糖尿病加速脑力衰退?苏大附一薛群团队:认知能力下降速度加快近70%


▎药明康德内容团队编辑
目前全球约有5000万人患有痴呆症。到2050年,这一数字预计增加到1.52亿。糖尿病是痴呆症的一个关键可改变危险因素。患有糖尿病的人后续患痴呆症的风险更高,认知能力也更低。然而,糖尿病发病前或发病后短时间内认知能力的变化趋势尚不清楚。
发表于Neurology的一项研究在中国中老年人(45岁及以上)中对上述问题进行了相关分析,结果显示,在7年随访中,新发糖尿病与发病后约4年内的认知能力下降速度加快相关(与糖尿病前期相比,下降速度加快约68%),而糖尿病前期与非糖尿病人群相比则没有这样的变化趋势。苏州大学附属第一医院薛群博士和华嘉年博士为该研究共同通讯作者。

截图来源:Neurology
这项研究使用了对于中国社区人群具有良好代表性的中国健康与养老追踪调查(CHARLS)数据,最终纳入来自中国28个省份的12422名参与者。这些参与者在加入研究时≥45岁,无脑损伤、精神疾病、影响记忆能力的相关病史,且无糖尿病史。
所有受试者在加入研究时接受了认知评估(包括以下测试:情景记忆、视觉空间能力、定向以及注意力和计算能力,于2011年6月~2012年3月进行),在后续3次随访(2013年;2015年;2018年)中至少接受过一次后续认知评估。
在研究开始和第二次随访时,研究者还评估了他们的糖化血红蛋白(HbA1c)水平,每次随访也都收集糖尿病史信息。其中,有1207人(9.7%)在随访期间出现新发糖尿病(发病时间距离加入研究平均3.2年),这些糖尿病患者的平均年龄为59.1岁,39.9%为男性。基于此,研究者将这些参与者分别归为糖尿病组(分为糖尿病前期和新发糖尿病两个阶段,n=1207)和非糖尿病组(n=11215)。两组中位随访时间均为7年。研究中糖尿病定义:自我报告经医生诊断为糖尿病、正在使用降糖药或HbA1c≥6.5%,该研究没有区分1型和2型糖尿病。
各个组认知评分的变化趋势
随访期间,非糖尿病组和糖尿病组的认知能力均逐年下降。但糖尿病组在发病前后的认知能力下降速度有明显差异:在整个随访期间,糖尿病组在糖尿病前期的认知能力年下降率与非糖尿病组从基线至随访结束的年下降率相似。该结果表明,糖尿病组在糖尿病前期不存在认知缺陷。相比糖尿病前期,新发糖尿病后约4年中的总体认知评分下降速度提高约68%(95% CI 44%~90%)。

▲随访期间总体认知评分的评估变化(图片来源:参考资料[1])
黑色虚线表示非糖尿病者的认知变化趋势;红色虚线表示糖尿病前期的认知变化趋势;红色实线表示新发糖尿病后的认知变化趋势。

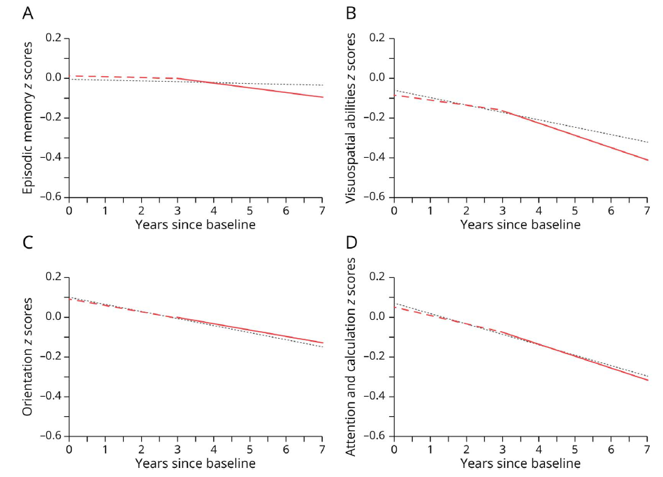
总体认知评分是由4项认知测试(情景记忆、视觉空间能力、定向以及注意力和计算能力)汇总评估而得。这4项测试评分的变化趋势分别如下:
在糖尿病组,新发糖尿病后的视觉空间能力评分也比糖尿病前期下降得更快,大约快了96%(95% CI 68%~125%)。
在糖尿病组,与糖尿病前期阶段相比,新发糖尿病后在情景记忆(β,-0.018 SD/年;95% CI -0.041~0.004;P=0.116)、注意力和计算能力(β,-0.017 SD/年;95% CI -0.037~0.003;P=0.090)或定向(β,0.001 SD/年;95% CI -0.018~0.020;P=0.894)的评估中没有表现出统计学意义上的显著更快下降。
 

▲随访期间4项认知测试的评分变化(图片来源:参考资料[1])
黑色虚线表示非糖尿病者的认知变化趋势;红色虚线表示糖尿病前期的认知变化趋势;红色实线表示新发糖尿病后的认知变化趋势。
糖尿病患者认知评分随发病年龄的变化
研究者进一步按糖尿病发生的年龄进行亚组分析。研究中有275人在45岁~54岁患上糖尿病,有478人在55岁~64岁患上糖尿病,有352人在65岁~74岁患上糖尿病。与45岁~54岁患糖尿病的人相比,那些发病时年龄较大的糖尿病患者在糖尿病发病后的总体认知能力下降率方面没有不同(55岁~64岁,交互作用P=0.701;65岁~74岁,交互作用P=0.996)。这表明,糖尿病发病后,不论年龄大小,认知能力下降均是一个不容忽视的问题。
小结
总的来说,在7年随访中,与糖尿病前期相比,新发糖尿病后的约4年内,患者认知能力下降速度加快,而糖尿病前期与非糖尿病人群相比则没有这样的变化趋势。这提示:在糖尿病诊断后的短时间内,密切监测糖尿病患者的认知功能障碍至关重要。此外,无论糖尿病发病年龄如何,发病后的总体认知能力下降率没有明显差别。这提示了糖尿病对认知能力的影响是普遍存在的,在临床上应定期对糖尿病患者进行认知能力的评估,以便及时发现并干预。
点击文末“阅读原文/Read more”,即可访问Neurology官网阅读完整论文。

推荐阅读



欢迎投稿:学术成果、前沿进展、临床干货等主题均可,点此了解投稿详情。
参考资料
[1] Chen Q, et al., (2024). Trends in Cognitive Function Before and After Diabetes Onset: The China Health and Retirement Longitudinal Study. Neurology, doi: 10.1212/WNL.0000000000209165. 
免责声明:药明康德内容团队专注介绍全球生物医药健康研究进展。本文仅作信息交流之目的,文中观点不代表药明康德立场,亦不代表药明康德支持或反对文中观点。本文也不是治疗方案推荐。如需获得治疗方案指导,请前往正规医院就诊。
版权说明:本文来自药明康德内容团队,欢迎个人转发至朋友圈,谢绝媒体或机构未经授权以任何形式转载至其他平台。转载授权请在「医学新视点」微信公众号留言联系。
如有其他合作需求,请联系wuxi_media@wuxiapptec.com

分享,点赞,在看,传递医学新知
到顶部