JAMA子刊:喝酒有益健康的神话,彻底破灭了!超37万人的研究发现,任何程度的饮酒都与心血管疾病风险增加有关丨临床大发现



目前,心血管疾病(CVD)仍然是导致全球疾病性死亡的主要原因[1]。饮酒作为CVD的危险因素,它与CVD之间的关联依然存在争议。
过往观察性研究一再证明,与戒酒或大量饮酒相比,轻度至中度饮酒可降低CVD风险,两者之间存在J型或U型的流行病学关联。轻度饮酒有益心脏健康的理论被广泛报道[2-5]。
然而,近年来,有研究表明,过往观察到的酒精对心脏的益处已被假设为残余混杂因素的产物,因为适度饮酒的人群往往生活方式更健康,社会经济更富足,而这些残余混杂因素对于心脏健康有不容忽视的影响[6-7]。因此,酒精摄入量与心脏健康之间的关联与因果关系,需要更进一步的探索。
近日,来自麻省总医院的Krishna G. Aragam博士和研究团队在英国开展了一项大样本的孟德尔随机化研究。结果表明,基因预测的酒精消费每周增加10.6杯(相当于148.4克纯酒精),与高血压风险增加30%(P<0.001)和冠状动脉疾病风险增加40%相关(P=0.006)。并且,所有程度的酒精摄入量都与心血管疾病风险增加相关[8]。

论文首页截图
那么这个研究到底如何开展,让我们一起往下看!
首先,让我们先了解一下孟德尔随机化研究(MR),它已经成为探索某一暴露因素与疾病因果关系的广泛使用的工具。
MR遵循的原则为:基因变异在配子形成过程中跟随等位基因遵循随机分配的原则[9],并形成不同的基因型,而不同的基因型代表着后天不同的个体表型,这一遗传事件很少受到其他混杂因素的干扰。
简单的说,就是从基因层面,寻找到能代表酒精摄入量的基因变异,并以此作为基因工具,研究饮酒相关的基因变异与心血管疾病之间的关联和因果关系。这种关联能很好的代表酒精摄入量这一暴露因素与心血管疾病之间的因果关系。
现在,让我们正式了解这项研究!

研究的纳入人群为来自英国生物库的371463名参与者,男性占比46%,33%的参与者患有高血压,7.5%的参与者患有CAD,平均年龄为57岁,平均每周酒精消费为9.2±10.6杯标准酒精摄入(一杯标准酒精摄入量化为14克酒精)。
研究人员将酒精摄入量的不同程度定义为:戒酒者(包括从不饮酒者)(0杯/周)、轻度(>0-8.4杯/周)、中度(>8.4-15.4杯/周)、重度(>15.4-24.5杯/周)和滥用(>24.5杯/周)。
研究终点事件为6种CVD表型:高血压、冠状动脉疾病(CAD)、心肌梗死(MI)、中风、心力衰竭和心房颤动。
接下来,研究人员评估了在每个不同程度饮酒组中,生活方式等因素是否存在潜在差异,并以此评估轻度至中度饮酒是否与更健康的整体生活方式相关。
结果表明,与戒酒组相比,轻度和中度饮酒组的个体具有更健康的生活方式,自我报告的整体健康状况更好,并且表现出更低的吸烟率、更低的BMI、更高的体力活动和更高的蔬菜摄入量。
初步分析发现,饮酒程度与高血压、CAD、MI、中风、心力衰竭和心房颤动的发病风险确实呈现出J型或U型关联。乍一看,这一结果与之前观察性研究的结果一致,表明适度饮酒对心血管有保护性作用。
然而,在对吸烟、BMI、红肉摄入量、蔬菜摄入量、体育活动和自我报告的健康状况这6个生活方式因素进行调整后,这种保护性作用就消失了。

饮酒与心血管疾病之间的流行病学关系(基线Cox比例风险模型用蓝色表示,生活方式调整模型用橙色表示)
接下来,为了进一步探索酒精摄入量和心血管相关疾病之间的因果关系,研究人员在来自英国生物库的队列中进行了线性孟德尔随机化分析。
结果表明,遗传预测的酒精消费每周增加10.6杯(相当于148.4克纯酒精),与高血压风险增加30%(95%CI:1.2-1.4,P<0.001)和CAD风险增加40%相关(95%CI:1.1-1.8,P=0.006)。

