两种细菌蛋白对新冠等有广谱抗病毒活性,清华等团队最新发现




清华大学、军事医学科学院微生物流行病研究所、广东省深圳疾控中心、美国康涅狄格大学医学院的研究团队对具有抗病毒活性的色素杆菌分泌型蛋白进行功能筛选,鉴定出两个具有脂酶活性的广谱抗病毒细菌蛋白。这两种细菌蛋白对登革病毒(DENV)、Zika病毒(ZIKV)、严重急性呼吸系统综合症冠状病毒2 (SARS-CoV-2)、人类免疫缺陷病毒(HIV)和单纯疱疹病毒(HSV),都具有广谱抗病毒活性。
当地时间5月22日,研究团队在预印本网站bioRxiv在线发表了上述研究,题为“Broad-spectrum virucidal activity of bacterial secreted lipases against flaviviruses, SARS-CoV-2 and other enveloped viruses”。论文的通讯作者为清华大学医学院程功教授。

论文指出,病毒是急性和慢性严重人类疾病的主要病原,给全球公共卫生和经济造成巨大负担。据统计,每年有数十亿的病毒感染报告,其中数百万患者临床症状严重,甚至死亡。然而,对于大多数病毒,目前都缺乏有效的预防和治疗措施,尤其是缺乏广谱抗病毒药物。
此前的一项研究发现,从野外捕获的埃及伊蚊的中肠中鉴定出的一种名为色素杆菌Csp_P的土壤细菌显示出对登革病毒具有强大的抗病毒活性。在这项研究中,研究团队首先从在他们的昆虫设施中饲养的埃及伊蚊的肠道中发现了一种色素杆菌,将这种细菌命名为Csp_BJ。研究人员对Csp_BJ细菌基因组进行测序,并已将数据上传至NCBI数据库(NCBI分类号:2735795)。

