而难以实用。
面对这些问题,毫末完全自主研发了一种高效、鲁棒的单目3D车道检测,简称:BEV-LaneDet。
![]()
毫末团队在BEV-LaneDet中,首先通过虚拟相机将输入图像的所有内外参数转换为统一的内外参数,确保了不同车辆中前置摄像头空间关系的一致性,有效促进学习过程。
并且,毫末团队使用特征提取器来提取前视图图像的特征,并提出了一种简单但有效的三维车道表示,被称为“Key-Points Representation”,该模块更适合于表示复杂多样的3D车道结构。
在此基础上,受FPN启发,毫末团队还设计了一个轻量级和芯片友好的空间变换模块,称为“Spatial Transformation Pyramid”,这是一个基于VPN的快速多尺度空间变换模块,主要负责从前视图特征到BEV特征的转换。
最后,毫末团队预测了与局部路面相切的平面上的车道,并将局部路面分成s1×s2个grid,预测了置信度confidence、用于聚类的embedding、横向误offset以及每个grid的高度height,在推理中使用快速聚类方法来融合每个分支的结果,以获得3D车道。
BEV-LaneDet表现如何?
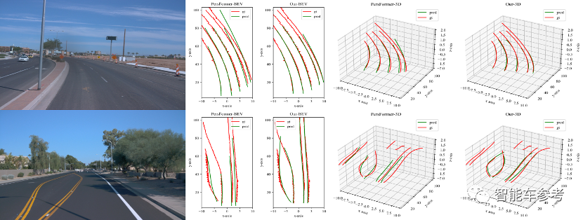
通过以上这些方法,在公开集合OpenLane数据集上,BEV-LaneDet的F1-Sßcore可以达到185FPS,比目前的SOTA提升了10.6%。
![]()
在公开集合Apollo 3D Lane Synthetic上的表现,BEV-LaneDet同样可以做到大幅度领先目前的SOTA方法4.0%。
![]()
毫末智行目前是国内自动驾驶量产第一梯队玩家,其技术团队BEV-LaneDet撰写的论文入选CVPR,其实也是商业进展背后的技术实力体现。
目前,HPilot已迭代三代产品,在魏牌、坦克、哈弗、欧拉、长城炮等多个品牌近20款车型上实现了规模化量产,未来搭载毫末辅助驾驶产品的乘用车将达到百万量级。截至2023年2月,毫末用户辅助驾驶行驶里程突破3500万公里。中国第一个可大规模落地的城市导航辅助驾驶毫末城市NOH目前也已软件封版达到交付状态。
![]()
此外,毫末末端物流自动配送车已初步完成商业闭环,交付超1000台,末端物流自动配送车小魔驼系列配送订单量也已突破16万单,商业化进程正全面提速。
CVPR简介
IEEE(电气与电子工程师协会)CVPR(Conference on Computer Vision and Pattern Recognition),简称:CVPR)是计算机视觉与模式识别领域的三大顶级会议之一。
会议的主要内容是计算机视觉与模式识别技术。CVPR是世界顶级的计算机视觉会议(三大顶会之一,另外两个是ICCV和ECCV),近年来每年有约1500名参加者,收录的论文数量一般300篇左右。
CVPR有着较为严苛的录用标准,CVPR官方透露,CVPR2023一共收到了9155份论文,创下历史新高,而组委会最终录用了2360篇论文,接收率为25.78%。
CVPR也是AI视觉领域重大变革的见证之所,当前这波由深度学习驱动的AI浪潮,最开始正是源自Hinton师徒在CVPR挑战赛上的一鸣惊人。
论文地址:https://arxiv.org/pdf/2210.06006.pdf
— 联系作者 —
![]()
— 完 —
【智能车参考】原创内容,未经账号授权,禁止随意转载。
点这里👇关注我,记得标星,么么哒~
三大计算机视觉顶会之一的CVPR 2023,中国智能车公司论文曝光。
国内自动驾驶公司毫末智行旗下人工智能中心技术团队提交的《BEV-LaneDet: a Simple and Effective 3D Lane Detection Baseline(一种简单有效的3D车道线检测方法)》论文成功入选CVPR2023。
毫末新研究要解决什么问题?
3D车道检测作为自动驾驶领域的热门话题,在车辆路径选择中起着至关重要的作用。在以往,相关技术往往由于其复杂的空间转换和3D车道的不灵活表示而难以实用。
面对这些问题,毫末完全自主研发了一种高效、鲁棒的单目3D车道检测,简称:BEV-LaneDet。
毫末团队在BEV-LaneDet中,首先通过虚拟相机将输入图像的所有内外参数转换为统一的内外参数,确保了不同车辆中前置摄像头空间关系的一致性,有效促进学习过程。
并且,毫末团队使用特征提取器来提取前视图图像的特征,并提出了一种简单但有效的三维车道表示,被称为“Key-Points Representation”,该模块更适合于表示复杂多样的3D车道结构。
在此基础上,受FPN启发,毫末团队还设计了一个轻量级和芯片友好的空间变换模块,称为“Spatial Transformation Pyramid”,这是一个基于VPN的快速多尺度空间变换模块,主要负责从前视图特征到BEV特征的转换。
最后,毫末团队预测了与局部路面相切的平面上的车道,并将局部路面分成s1×s2个grid,预测了置信度confidence、用于聚类的embedding、横向误offset以及每个grid的高度height,在推理中使用快速聚类方法来融合每个分支的结果,以获得3D车道。
BEV-LaneDet表现如何?
通过以上这些方法,在公开集合OpenLane数据集上,BEV-LaneDet的F1-Sßcore可以达到185FPS,比目前的SOTA提升了10.6%。
在公开集合Apollo 3D Lane Synthetic上的表现,BEV-LaneDet同样可以做到大幅度领先目前的SOTA方法4.0%。
毫末智行目前是国内自动驾驶量产第一梯队玩家,其技术团队BEV-LaneDet撰写的论文入选CVPR,其实也是商业进展背后的技术实力体现。
目前,HPilot已迭代三代产品,在魏牌、坦克、哈弗、欧拉、长城炮等多个品牌近20款车型上实现了规模化量产,未来搭载毫末辅助驾驶产品的乘用车将达到百万量级。截至2023年2月,毫末用户辅助驾驶行驶里程突破3500万公里。中国第一个可大规模落地的城市导航辅助驾驶毫末城市NOH目前也已软件封版达到交付状态。
此外,毫末末端物流自动配送车已初步完成商业闭环,交付超1000台,末端物流自动配送车小魔驼系列配送订单量也已突破16万单,商业化进程正全面提速。
CVPR简介
IEEE(电气与电子工程师协会)CVPR(Conference on Computer Vision and Pattern Recognition),简称:CVPR)是计算机视觉与模式识别领域的三大顶级会议之一。
会议的主要内容是计算机视觉与模式识别技术。CVPR是世界顶级的计算机视觉会议(三大顶会之一,另外两个是ICCV和ECCV),近年来每年有约1500名参加者,收录的论文数量一般300篇左右。
CVPR有着较为严苛的录用标准,CVPR官方透露,CVPR2023一共收到了9155份论文,创下历史新高,而组委会最终录用了2360篇论文,接收率为25.78%。
CVPR也是AI视觉领域重大变革的见证之所,当前这波由深度学习驱动的AI浪潮,最开始正是源自Hinton师徒在CVPR挑战赛上的一鸣惊人。
论文地址:https://arxiv.org/pdf/2210.06006.pdf
— 联系作者 —
— 完 —
【智能车参考】原创内容,未经账号授权,禁止随意转载。
点这里👇关注我,记得标星,么么哒~