新冠疫情COVID-SCORE报告:中国应对新冠疫情最积极




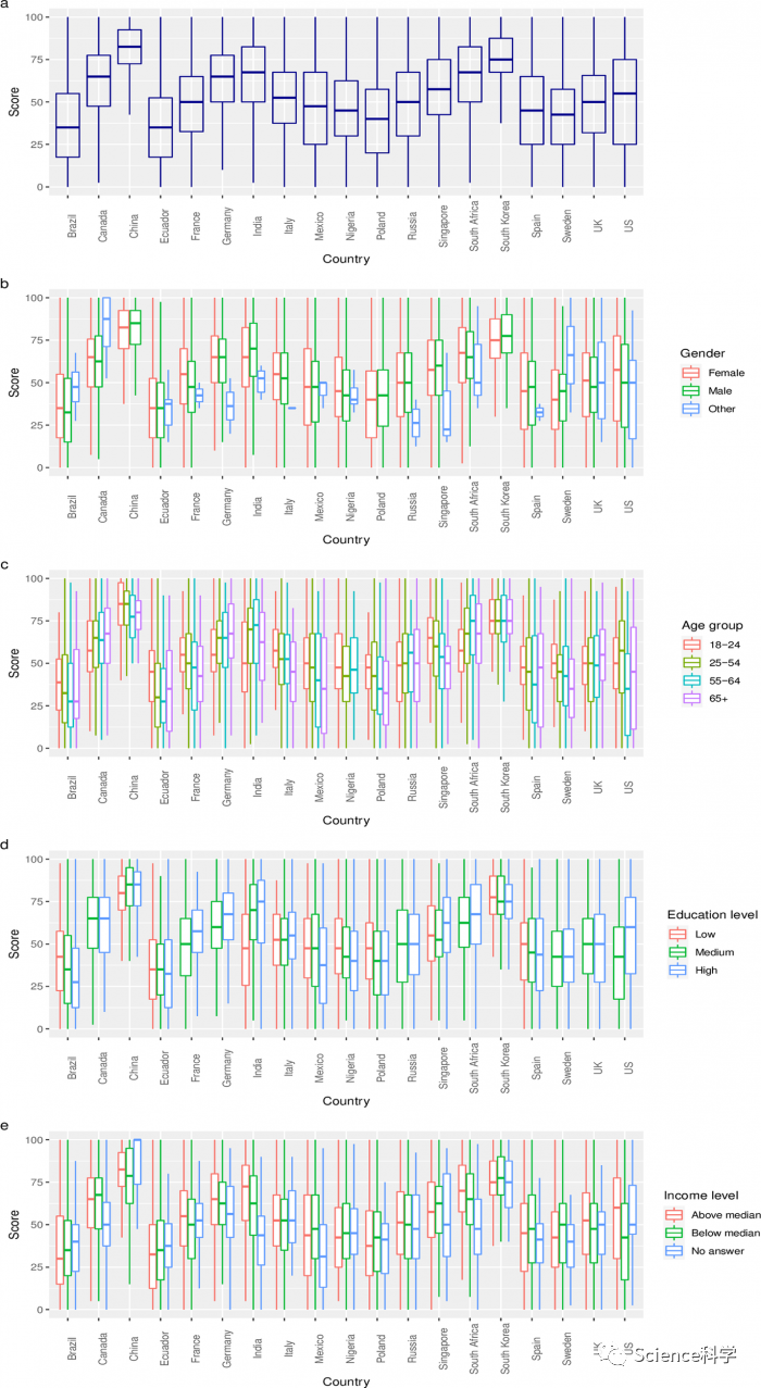
本周发布的一项全球调查报告中,洞察了各国公民对当地政府应对新冠疫情的看法。这项研究对全球多个国家的上万公民进行了问卷调查,主要评估各国政府对新冠疫情的反应情况。中国以 80.48 分的平均分成绩位居榜首。

这份调查报告近日发表在《PLOS ONE》上,展示了开发的 COVID-SCORE 工具。这项研究在2020年6月对全球 19 个国家的 13400 名参与者进行了大规模的调查,这些研究主要针对那些受疫情影响严重的国家和地区,并咨询了预设的一些问题,通过分析产生了一些有趣的结果。

根据问卷调查,精神卫生服务的拨款往往是最低的。世界各国政府对该地区以及对弱势群体的保护和援助问题的评价都不是很好。
以下是国家和地区的平均得分:
•中国80.48
•韩国74.54
•南非64.62
•印度63.88
•德国61.32
•加拿大61.00
•新加坡57.55
•意大利51.71
•美国50.57
•法国49.20
•俄罗斯48.85
•英国48.66
•墨西哥46.48
•尼日利亚46.32
•西班牙44.68
•瑞典42.07
•波兰41.28
•巴西36.35
•厄瓜多尔35.76
(最高分100分)



要了解有关该研究结果的更多信息(今天出版),请浏览研究报告COVID-SCORE:一项全球调查,以评估公众对政府对COVID-19的回应的看法(COVID-SCORE-10),该出版物由PLOS ONE中的代码DOI:10.1371 / journal.pone.0240011。2020年10月。该论文由Lazarus J,Ratzan S,Parayew A,Billari FC,Binagwaho A,Kimbali S,Larson HJ,Melegaro A,Rabin K,White TM和El-Mohandes A撰写。
https://dx.doi.org/10.1371/journal.pone.0240011


Science科学 
了解未知 开启认知

按此关注中文公众号
Science科学英语平台 
THE SCIENCE OF EVERYTHING

按此关注英文公众号
TechEdge 
科技 点亮未来

按此关注中文公众号

◢ 豁然开朗请打赏 ◣

分享“票圈”,逢考必过,点亮“在看”SCI录用率提高18%
到顶部