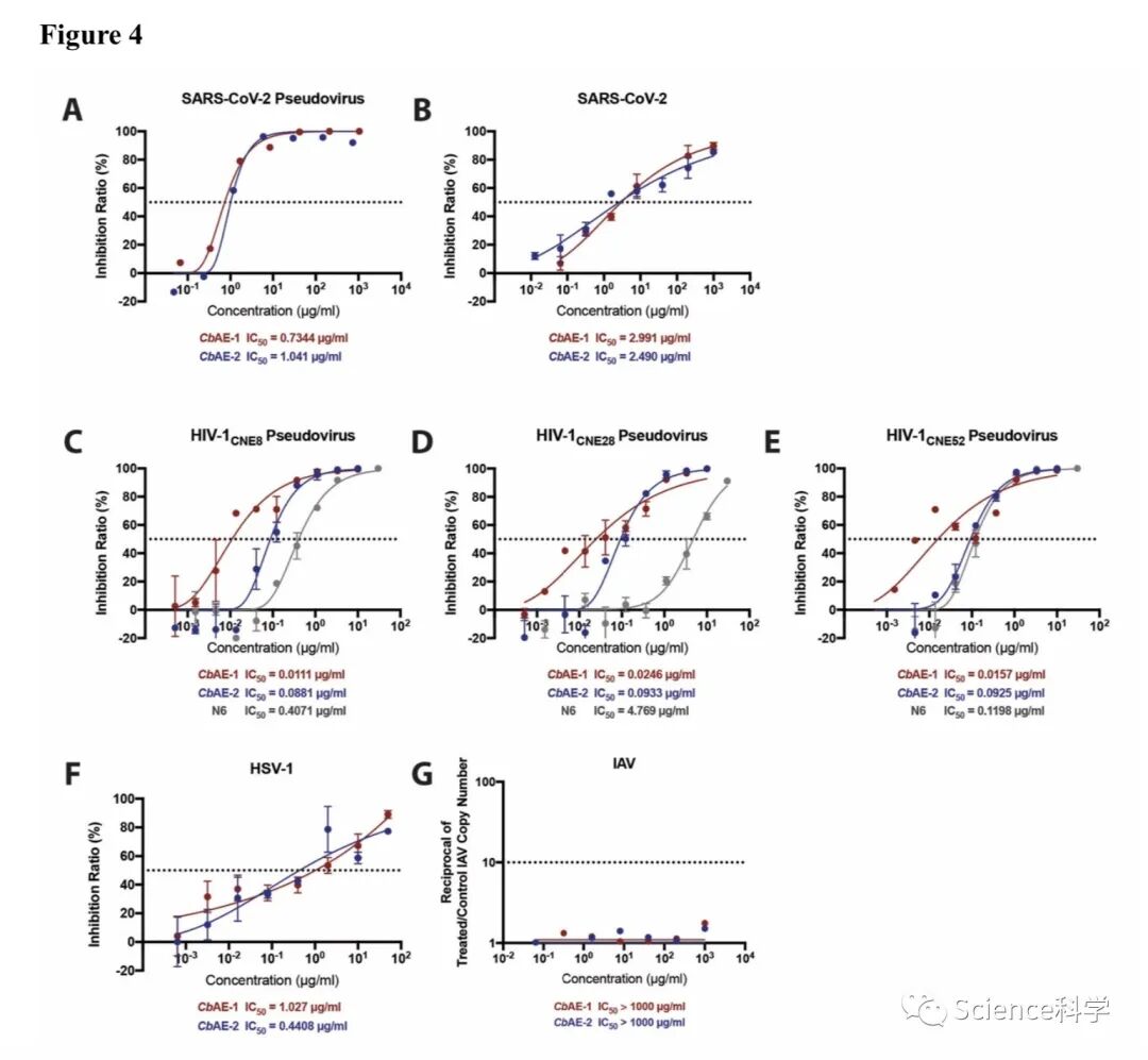
随后,他们从色素杆菌Csp_BJ中筛选鉴定出两种具有脂酶活性的抗病毒效应因子CbAE-1和CbAE-2。这两种CbAE均表现出对包括DENV、ZIKV、SARS-CoV-2、HIV-1和HSV-1在内的多种包膜病毒强大的抗病毒活性。
值得注意的是,两种CbAEs对甲型流感病毒(IAV)均无影响。
而毒性评估则表明,无论是对人类细胞还是小鼠,CbAE-2都比CbAE-1安全得多。
事实上,越来越多的证据表明,某些脂酶具有强大的抗病毒活性。2010年的一项研究即指出,人肝癌细胞(Huh7.5)中,脂蛋白脂肪酶或肝甘油三酯脂肪酶都能通过降解病毒相关的脂蛋白,影响丙型肝炎病毒(HCV)感染。
2017年的一项研究也发现,从印度眼镜蛇的蛇毒中分离到的一种分泌型磷脂酶A2(PLA2)对HCV、DENV和流行性乙型脑炎(JEV)具有强大的抗病毒活性。不过,这种蛋白对辛德毕斯病毒(SINV)、IAV、MERS或HSV-1均未表现出显著的抗病毒活性。
研究团队分析,CbAEs可能通过其脂酶活性灭活病毒,同时也会破坏细胞膜。他们同时指出,CbAEs对病毒包膜的特异性和亲和力还有待提高,从而进一步降低其细胞毒性,提高抗病毒效果。
研究团队提到一点,SARS-CoV-2表面刺突蛋白(S蛋白)与人类ACE2有高亲和力结合,因此可以尝试利用融合ACE2对CbAEs进行工程设计,大大增强其对病毒包膜的亲和力和特异性。他们提出:一种ACE2-CbAE结构可能会提高阻断SARS-CoV-2感染的功效。
研究团队最后强调,广谱抗病毒药物对于及时预防新出现病毒疾病的广泛传播可能是至关重要的,而CbAE-2具有广泛的抗病毒作用和对宿主的低毒性,可能是一个潜在的选择。“我们的研究为开发广谱抗病毒药物提供了一个途径,减少由新出现病毒导致的疾病引起的临床负担。”


Science科学 
了解未知 开启认知

按此关注中文公众号
Science科学英语平台 
THE SCIENCE OF EVERYTHING

按此关注英文公众号
TechEdge 
科技 点亮未来

按此关注中文公众号

◢ 豁然开朗请打赏 ◣

分享“票圈”,逢考必过,点亮“在看”SCI录用率提高18%
到顶部