继续操作前请注册或者登录。

EIS还可以评估电池的健康状态(SOH)!



维科网锂电在2月23日一文“锂电知识必备——交流阻抗谱(EIS)”介绍了EIS原理及应用。EIS在科研工作及生产中一般用来测试电池的阻抗,从而得到电池内部各部分的阻抗值(包括总阻抗、界面阻抗和扩散阻抗等),这些阻抗值是评价电池性能的一种重要参数。但是,仅仅利用EIS得到阻抗信息未免有点“大材小用”了。
西班牙维戈大学Sara Valverde-Pérez等人利用EIS来表征商业圆柱形锂离子电池在不同充电状态(SOC)条件下和多达300个充/放电循环过程以监测电池的健康状态(SOH)。

图片来源:ChemistrySelect论文
背景介绍
锂离子电池 (LIB)高能量密度高,循环寿命长,具备一定的安全性。但是,由于不可逆的物理化学反应,使得电池循环寿命不断恶化。因此,我们需要一种快速可靠的方法来评估锂离子电池的“健康状态”(SOH),这也是电池研究中的热门话题。
传统的SOH评估方法涉及利用低倍率充/放电方法进行容量校准,该过程精度高但耗时较长,不实用。开发电池SOH快速评估方法的初步研究主要集中通过电化学模型分析电池正/负极之间的传质过程,这种方法易于分析,但精度相对较低。
在之前研究中,已经开发出几种方法来估计SOH。这些方法主要基于充放电曲线,包括增量容量分析(ICA)和差分电压分析(DVA)或基于电池的内阻,不过一些报告表明容量损失和欧姆电阻之间并不存在相关性。
EIS的数据建模通常限于1 kHz-0.1 Hz的频率窗口,这在一定程度上限制了能获得的信息。鉴于此,作者提出了一个等效电路模型,旨在扩大频率窗口,以便获得尽可能多的关于电极动力学的信息,包括法拉第过程和扩散过程。系统的预期完整描述可以为SOH或SOC估计选择合适的参数。
内容介绍

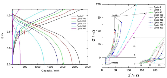
左:电池容量随循环次数(0.8C)的变化,右:EIS谱随循环次数的变化(0.8C,25% SOC)(图片来源:ChemistrySelect论文)
如上面左图所示,2号电池是本研究中详细讨论的电池类型。它的容量在第200个循环后呈指数级下降。在EIS谱中也观察到了类似的趋势。如上面右图所示,阻抗谱随循环次数的增加而变化(特别是低频域),在第200个循环后变化更加明显。

阻抗谱随温度的变化(图片来源:ChemistrySelect论文)
上图说明了温度在阻抗谱的中频范围内具有的强烈影响。

阻抗谱随电池SOC的演变(图片来源:ChemistrySelect论文)
上图是阻抗与SOC的关系,在所有频域,尤其是低于1 kHz的频域,SOC在25%和0%之间发生了显著变化。阻抗谱在25%和100% SOC之间变化平稳。该形状参数可用于确定SOC。本文选择25% SOC来研究SOH的演变。

不同动力学参数随循环数(SOH)的演变(图片来源:ChemistrySelect论文)
如上图所示,内阻(Re)似乎并不是提供SOH信息的适当参数,这与一些文献报道一致。与SOH信息最敏感参数似乎是Rd1,因为该参数电阻在有规律地增加。该增加与循环200圈之前SEI厚度的逐渐增加相一致。
总结
作者使用充/放电循环和EIS对圆柱形锂离子电池的电化学行为进行了表征。在不同 SOC、SOH和温度下进行10 kHz–1 mHz 频率范围内的交流阻抗测试,并且模拟出一种电化学等效电路。等效电路的参数可以作为估计SOC或SOH状态的工具。在所研究的示例中,与负极、电荷转移电阻和扩散电阻相关的动力学参数最适合分析SOH。
附:文献链接
https://chemistry-europe.onlinelibrary.wiley.com/doi/10.1002/slct.202104464
活动预告
NEW


往期热点推荐
(点击链接阅读)
☞豪掷490亿!大众投建最新电池工厂!
☞BYD战投30亿!又一“锂王”来了
☞锂电池引发室内火灾,新日股份被判赔偿!
☞宁德时代动力电池价格上涨20000元!
☞总投资692亿元!超大储能全产业链项目来了!
☞锂电独角兽,继续大扩产!
☞两会观点|“专利权滥用”恶意竞争要避免!
☞重磅!远景动力成奔驰电池供应商!
☞美国将建磷酸铁锂(LFP)电池工厂!
☞又一家全固态电池企业获巨额融资!
报料及投稿 | editors@ofweek.com
  广告及商务合作 | 焦小姐:19168597392/0755-83279005-870

加入锂电行业交流群
长按二维码,备注“姓名-公司-岗位”申请入群。
戳“阅读原文”报名参加OFweek 2022锂电池(动力&消费)产业大会
到顶部