继续操作前请注册或者登录。

BMJ:哪些人可以用VD预防糖尿病?全球首个维生素D预防糖耐量受损人群患2型糖尿病的研究成果发布丨临床大发现


*仅供医学专业人士阅读参考


随着生活水平的提高,被称为“富贵病”的糖尿病发病率逐年升高,是各种心脑血管疾病的主要危险因素。
据统计,2015年全球约有4.25亿成年人患糖尿病(约90%为2型糖尿病),到2040年这一数字预计将增加到6.29亿[1]。事实上,糖耐量受损人群(血糖水平介于正常和糖尿病之间)的数目也十分庞大(约3.5亿),患心脑血管疾病的风险也很高[2]。
虽然生活方式的改变(饮食与运动)可延缓2型糖尿病的发展[3],但是总有管不住嘴、迈不开腿的时候。因此,对于糖耐量受损人群来说,研究人员一直在寻找能够降低其患2型糖尿病的概率,甚至逆转糖耐量受损达到正常血糖的有效方法。
近日,来自日本产业医科大学的Tetsuya Kawahara教授团队开展的一项大型随机对照、双盲临床试验表明,每天口服0.75 μg的eldecalcitol(一种活性维生素D)与安慰剂相比,不能显著降低糖耐量受损人群的患糖尿病风险(HR 0.87,P=0.39),但在基础胰岛素分泌不足的糖耐量受损人群中有一定的预防糖尿病发生的作用(HR 0.41,P=0.01)。
在经过混杂因素校正后,口服eldecalcitol将糖耐量受损人群患糖尿病的风险降低了31%(HR 0.69,P=0.020),相关研究结果发表于著名期刊《英国医学杂志》(BMJ)上。

论文首页截图
维生素D受体存在于各种类型的细胞中,包括胰腺β细胞[4]。据报道,活性维生素D参与胰岛素的合成和分泌[5],且较低的血清25-羟维生素D浓度与2型糖尿病发病率增加相关[6]。同时,多项临床研究和近期的一项Meta分析表明,补充维生素D可能有利于控制血糖[7-10],但也有一些研究并未得出这一结论[11-15]。
为了进一步评估补充维生素D是否能够降低糖耐量受损人群中2型糖尿病风险,Tetsuya Kawahara教授团队在日本开展了随机对照的多中心临床试验,纳入了年龄在30岁或以上的糖耐量受损人群(以1:1的比例被随机分配到eldecalcitol组(0.75 μg)与安慰剂组)。
研究的主要终点是两组人群糖尿病的发病率,次要终点为调整基线混杂因素后受试者血糖恢复正常的概率和2型糖尿病的发生率。此外,研究还将评估了受试者骨密度、骨代谢和糖代谢的相关指标。
从2013年6月1日到2015年8月31日,试验从日本的32个机构共招募到3875名受试者,经筛选后,最终研究有1256名参与者,其中eldecalcitol组630人,安慰剂组626人。621名参与者为单纯糖耐量受损,635名参与者为糖耐量受损伴空腹血糖受损。

研究流程图
在这1256名参与者中,平均年龄为61.3岁(30-78岁),女性占45.5%,59.1%的参与者有2型糖尿病家族史,中位随访时间为2.9年。
参与者基线时血清25-羟维生素D平均浓度为20.9 ng/mL(52.2 nmol/L),43.6%的受试者血清25-羟维生素D浓度<20 ng/mL(50 nmol/L)(日本维生素D浓度分类:≥30 ng/mL[75 nmol/L]为正常,20-<30 ng/mL[50-<75 nmol/L]为不足,<20 ng/mL[<50 nmol/L]为缺乏)。两组患者的基线特征没有明显差异。
在三年的随访期内,eldecalcitol组630名参与者中有79名(12.5%)患上糖尿病,安慰剂组626名参与者中有89名(14.2%)患上糖尿病,两组之间没有明显差异(HR 0.87,P=0.39)。

