【心理统计学】学习讨论:假设检验一章


最近因为要审核统计课程的缘故,重温了心理统计学这本书。(认真说一句,我们这次统计课程老师讲的真的不错。)     其实离我考研以及有一阵了,知识点早已忘的差不多了,所以这次几乎可以算作是重学了一遍。简单写写自己再学统计学的一些心得与收获,希望能够帮助大家。
都是很简单的经验交流,不是给大家上课,学长也是个菜鸟。欢迎大家留言交流。
假设检验这章是全书的重中之重,核心篇章。这章我学习这里,比较大的困惑是对最终统计量结果表示意义的判定,如果说完全按照书本写的硬背下来,可能造成理解跟不上。
1
例子
关于假设检验的步骤,书上有很明确的说明。


我们以书上的例子为例。

最终计算出来的假设统计量是CR=1.6,0.05水平的Z值=1.96。按照书本当CR<Z(0.05),不能拒绝H0。认为差异是不显著的。
书本上的描述确实很正确,很严谨,但是表述起来确实有点绕口。首先要弄两个假设,这个必不可少,然后大家还得按照书本的意思把H1设定为自己希望证实的结果,然后弄个H0是和H1相对的。
然后去证实H0的真实性,反推H1是否正确。
这样确实有点弯绕绕,死记硬背不理解那样效果也比较差。
2
写写我的理解思路
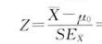
我们在做假设检验的时候以比较简单的数学思维看看我们检验目的。
就是全班的差异和全区的差异是否显著。最终的统计量公式中就有这一条的简单描述。

我们其实可以看到分子部分,先暂且不管分母部分。分子部分就是一种全班和全区的差异的不严谨表述。
用全班的平均数减去全区的平均数。
那么最终的统计量CR的大小数值也是和分子高度相关的。
所以其实可以把CR理解成全班和全区平均数的差异的一种表达形式。进一步可以理解成样本平均数和总体平均数的差异。
所以当CR处于(-1.96.1.96)之间的时候,说明样本和总体差距不够大,进一步理解为样本和总体平均数差距并不显著。
而CR足够大,大于1.96,2.58的时候,可以认为它足够大了,代表样本和总体的差距在相应的水平下是足够大的,样本和总体平均数差距大,那么自然差异就明显了。
同样的理解方法也适用于单侧检验。

看看检验统计量。

分母部分依旧是样本均值减去总体均值。
所以最终统计量1.84大于1.645,说明了样本均值确实显著大于总体均值。
3
理解思路的延伸
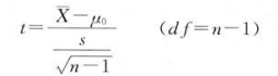
t检验也可以使用这种思路。

可以看到t检验的统计量计算方式和Z检验类似。
4
回到第四章
CR计算方法的源头是源自第四章中的标准分数部分。
可以看标准分数的部分

和我们统计量的计算思路是一样的,表达的意义其实也是类似的。
在Z检验中,统计量的计算就是把样本计算成相对总体(或者另一个样本)的标准分数,统计量就是样本平均数在总体(或者另一个样本)的分布中所处的相对位置,离总体(或者另一个样本)的平均数有多远,CR值表示样本平均数相对总体(或者另一个样本)离上下相差几个标准差。
所以CR值的绝对值越大,它表达的是样本相对总体(或者另一个样本)的平均差差异越大。
以双侧检验为例,在CR>1.96时,那么统计量就落在了标准正态分布的双侧0.025区间内。
5
结束
好了,本文就写到这里了,再次说明,本文不是给大家上课,只是说说我自己在理解假设检验这章的时候的方法,帮助大家理解假设检验统计量计算的几个公式。欢迎大家留言讨论,说说自己学习统计学的心得体会。
后续还会给大家介绍一下其他的几个方法。
下一篇预告:中位数的花式计算方法理解。

到顶部