计算总出错,到底怎么办?一文带你搞清计算的各种错因和对策



在孩子数学学习的过程中,关于计算的重要性,我在前面的文中和大家多次提到,上一篇文章《以终为始,新的学期,这四点值得每一位家长关注!》,我在根据上学期北京期末试卷分析学习中的注意事项时,再次提到了计算练习的重要性,有一位朋友留言提问如何提高孩子的计算正确率,引起了大家共鸣。

后面这位物理老师的留言也很中肯,从初中物理的角度再次强调了计算作为基础的重要性,孩子从小练好计算,对后续各学科的学习都相关重要。

我向来不主张大量刷题,但一定要有合适的方法,才能帮助孩子稳步提升。关于计算,我前面也和大家分享过方法,简单的总结为:少量多次,形式丰富。
有的家长误认为计算练习就是口算练习,这样的认识太片面,计算练习应包含口算、竖式计算、脱式计算、简便计算等多种题型,应根据孩子所学内容,不同题目类型综合练习。所以大家在选择口算练习册时,一定要选择题型丰富的,不要选只有单一口算的。


但很多家长遇到这样一个问题,孩子也持续进行计算练习,可是每次做题总出错,很少全对。今天我想具体针对孩子在计算中会出现的问题,和大家展开聊一聊,提供一些切实可行的方法,供大家参考。
计算总有错题,不代表练习量不够。有的家长看孩子出错,就会不停的增加练习量,这种做法不可取,还是应该针对孩子的错题,分析错因,对症下药,大家可以把孩子的错题整理在一起,很容易发现错题原因的:
1
在口算或竖式计算时,总是忘记进退位
比如25+17=32,100-33=77这种错误:

可以针对性做这类题目的练习,竖式计算一定要标记清楚进位1和退位点,口算时同样可以进行标记。孩子三年级学完小数加减法之后,这种错误会增多,所以在低年级时,一定要加强标注习惯的养成。好记性不如烂笔头,主要做好标记,孩子自然不会再遗忘。

2
抄写竖式时,个位十位上的数字总写反
或者口算时,嘴里说着5+8=13,写到算式上的得数是31:

督促孩子养成点读、有声的做题。
抄写数字的时候用笔点着,并说出个位上几加几等于几,十位上几加几等于几,坚持说出声一个星期,孩子就会逐渐养成有序计算的习惯。
当然,数字总写反,也和孩子的视知觉能力有关,在前面的文章中和大家分享过提高孩子视知觉能力的方法,走迷宫,拼图,小猫钓鱼等游戏,都有利于孩子视知觉能力的提高。
3
竖式总是对不整齐
写歪了之后,在后续计算的过程中,做不到相同数位相加减:

换用田字格或方格本练习竖式,数字写在对应的格子里,就能对整齐了,有的老师会让孩子用尺子比着,整个过程都是用尺子,比较麻烦,会大大降低孩子的做题速度。

方格本是数学学习中非常实用的本子,对于孩子的几何学习,画图等方面都有很大的帮助,以后有机会和大家聊聊方格本的用法。
4
数字书写不规范
自己写的数字都看不清,0和6,4和9傻傻分不清楚。


这种情况越到高年级越明显,很多孩子低年级书写习惯还可以,但随着年级的升高,书写会越来越潦草,这是很不可取的。尤其到了高年级,开始网上阅卷,先将卷子进行扫描,老师通过电脑批改给分,这对孩子的字体要求更高。
低年级时,家长都很关注孩子练字,但随着年级增高,就逐渐忽略了,认为多写几道题更重要,其实写得一手好字,对于孩子的学习成绩同样是促进的,所以练字应该长期坚持。
练字可以和校内学习结合起来的,现在有很多与课本配套的习字册,到了高年级同样可以边练字边学习生字词和做一些名言名句的积累。

5
会有一些固定的错误
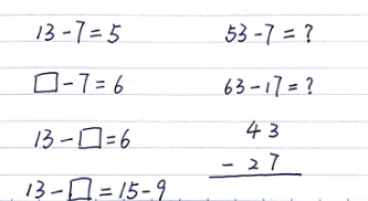
比如下面这几道题,虽然形式不同,但归根结底,错误都在于不熟练13-7等于几:

比如我之前教一年级时做过调查,发现20以内退位减里面,孩子错的最多的就是13-7,那我们首先要关注孩子是否没有掌握住13-7的计算方法,先熟练方法,把13分成10和3,10-7=3,3+3=6;之后就要以多种方式着重练习这道题目,这就需要家长帮孩子找固定类型的题目了,一般练习册不可能有单一知识点的大量计算练习。
6
最坏的情况就是孩子没有掌握计算方法
当孩子的计算大量出错,一定要让他口述计算方法,如果说出来的比较混乱,表述不清,就是没有掌握方法,就要先给孩子补一补基础知识,掌握方法后再练习,方法不清楚,练习再多也是徒劳。
小学阶段所有加减计算的基础就是20以内的进位加和退位减,在课本的呈现中,这两种计算都有多种方法,很多年轻老师在处理时,会关注算法多样化,将多种方法都教授给孩子,并让孩子自行选择,殊不知这样的结果,孩子很快就会混淆。
最好的处理方法应该是在算法多样化之后进行算法优化,和孩子一起选择出最优方法,在持续使用中不断强化。进位加的最优方法就是凑十,退位减的最优方法是破十。

这两种方法都要求孩子熟练数字10的组成,所以在学前阶段,通过分物,凑数游戏,十格阵,十根手指头等多种途径掌握数字10的组成相当重要。具体方法我在前面的文章中有分享,大家可以参考一下文章:
 计算老出错,“马虎”真的不背锅,来看看这些好习惯吧
 学前认识更大的数,紧抓这两个核心点
 学前这样做,让思维可见,让数感提高!
计算能力是孩子学好数学的基础,需要适量的练习加好的方法,而对于总是出错的题目,大家就可以对照我上面提到这些方面,对孩子进行更加针对性的练习了。相信经过我们的共同努力,孩子会有很明显的进步。


收到小周老师的这篇时,我跟她说,这种实操性特别强的文,没有多年的一线教学经验,没有对学生的关心和用心,真是写不出来。她说,这种稿子可能对于她来讲是最好写的,很多干货就是给班级开家长会时讲过一遍又一遍的内容。但一个老师再负责,班级孩子的整体成绩也就是会比其他班级好一些,一个班级里的孩子们,成绩还是会有差别的。而那个差别,一小部分在于孩子的天赋,大部分还是在于家长的重视和对孩子学习习惯培养的执行程度。
不知道这系列文章能真的帮助到多少家庭,能有一个孩子由此受益,我们就会觉得坚持这个专题是有意义的。
Read More
  学习中的一些小技巧,用好了事半功倍
 以终为始,新的学期,这四点值得每一位家长关注!
  做到这三点,买书花的钱才会不浪费
育儿干货 I 好物分享 I 诚意满满
          
到顶部