eldecalcitol组与安慰剂组参与者患糖尿病风险没有明显差异
同样,eldecalcitol组与安慰剂组参与者在血糖恢复正常的概率方面没有差异,eldecalcitol组的630名参与者中有145名(23.0%)血糖恢复正常,安慰剂组626名参与者中有126名(20.1%)血糖恢复正常(HR 1.15,P=0.21)。

eldecalcitol组与安慰剂组参与者血糖恢复正常的概率没有明显差异
在校正11个协变量(年龄、性别、高血压、体重指数、糖尿病家族史、糖化血红蛋白、空腹血糖、2小时血糖、25-羟维生素D、HOMA-IR[评估胰岛敏感性指标]和胰岛素生成指数)进行多因素分析后,研究人员发现eldecalcitol对预防2型糖尿病的发生是有效的(HR 0.69,P=0.02)。

校正协变量后,eldecalcitol对预防2型糖尿病的发生是有效的
在排除混杂协变量(糖化血红蛋白和2小时血糖)后,研究人员通过多因素分数多项式COX分析,逐一检验了9个协变量与eldecalcitol的相互作用。结果显示,HOMA-β(同样为评价胰岛敏感性指标)、HOMA-IR和空腹免疫反应性胰岛素与eldecalcitol存在交互作用。
以这三个协变量的33.3百分位数和66.6百分位数值将人群分成三组,并进行KM分析和多因素回归后发现,在HOMA-β(HR 0.35,P<0.001)、HOMA-IR(HR 0.37,P=0.001)和空腹免疫反应性胰岛素(HR 0.41,P=0.001)的最低分组中,eldecalcitol对2型糖尿病的发生有显著的预防作用。
这些结果表明,eldecalcitol对基础胰岛素分泌不足的糖耐量受损人群有一定的预防糖尿病发生的作用。
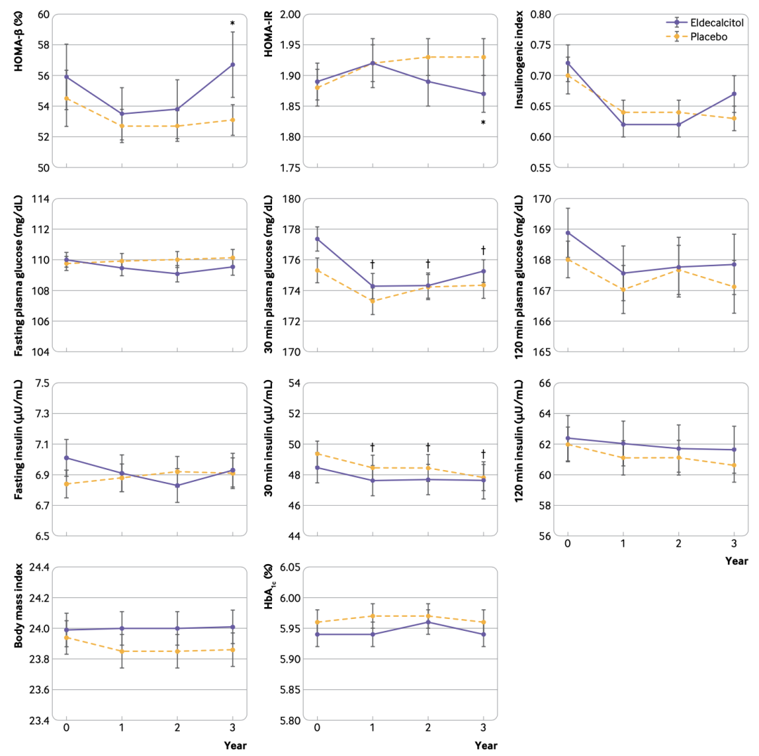
研究人员还检测了试验结束时受试者的糖代谢状态,结果显示两组化患者糖化血红蛋白和胰岛素生成指数没有显著差异,空腹和OGTT 120分钟后的血糖和免疫活性胰岛素浓度也没有差异。然而,在eldecalcitol组,OGTT 30分钟后的血糖浓度较基线显著改善,HOMA-IR显著低于安慰剂组,HOMA-β显著高于安慰剂组。这些结果表明eldecalcitol对糖耐量受损受试者的糖代谢具有一定的改善作用。

