继续操作前请注册或者登录。

JACC:服用他汀与痴呆无关!科学家发现,他汀类药物与老年痴呆症、轻度认知障碍及认知功能改变的发生风险无关丨临床大发现



很多长期服用他汀类药物的读者都想知道:他汀与痴呆等认知障碍之间究竟是怎样的关系。
近日,由澳大利亚塔斯马尼亚大学Zhou Zhen领衔的研究团队,在心血管领域顶级期刊《美国心脏病学会杂志》(JACC)上发表重要研究成果[1]。
他们发现,他汀类药物与老年痴呆症、轻度认知障碍(MCI)及认知功能改变的发生风险无关;亲脂性和亲水性他汀类药物组各结局发生风险没有显著差异;基线认知水平会影响他汀类药物与痴呆症、情景记忆之间的关联。

论文首页截图
他汀类药物(洛伐他汀、辛伐他汀、瑞舒伐他汀等)是临床常用的降脂药,是降低心脑血管疾病发生率和病死率当之无愧的功臣。
但俗话说是药三分毒,他汀类药物的副作用亦不容小觑。谷丙转氨酶异常是其最常见的不良反应,发生率约为0.5%~2.0%[2]。之前就有读者朋友在评论中提示大家长期服用他汀类药物要注意监测肝酶。
此外,他汀类药物治疗还可能诱发横纹肌溶解(0.04%~0.20%),增加糖尿病发生风险[2]。但对心血管病高危患者来说,服药后新增的糖尿病风险远低于其心血管获益,所以他汀类药物该吃还是要吃,只是要注意监测血糖。
与上述相对明确的副作用不同,他汀类药物对认知功能的影响一直备受争议。2012年美国食药监局指出,服用他汀类药物可能诱发可逆性认知功能障碍,如记忆力减退[3],但近期的2项系统综述认为:现有研究结果异质性较大,尚不足以证实二者有关[4,5]。

而且虽然都叫某某他汀,不同他汀类药物的属性和作用特点却大不相同。例如,普伐他汀和瑞舒伐他汀属于亲水性他汀药物,主要作用于肝脏;而阿托伐他汀、辛伐他汀、氟伐他汀、匹伐他汀和洛伐他汀属于亲脂性他汀药物,可作用于全身组织。后者血脑屏障渗透性更强,更有可能对认知功能造成影响。
除了药物属性,诸如年龄、种族、共患病情况、遗传因素等特征也可能影响他汀类药物与认知功能的关联,因此有必要分组讨论。
面对上述不确定性,来自美国和澳大利亚的研究团队利用ASPREE临床试验数据前瞻性地分析了他汀类药物与老年痴呆症、MCI及认知功能改变的关联,并探究了药物亲脂亲水性和人群特征对关联的潜在影响。
ASPREE原本是一项研究阿司匹林肠溶片健康效应的社区随机对照试验,在2010-2014年期间招募了19114名年龄≥65岁、未发生过心血管事件、未患过痴呆症、无肢体残疾、简易精神状态测试评分≥78分的老年人(87%来自澳大利亚,13%来自美国),剔除认知功能评分和(或)协变量信息缺失的对象后,余下18846人被纳入分析。

