锂电知识必备(17)——四探针法



这是该锂电知识必备系列文章的第17篇,欢迎大家持续关注。
测试原理

图片来源:葛剑峰,基于STM的微区四探针的研制与界面超导电性的原位测量
如上图所示,4个探针位于同一直线上(探针从左至右分别记为1、2、3、4),将其置于一平坦的样品表面(其尺寸相对于四探针来说,可视为无穷大)。
施加直流电流I于外侧两个探针上(1和4),在中间两个探针(2和3)上用高精度数字电压表测量电压(U23)。
检测位置的电阻率ρ(单位:Ω·cm)为:ρ = C * U23 / I。其中,C为四探针的探针系数,其大小取决于四个探针的排列方法和针距。
对于直线型四探针测试,如果间距相等,则将间距记为S,那么C = 2πS。假设S = 1 mm,则C = 2πS = 0.628 cm。如果间距不相等,则:

图片来源:陈彩云,光伏用硅片电阻率四探针法测量值不确定度评价
在实际测量过程中,为方便起见,我们调节电流I值为0.628mA。最后,2和3探针之间读出的数值即为被测样品的电阻率。(秦伟亮,硅晶片电阻率测量技术的研究)
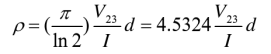
对于测试样品较薄时,即其厚度相较于探针间距不能忽略,或者说样品厚度W小于探针间距S,则可以看做薄层电阻样品(如:光伏用硅片)。
此时,从探针1流入和探针4流出的电流的等位面近似为圆柱面(高为d),任一等位面的半径设为r,当r12 = r23 = r34 = S时,则计算公式为:

图片来源:林杰斯,基于四探针技术的新型方块电阻测试仪设计
四探针法在锂电中的应用
文献中,四探针法常用于确定电池极片的电子电导的绝对值,这是由于四探针法消除了探针和样品(压实的片或涂层)之间的接触电阻。
但是有两点需要注意:第一,大部分四探针方法选择将电极材料的浆料涂覆薄层或适当厚度于绝缘基底上,而非铝箔等集流体材料。这种在绝缘基底上的涂层是为了避免基底方向的支流,从而精准测试电极材料的电导。如果基底为集流体材料,即便通过调节探针距离等方法避免支路电流,所得到的结果仍只能描述涂层的电阻,因为电流转移的方向和涂层平行,忽略了基底和涂层的界面电阻,而不是极片的真实情况。
第二,电池实际应用中的电极涂层相对较厚(60~150 μm),四探针法仅得到部分涂层的电阻贡献,而忽略了极片的涂层梯度,无法全面表征极片电阻值。(许洁茹,锂电池研究中的电导率测试分析方法)
附:参考文献
[1] 葛剑峰,基于STM的微区四探针的研制与界面超导电性的原位测量
[2] 秦伟亮,硅晶片电阻率测量技术的研究
[3] 陈彩云,光伏用硅片电阻率四探针法测量值不确定度评价
[4] 林杰斯,基于四探针技术的新型方块电阻测试仪设计
[5] 许洁茹,锂电池研究中的电导率测试分析方法
活动预告
NEW



往期热点推荐
(点击链接阅读)
☞锂电知识必备(1)——循环伏安法(CV)
☞锂电知识必备(2)——交流阻抗谱(EIS)
☞锂电知识必备(3)——直流阻抗(DCR)
☞锂电知识必备(4)——恒电流间歇滴定技术(GITT)
☞锂电知识必备(5)——dQ/dV曲线
☞锂电知识必备(6)——锂离子迁移数
☞锂电知识必备(7)——充放电测试技术
☞锂电知识必备(8)——扫描电子显微镜(SEM)
☞锂电知识必备(9)——透射电子显微镜(TEM)
☞锂电知识必备(10)——X射线衍射(XRD)
☞锂电知识必备(11)——拉曼光谱(RS)
☞锂电知识必备(12)—傅里叶变换红外光谱(FTIR)
☞锂电知识必备(13)——X射线光电子能谱(XPS)
☞锂电知识必备(14)——电感耦合等离子体技术(ICP)
☞锂电知识必备(15)——热重分析法(TGA)
☞锂电知识必备(16)——差示扫描量热法(DSC)
报料及投稿 | editors@ofweek.com
  广告及商务合作 | 焦小姐:19168597392/0755-83279005-870

加入锂电行业交流群
长按二维码,备注“姓名-公司-岗位”申请入群。
戳“阅读原文”报名参加OFweek 2022锂电池(动力&消费)产业大会
到顶部