eldecalcitol对糖耐量受损受试者的糖代谢具有一定的改善作用
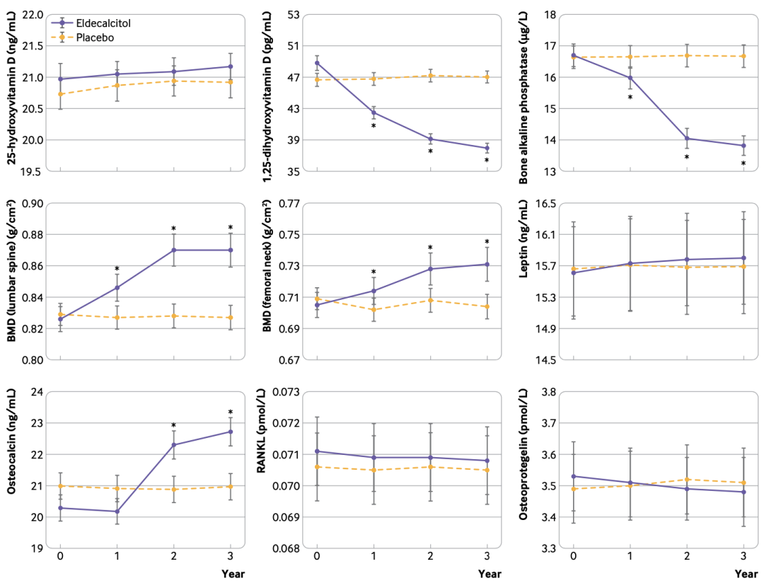
受试者的骨代谢状态检测显示,两组受试者血清25-羟维生素D浓度无明显差异,但eldecalcitol组受试者的血清1,25-二羟维生素D浓度和骨碱性磷酸酶浓度显著低于安慰剂。
此外,eldecalcitol组受试者的腰椎和股骨颈的骨密度、血清骨钙素浓度明显高于服用安慰剂的患者。这表明eldecalcitol组对受试者的骨代谢也有一定的益处。

eldecalcitol组对受试者的骨代谢也有一定的益处
在药物的副作用发面,eldecalcitol组和安慰剂组分别有26人(4.1%)和21人(3.4%)因不良事件而停止参与研究,不良反应发生的比率和类型在两组之间无显著差异。
总的来说,这是第一个评估维生素D治疗对糖耐量受损人群中2型糖尿病的预防效果的随机对照研究。虽然结果表明,每天口服0.75 μg的eldecalcitol没有显示出对糖耐量受损人群起到预防2型糖尿病的效果,也没显示出对恢复正常血糖存在益处,但在胰岛素分泌不足的糖耐量受损人群中显示出了潜在的益处。在校正了混杂因素后,多因素COX回归分析显示出eldecalcitol对糖尿病的预防作用,但这一结果仍需在不同的队列中进行验证。
由于该试验只研究了单一维生素D剂量下的预防作用,因此,后续还需更多的试验来探索不同剂量下维生素D对糖尿病的预防作用。