基线调查时,研究人员要求研究对象携带近期使用的药物或药物清单,以此获知他汀类药物的使用情况,如果没有这些,则通过研究对象自报外加后续核实保健记录来确定用药情况。
研究平均随访4.7年,由专设的委员会依据第四版《精神障碍诊断和统计手册》对下述结局进行判定。
痴呆症分为阿尔茨海默病(AD)和混合型痴呆症;MCI指认知功能受损,但尚未达到痴呆诊断标准的状态,分为AD源性MCI和其他类型MCI。
除了对痴呆症和MCI的判定,研究人员还在基线时、1年后、3年后、5年后和研究结束时(2017年6月)进行了多次认知功能评估,包括简易精神状态测试(整体认知)、符号数字模态测试(精神运动速度)、霍普金斯词语学习测试(情景记忆)和受控口头词语联想测试(语言和执行功能),并计算得到各项测试的Z评分和4项测试的复合Z评分。评分越高代表认知功能越好。
基线时有5898人(31.3%)服用他汀类药物。服药者比未服药者学历更低,抑郁量表评分更高,基线时服药种类更多,肥胖、慢性肾病、糖尿病和高血压患病率更高;白人、饮酒、有痴呆症家族史的比例更小。
在85557人年的随访中,共发现566例痴呆症(AD 235例,混合型痴呆症331例)。服用他汀类药物的研究对象患痴呆症、AD、混合型痴呆症的风险分别比未服用者高16%,33%和6%,但差异都不显著(P>0.05)。

他汀类药物服用情况与老年痴呆症发生风险的关联
此外,研究还发现了380例MCI(AD源性84例,其他类型296例)。服药者和未服药者这几类MCI的发生风险也没有显著差异(P>0.05)。

他汀类药物服用情况与MCI发生风险的关联
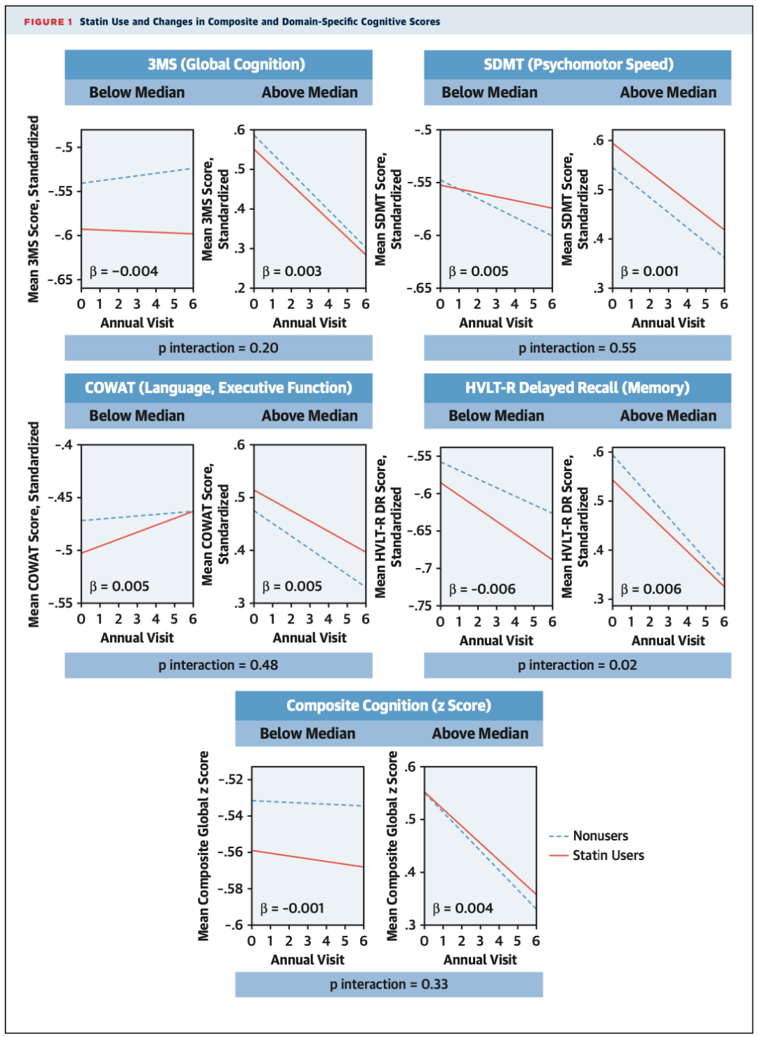
从具体的测试得分来看,基线时服用他汀类药物的研究对象整体认知、情景记忆、复合认知得分显著低于未服用者;两组其他测试得分和各项测试得分的年变化率没有显著差异(P>0.05)。