两样本线性孟德尔随机化分析评估酒精摄入量与6种心血管疾病表型之间的关联
同时,按照酒精摄入量的程度不同将基因工具进行等位基因评分,并以此评估不同水平的习惯性饮酒与心血管疾病的风险。
结果表明,轻度饮酒者中,等位基因评分代表的每天增加1杯标准酒精摄入(量化为14克酒精,约为1杯加度葡萄酒),与高血压风险增加30%(P=0.003)和CAD风险增加70%相关(P<0.001)。
对于中度饮酒者而言,每天增加1杯标准酒精摄入与高血压风险增加70%倍(P<0.001)和CAD风险增加80%相关(P=0.02)。
为了更好地评估不同酒精摄入程度的风险概况,研究人员进行了非线性孟德尔随机化分析(NLMR)。结果发现,所有程度的饮酒量都与心血管疾病风险增加有关,在轻度和中度饮酒组中,随着饮酒量的增加,疾病风险呈指数级增长且幅度不等。

饮酒与心血管疾病表型的遗传关联(非线性孟德尔随机化分析)
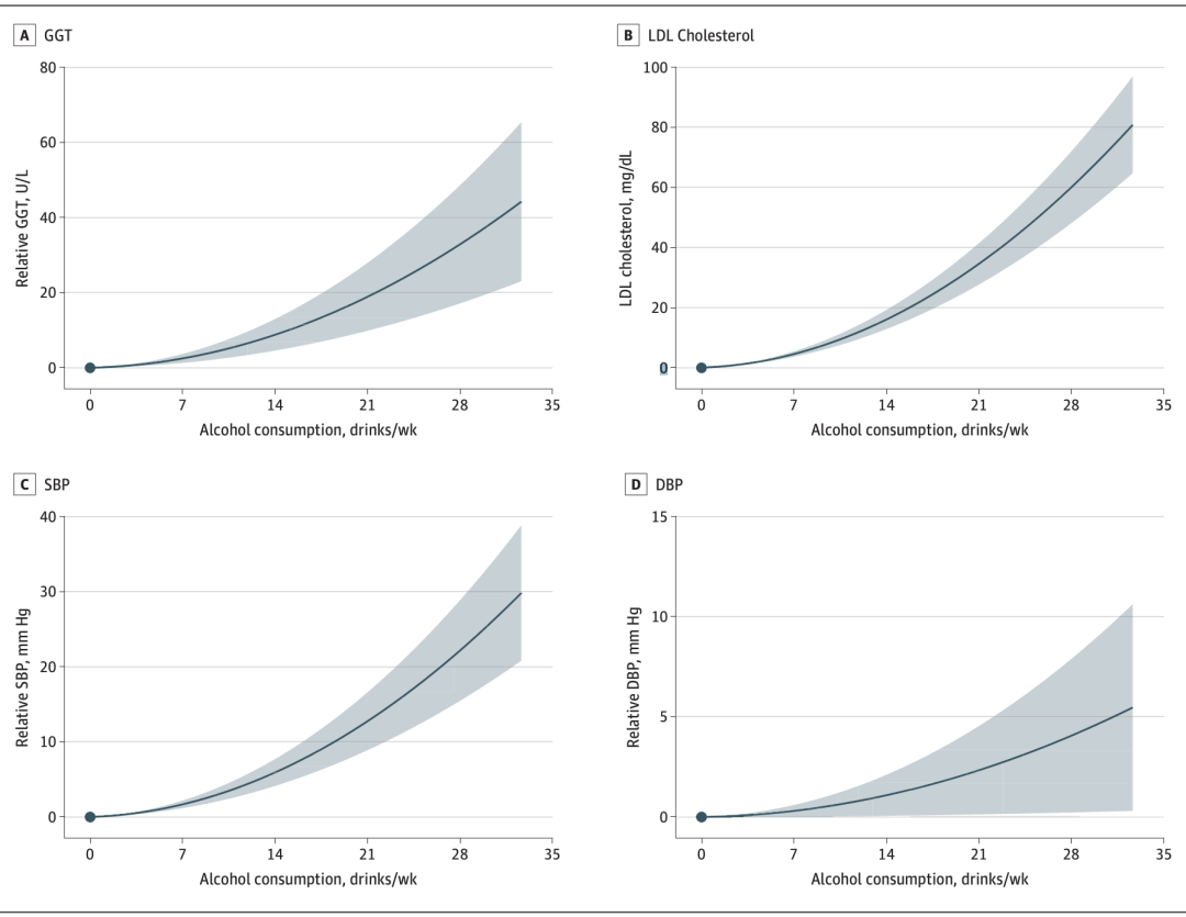
同时,NLMR还表明遗传预测的酒精摄入量与收缩压(SBP),舒张压(DBP)、低密度脂蛋白(LDL)胆固醇水平等心血管疾病危险因素之间存在正相关的非线性关联(P<0.05),表明酒精摄入也能影响这些心血管疾病的危险因素。