已购买课程的朋友,
直接进入小程序收听加餐哦~
参考文献
1.Ogurtsova K, da Rocha Fernandes JD, Huang Y, Linnenkamp U, Guariguata L, Cho NH, Cavan D, Shaw JE, Makaroff LE: IDF Diabetes Atlas: Global estimates for the prevalence of diabetes for 2015 and 2040. Diabetes Res Clin Pract 2017, 128:40-50.
2.Huang Y, Cai X, Mai W, Li M, Hu Y: Association between prediabetes and risk of cardiovascular disease and all cause mortality: systematic review and meta-analysis. BMJ 2016, 355:i5953.
3.Uusitupa M, Khan TA, Viguiliouk E, Kahleova H, Rivellese AA, Hermansen K, Pfeiffer A, Thanopoulou A, Salas-Salvado J, Schwab U et al: Prevention of Type 2 Diabetes by Lifestyle Changes: A Systematic Review and Meta-Analysis. Nutrients 2019, 11(11).
4.Bland R, Markovic D, Hills CE, Hughes SV, Chan SL, Squires PE, Hewison M: Expression of 25-hydroxyvitamin D3-1alpha-hydroxylase in pancreatic islets. J Steroid Biochem Mol Biol 2004, 89-90(1-5):121-125.
5.Zeitz U, Weber K, Soegiarto DW, Wolf E, Balling R, Erben RG: Impaired insulin secretory capacity in mice lacking a functional vitamin D receptor. FASEB J 2003, 17(3):509-511.
6.Song Y, Wang L, Pittas AG, Del Gobbo LC, Zhang C, Manson JE, Hu FB: Blood 25-hydroxy vitamin D levels and incident type 2 diabetes: a meta-analysis of prospective studies. Diabetes Care 2013, 36(5):1422-1428.
7.von Hurst PR, Stonehouse W, Coad J: Vitamin D supplementation reduces insulin resistance in South Asian women living in New Zealand who are insulin resistant and vitamin D deficient - a randomised, placebo-controlled trial. Br J Nutr 2010, 103(4):549-555.
8.Dutta D, Mondal SA, Choudhuri S, Maisnam I, Hasanoor Reza AH, Bhattacharya B, Chowdhury S, Mukhopadhyay S: Vitamin-D supplementation in prediabetes reduced progression to type 2 diabetes and was associated with decreased insulin resistance and systemic inflammation: an open label randomized prospective study from Eastern India. Diabetes Res Clin Pract 2014, 103(3):e18-23.
9.Mitri J, Dawson-Hughes B, Hu FB, Pittas AG: Effects of vitamin D and calcium supplementation on pancreatic beta cell function, insulin sensitivity, and glycemia in adults at high risk of diabetes: the Calcium and Vitamin D for Diabetes Mellitus (CaDDM) randomized controlled trial. Am J Clin Nutr 2011, 94(2):486-494.
10.Zhang Y, Tan H, Tang J, Li J, Chong W, Hai Y, Feng Y, Lunsford LD, Xu P, Jia D et al: Effects of Vitamin D Supplementation on Prevention of Type 2 Diabetes in Patients With Prediabetes: A Systematic Review and Meta-analysis. Diabetes Care 2020, 43(7):1650-1658.
11.Jorde R, Sollid ST, Svartberg J, Schirmer H, Joakimsen RM, Njolstad I, Fuskevag OM, Figenschau Y, Hutchinson MY: Vitamin D 20,000 IU per Week for Five Years Does Not Prevent Progression From Prediabetes to Diabetes. J Clin Endocrinol Metab 2016, 101(4):1647-1655.
12.Pittas AG, Dawson-Hughes B, Sheehan P, Ware JH, Knowler WC, Aroda VR, Brodsky I, Ceglia L, Chadha C, Chatterjee R et al: Vitamin D Supplementation and Prevention of Type 2 Diabetes. N Engl J Med 2019, 381(6):520-530.
13.Seida JC, Mitri J, Colmers IN, Majumdar SR, Davidson MB, Edwards AL, Hanley DA, Pittas AG, Tjosvold L, Johnson JA: Clinical review: Effect of vitamin D3 supplementation on improving glucose homeostasis and preventing diabetes: a systematic review and meta-analysis. J Clin Endocrinol Metab 2014, 99(10):3551-3560.
14.Poolsup N, Suksomboon N, Plordplong N: Effect of vitamin D supplementation on insulin resistance and glycaemic control in prediabetes: a systematic review and meta-analysis. Diabet Med 2016, 33(3):290-299.
15.Autier P, Mullie P, Macacu A, Dragomir M, Boniol M, Coppens K, Pizot C, Boniol M: Effect of vitamin D supplementation on non-skeletal disorders: a systematic review of meta-analyses and randomised trials. Lancet Diabetes Endocrinol 2017, 5(12):986-1004.


责任编辑丨BioTalker
到顶部