新冠为何快速传播:患者发病首周唾液病毒载量最高




3月23日,香港大学等机构在学术期刊《柳叶刀·传染病》刊文指出,新型冠状病毒肺炎患者的唾液病毒载量,在症状出现后的第一周最高,之后随时间下降。与严重急性呼吸综合征(SARS)不同,新冠肺炎患者在初期具有最高的病毒载量,可以解释新冠肺炎快速传播的特性。
作者指出,三分之一新冠肺炎患者的口咽后(深喉)唾液样本在20天或更长时间内仍能检测到病毒RNA,尽管其抗新冠病毒表面和内部蛋白的抗体已经形成。病毒峰值载量与年龄呈正相关,血清抗体水平与临床严重程度无关。大多数患者在症状出现后第10天或10天后出现抗体反应。
作者认为,这一发现强调了对高风险个体严格控制感染和早期使用有效抗病毒药物的重要性。此外,血清学检测可作为RT-qPCR诊断的补充。
新加坡研究人员此前也有类似发现。据新加坡《联合早报》3月2日报道,新加坡科研人员针对本地新冠肺炎患者的研究发现,患者发病初期症状虽然轻微,但却是体内病毒量最多的阶段,随着症状发展病毒量逐渐减少,这意味着患者体内病毒量与症状严重度并不呈正相关。
上述香港大学的最新研究题为《Temporal profiles of viral load in posterior oropharyngeal saliva samples and serum antibody responses during infection by SARS-CoV-2: an observational cohort study》,由香港大学李嘉诚医学院、香港大学深圳医院临床微生物学与感染控制系等机构共同完成,责任作者是香港大学深圳医院临床微生物学与感染控制系Kwok-Yung Yuen博士。
2020年1月22日至2020年2月12日期间,研究人员在位于中国香港的2家医院筛选了30名新冠肺炎患者,其中23名患者被纳入这项研究。患者的中位年龄为62岁,年龄跨度在37至75岁之间。男性13人,女性10人。其中10例严重疾病,均需要补充氧气,13例轻度疾病。23名患者中有11人(48%)患有慢性疾病,最常见的基础疾病是高血压6例(26%)和糖尿病4例(17%)。慢性基础疾病在重症患者中更为常见。5名患者被送入重症监护室,其中3名患者需要插管。2名患者去世。


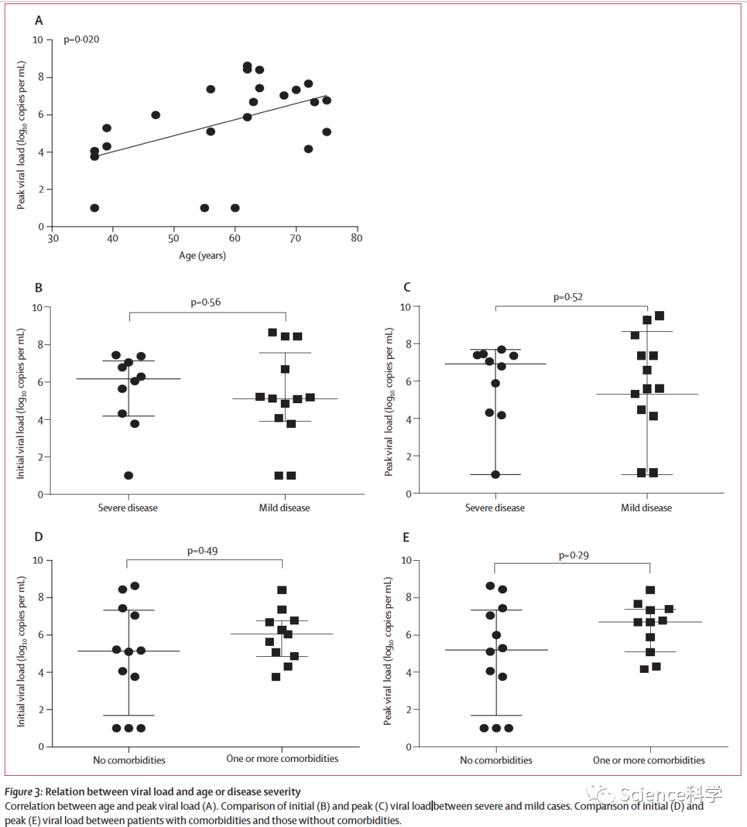
患者情况介绍
研究人员发现,这些患者口咽后(深喉)唾液或其他呼吸道标本的病毒载量中位数为5.2 log10拷贝/ mL。唾液病毒载量在症状出现后的第一周最高,之后随时间下降(斜率-0.15,95%置信区间为-0.19至-0.11;R2=0.71)。患者年龄越大,病毒载量越高。其中一名患者在症状出现后25天检测到病毒RNA。

所有患者的连续病毒载量时间分布。大多数病毒载量数据来自口咽后唾液样本,三名插管患者的数据来自气管内抽吸样本。S=唾液,E=气管内抽吸。

病毒载量与年龄或疾病严重程度的关系
对于在症状发作后14天或更长时间可获得血清样品的16例患者,血清NP-IgG抗体阳性率为94%(n=15),NP-IgM抗体阳性率为88%(n=14),RBD-IgG抗体阳性率为100%(n=16),RBD-IgM抗体阳性率为94%(n=15)。SARS-CoV-2-NP或SARS-CoV-2-RBD IgG抗体水平与病毒中和滴度相关(R2> 0·9)。血清抗体水平与临床严重程度无关。实验中,一名重症患者在症状发作后6天就出现较早的抗体反应。序列样本中未检测到基因组突变。
作者在论文讨论环节指出,新冠病毒载量与流感病毒载量相似,均在症状发作前后达到高峰。而SARS冠状和MERS冠状病毒的病毒载量分别在症状发作后10天左右和第2周才达高峰。
作者认为,新冠病毒感染者在症状出现时病毒载量高,提示该病毒易于传播,即使患者的症状相对较轻。这一发现可以解释在社区和卫生保健环境中出现的有效人际传播。


Science科学 
了解未知 开启认知

按此关注中文公众号
Science科学英语平台 
THE SCIENCE OF EVERYTHING

按此关注英文公众号

◢ 豁然开朗请打赏 ◣

分享“票圈”,给予支持!点亮“在看”,助力传播!
到顶部