饮酒与心血管危险因素的遗传关联(非线性孟德尔随机化分析)
总的来说,在这项研究中,研究人员通过孟德尔随机化分析发现,习惯性饮酒与心血管疾病之间存在因果关系,并且随着酒精摄入水平的升高,疾病风险幅度呈指数级增长,即使是轻度饮酒也与最低的心血管疾病风险相关。
这些证据表明,所有程度的酒精摄入都不能预防心血管疾病。而这一发现,或许将打破过往观察性研究发现的轻度饮酒有益心脏健康的理论。此研究表明,轻度至中度饮酒的心脏保护作用在很大程度上可能是由混杂的生活方式因素介导的。同时这项研究的结果也为重度饮酒人群应减少酒精摄入这一建议提供了科学依据。
同时,此研究也存在一些局限性,例如,主要遗传工具是与酒精使用障碍(AUD)诊断相关的SNV,这是对酒精使用的间接测量,不是与酒精消费直接相关的SNV,而习惯性饮酒和AUD的遗传结构可能会存在一些差异。这可能会导致在进行孟德尔随机化分析时,出现假性的因果关系。
未来,选择更为严谨的基因工具,以及在其他饮酒相关的大型基因数据集中评估饮酒和心血管疾病之间的关联是至关重要的。

参考文献
[1] Benjamin EJ, Muntner P, Alonso A, et al. Heart Disease and Stroke Statistics-2019 Update: A Report From the American Heart Association [published correction appears in Circulation. 2020 Jan 14;141(2):e33]. Circulation. 2019;139(10):e56-e528. doi:10.1161/CIR.0000000000000659
[2] O'Keefe JH, Bybee KA, Lavie CJ. Alcohol and cardiovascular health: the razor-sharp double-edged sword. J Am Coll Cardiol. 2007;50(11):1009-1014. doi:10.1016/j.jacc.2007.04.089
[3] Pearson TA. Alcohol and heart disease. Circulation. 1996;94(11):3023-3025. doi:10.1161/01.cir.94.11.3023
[4] Thompson PL. J-curve revisited: cardiovascular benefits of moderate alcohol use cannot be dismissed. Med J Aust. 2013;198(8):419-422. doi:10.5694/mja12.10922
[5] Bell S, Daskalopoulou M, Rapsomaniki E, et al. Association between clinically recorded alcohol consumption and initial presentation of 12 cardiovascular diseases: population based cohort study using linked health records. BMJ. 2017;356:j909. Published 2017 Mar 22. doi:10.1136/bmj.j909
[6] Naimi TS, Brown DW, Brewer RD, et al. Cardiovascular risk factors and confounders among nondrinking and moderate-drinking U.S. adults. Am J Prev Med. 2005;28(4):369-373. doi:10.1016/j.amepre.2005.01.011
[7] Hansel B, Thomas F, Pannier B, et al. Relationship between alcohol intake, health and social status and cardiovascular risk factors in the Urban Paris-Ile-de-France Cohort: is the cardioprotective action of alcohol a myth?. Eur J Clin Nutr. 2010;64(6):561-568. doi:10.1038/ejcn.2010.61
[8] Biddinger KJ, Emdin CA, Haas ME, et al. Association of Habitual Alcohol Intake With Risk of Cardiovascular Disease. JAMA Netw Open. 2022;5(3):e223849. Published 2022 Mar 1. doi:10.1001/jamanetworkopen.2022.3849
[9] Davies NM, Holmes MV, Davey Smith G. Reading Mendelian randomisation studies: a guide, glossary, and checklist for clinicians. BMJ. 2018;362:k601. Published 2018 Jul 12. doi:10.1136/bmj.k601


责任编辑丨BioTalker
到顶部