《自然-医学》:告别胰岛素!这种技术或是糖尿病治疗更优解决方案


▎药明康德内容团队编辑
2型糖尿病给患者带来了深远的负担,据统计,全球约4.15亿人受到2型糖尿病的影响。强化血糖控制有助于延缓糖尿病微血管并发症的发生,是部分2型糖尿病患者的治疗方式之一。部分病情比较重的患者过往采用的多次胰岛素注射的强化治疗方式,患者糖化血红蛋白(HbA1C)水平难以达到<7%的目标,控糖效果不佳,还增加了低血糖发生风险。
随着科学技术水平的发展,人工胰腺的诞生有望解决上述问题,成为强化血糖控制的新方案。人工胰腺是动态血糖监测系统(CGMS)+持续皮下胰岛素注射(CSII)+控制算法的结合,具有控制算法的功能装置接收来自CGMS监测到的血糖数据后,自动计算并调整胰岛素的输注速率,形成完整的监测-计算-输注闭环(closed loop)系统。过往研究已证实,使用全自动闭环胰岛素输注系统可改善住院和门诊需要透析20天以上的2型糖尿病患者血糖控制水平,但尚不清楚更长随访期的效果和风险。
近日,《自然-医学》(Nature-Medicine)发表一项成人2型糖尿病患者使用全自动闭环胰岛素输注系统(CamAPS HX)的研究,表明与标准胰岛素治疗相比,CamAPS
HX在不增加低血糖发生风险的前提下,可改善成人2型糖尿病患者血糖控制水平,也可能有助于安全有效的改善患者预后。
截图来源:Nature Medicine
研究人员于2020年12月~2021年11月招募了26例2型糖尿病患者,随机分为闭环治疗组和对照组,闭环治疗组先使用CamAPS
HX治疗8周后,再采用标准胰岛素治疗,对照组则先采用标准胰岛素治疗8周后,再使用CamAPS HX治疗。
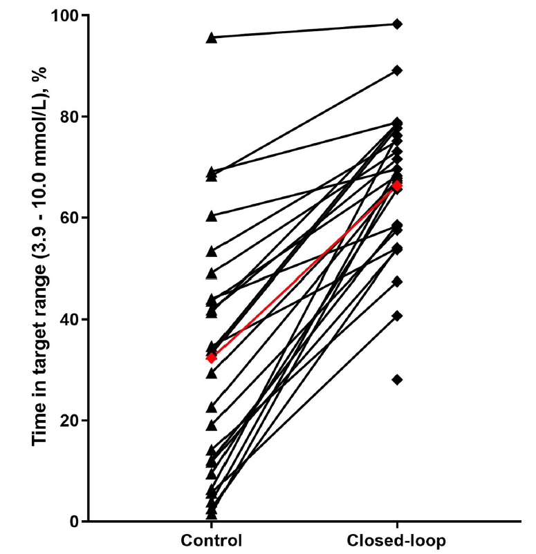
结果显示,闭环治疗组主要终点结局优于对照组,血糖达标时间更长,即闭环治疗组和对照组在目标血糖水平(3.9~10.0 mmol/L)的时间比例分别为(66.3±14.9)%和(32.3±24.7)%,二者差异为35.3%(95%CI=28.0%~42.6%,P<0.001)。

▲两组达到目标血糖水平(3.9~10.0 mmol/L)的时间比例,红色为总体平均值(截图来源:参考文献[1])
闭环治疗组血糖水平极高(>10 mmol/L)的时间比例少于对照组,即闭环治疗组和对照组时间比例分别为(33.2±14.8)%和(67.0±24.7)%,二者差异为-35.2%(95%CI=-42.8%~-27.5%,P<0.001)。
闭环治疗组平均血糖水平低于对照组,即闭环治疗组和对照组平均血糖水平分别为(9.2±1.2)mmol/L和(12.6±3.0)mmol/L,二者差异为-3.6 mmol/L(95%CI=-4.6 mmol/L~-2.5 mmol/L,P<0.001)。

▲治疗期间两组血糖控制情况,图a为两组血糖值,其中红色和灰色的阴影部分为治疗四分位间距值,黑色水平虚线指目标血糖的上下限;图b为闭环治疗算法给出的胰岛素剂量,阴影部分为四分位间距值(截图来源:参考文献[1])
闭环治疗组HbA1C显著低于对照组,即闭环治疗组和对照组HbA1C水平分别为(7.3±0.8)%和(8.7±1.2)%,二者差异为-1.4 %(95%CI=-1.8%~-1.0%,P<0.001)。
两组低血糖持续时间比例均较短,无明显差异,闭环治疗组和对照组中位数分别为0.44%和0.08%,P>0.43。
安全性方面,两组共报道了8起严重不良事件,但均与研究本身无关,且未发生严重低血糖事件。11起轻度不良事件,且未造成严重不良后果。
总之,该研究结果表明,在门诊治疗期间,使用CamAPS HX系统是改善2型糖尿病患者血糖控制水平的安全有效措施,与标准胰岛素治疗相比,CamAPS HX将目标血糖范围时间比例提高了35%,降低糖化血红蛋白水平,且不增加低血糖时间。

点击文末“阅读原文/Read more”,即可访问Nature Medicine官网阅读完整论文。
推荐阅读



参考资料
[1] Daly AB, Boughton CK, Nwokolo M, et al. Fully automated closed-loop insulin delivery in adults with type 2 diabetes: an open-label, single-center, randomized crossover trial. Nat Med. 2023 Jan;29(1):203-208. doi: 10.1038/s41591-022-02144-z. Epub 2023 Jan 11. PMID: 36631592; PMCID: PMC9873557.
免责声明:药明康德内容团队专注介绍全球生物医药健康研究进展。本文仅作信息交流之目的,文中观点不代表药明康德立场,亦不代表药明康德支持或反对文中观点。本文也不是治疗方案推荐。如需获得治疗方案指导,请前往正规医院就诊。
版权说明:本文来自药明康德内容团队,欢迎个人转发至朋友圈,谢绝媒体或机构未经授权以任何形式转载至其他平台。转载授权请在「医学新视点」微信公众号留言联系。
如有其他合作需求,请联系wuxi_media@wuxiapptec.com

分享,点赞,在看,传递医学新知
到顶部