他汀类药物服用情况与各项认知测试得分的关联
从上面的图表中,我们还可以看出,亲脂性和亲水性他汀类药物组各结局的发生风险也没有显著差异(P>0.05)。
将基线复合Z评分等分为4组后,在各组中计算服药者与未服药者痴呆症发生风险之比HR,结果发现随着Z评分升高,HR逐渐下降。在评分(认知水平)最低的那组人群中,服药者痴呆症和AD的发生风险分别比未服药者高34%和53%,差异显著。在其他评分水平下,两组发病风险均无显著差异。

不同基线认知水平下他汀类药物服用情况与老年痴呆症发生风险的关联
这可能是因为基线认知水平较低的研究对象,有更大的概率被推荐服用他汀类药物,以期预防血管状态恶化;同时,不排除某些他汀类药物用药指征可能会影响痴呆症的发生风险。也可能对于基线认知水平较低的研究对象而言,服用他汀类药物时间过晚,已无法显著改善认知。在病症已然存在的情况下,他汀类药物反而可能加剧病情恶化。
虽然在基线认知水平相对较高的人群中,他汀类药物并没有显著影响研究结局,但HR<1,存在保护趋势。这可能是因为他汀类药物对脑血管梗塞和微血管疾病有一定益处,这些益处中和或者超过了药物本身的害处。
将复合Z评分二等分后,服药者和未服药者各次随访时4种测试得分和复合Z评分的变化情况如下图所示。基线复合Z评分只对他汀类药物与情景记忆之间的关联有显著影响。

不同基线认知水平下他汀类药物服用情况与各项认知测试得分的关联
而年龄、性别、基线时是否患糖尿病或高血压、是否吸烟、是否服用阿司匹林,以及低密度脂蛋白水平,并不会影响他汀类药物与各结局之间的关联。
该研究虽然随访时间较长,结局测量次数和考察维度较多,但也有一定的局限,比如不知道他汀类药物的用药剂量和基线之前他汀类药物的用药时长,因此无法探究这些因素的潜在影响。而且研究人群经过纳入排除标准的严格限制,所得结论不一定适用于一般老年人群。
总而言之,该研究没有发现他汀类药物与老年痴呆症、MCI或某些认知功能下降的关联,但发现基线认知水平不同的人相关关联方向和强度可能不同。该研究为观察性研究,无法推断因果,需谨慎看待其结果,未来还需随机对照试验对此予以验证。


参考文献
[1] Zhou Z, Ryan J, Ernst ME, et al. Effect of Statin Therapy on Cognitive Decline and Incident Dementia in Older Adults. J Am Coll Cardiol. 2021;77(25):3145-3156. doi:10.1016/j.jacc.2021.04.075
[2] 血脂异常老年人使用他汀类药物中国专家共识组。血脂异常老年人使用他汀类药物中国专家共识。中华内科杂志,2015,54(5):467-477。
[3] U.S. Food and Drug Administration. FDA consumer health information: FDA expands advice on statin risks. Available at: https://www.fda.gov/drugs/drug-safety-and-availability/fda-drugsafety-communication-important-safety-labelchanges-cholesterol-lowering-statin-drugs.
[4] Bellou V, Belbasis L, Tzoulaki I, Middleton LT, Ioannidis JPA, Evangelou E. Systematic evaluation of the associations between environmental risk factors and dementia: An umbrella review of systematic reviews and meta-analyses. Alzheimers Dement. 2017;13(4):406-418. doi:10.1016/j.jalz.2016.07.152
[5] Fink HA, Jutkowitz E, McCarten JR, et al. Pharmacologic Interventions to Prevent Cognitive Decline, Mild Cognitive Impairment, and Clinical Alzheimer-Type Dementia: A Systematic Review. Ann Intern Med. 2018;168(1):39-51. doi:10.7326/M17-1529


责任编辑丨BioTalker
到顶部