脉轮、卡尔良相机、人体辉光:统统是伪科学


9月20日。我发布了一则微头条,我说:
“凡是支持南怀瑾的都是所谓修行人。凡是修行人都会说“不要迷信科学”“世界上还有很多科学解释不了的未解之谜”。我没说错他们吧?”
在留言区,一位网民@强人所不难给我留言说:
“我是因为引力波事件修道的,空间都能振动波动,那什么是不可以以波的形式叠加产生的呢,只不过我们互相之间产生的引力波非常微弱。不同音频沙画图形比如432hz制造的圆形(用于脉轮平衡),639hz、963hz等制造的莲花图形(用于脉轮放射性激活)告诉我们振动与频率的关系。卡尔良相机相关视频告诉我们人有复合的能量场,这个东西只能通过三四岁小孩和长期修行的人验证,我已经确认过了。有时候不要迷信科学是好事,保持接纳心和好奇心,但逻辑推理能力和跳跃性思维也只关键的人,缺一不可,不然陷入盲信更,一旦没有按自己所想发展便会失望否定。”
以上是他的留言的全文,我一个字都没有改动。这里面有三个关键词:引力波、脉轮、卡尔良相机。我要说明一下,引力波是物理现象,被一些人牵强附会到玄学上去。至于脉轮、卡尔良相机是彻头彻尾的伪科学和骗局。

这种“脉轮”的照片很容易伪造
“脉轮”是伪科学
先说引力波。国内科普引力波最好的是复旦大学的施郁教授,作为《知识分子》的审稿专家,他在上面发表过不少涉及引力波的文章。其实引力波并没有什么涉及神秘主义的地方,它就是1916年爱因斯坦在广义相对论中的一个预言。引力源质量分布的改变,导致它对其他物体引力的改变,这种改变以光速传播开来,就是引力波。既然引力是时空弯曲,那么引力波也就是“时空的涟漪”,即时空弯曲情况随时间变化、在空间传播。我们看到,引力波就是物质属性,有了物质才有引力波。这位网友说“空间都能振动波动,那什么是不可以以波的形式叠加产生的呢”,这倒也没错,这里涉及到量子力学中一个物质波的基础概念,即德布罗意波。法国物理学家德布罗意在1924年提出,波粒二象性不只是光子才有,一切微观粒子,包括电子和质子、中子,都有波粒二象性。后来科学家发现,万物都具有波的性质,只是物体的尺寸越宏观,波就越不明显。也就是说,一个人的身体也会具有波动的性质,但依据德布罗意波公式,计算出来的波长非常小,就是检测出来非常弱,相当于没有。
但是这位网友下面提到了“脉轮”,所谓“不同音频沙画图形比如432hz制造的圆形(用于脉轮平衡),639hz、963hz等制造的莲花图形(用于脉轮放射性激活)告诉我们振动与频率的关系。”这个就有点扯了。

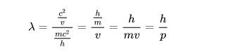
德布罗意波波长的公式
以上是德布罗意波波长的公式,其中的物理意义:λ表示被求解的物体的波长;c表示光速;v表示物体的速度;m表示物体的质量;h为普朗克常量;p是动量。对于我们周围的宏观物体,波长至少在λ≈10^-20的量级以下,这么小的波长几乎忽略不计。而这位网友说什么的“莲花图形”与物质波一点关系都没有。脉轮学说人只要通过冥想练习就可以创造出神奇的振动能量,这种能量可以治愈一切疾病,但从来就没有被证实过。目前还没有任何实验可以证明人修行后可以发出很大的振动能量,只不过是类似“气功外气”一样的伪科学学说。脉轮学说是讲,人体内部分布着七种脉轮,从头顶到脊柱分布了七个,这些脉轮发出不同的振动频率,发挥不同的功能,人体通过修炼就可以改变它们的频率云云。其实我们只要知道脉轮就是一种彻头彻尾的伪科学,就知道什么“频率”“振动”都是瞎扯的。据专业研究者指出,印度脉轮学说并非印度人独立发明,而是从汉族传统医学的气功学过去加以改造而成,宣称脉轮里流淌着查克拉能量(火影忍者和圣斗士里也用了这个概念),这种查克拉能量可以掌管人的各器官功能。但这个查克拉能量早就被否认,印度的科研机构经过研究,早就彻底否认了这个东西是存在的。印度理工学院在1970年就宣布没有找到查克拉能量存在的任何证据。现在科学界基本上对脉轮学说嗤之以鼻。

物质波
至于这位网友说的“卡尔良相机”也是一个被科学界批判烂掉的伪科学。所谓的“卡尔良相机”,说的无非是能给人体照出辉光的照相术。据神秘主义者的说法,不同的人体辉光决定一个人的生物能量场,进而知晓一个人的精神状态和身体好坏。这是一个很古老的老把戏,因为菜刀改锥也能照出辉光来,气功热时就有人做过科普。不止的生命物体,其他任何物质都能照出辉光来,辉光在物理上只是司空见惯的现象,毫无稀奇之处。牛津大学的查理博士曾经就辉光写过科普文章,通过实验举了大量的案例,说明辉光只是自然界很常见的东西,到处都有,连一根铁钉、一把钥匙都可以照出来。说什么神奇的“卡尔良相机”能照出人体“气”“经络”“能量”的辉光,是老掉牙的伪科学。
我注意到,这位网友特意说到,“这个东西只能通过三四岁小孩和长期修行的人验证,我已经确认过了。”这种说法符合很多玄学爱好者的口头禅。比如,你说“外气”不存在,那是你没有修炼到家,只有我修炼了几十年,我就可以感知到“外气”。很多人就这样迷信自己的主观感觉,还以为这是所谓的“实修”。但精神病学和心理学早就证明,修行人的所谓神秘主义感知,只是人在持续的心理暗示下得到的幻觉,这种心理感受是可以影响到人的生理状态的,但更多的是负面,比如,诱发精神疾病,剥离人的正常感知能力,分解人格等等。
要知道,判断某种感觉是主观还是客观,并非是依据个人的感觉,而是有严格的条件设定:第一,必须有非利益相关方的第三方介入评价。第二,不能依从个人立场做判断。第三,是要看结论能否具有可验证性。“只能通过三四岁小孩和长期修行的人验证”,那就是孤立的证据。三四岁小孩懵懵懂懂,没有独立的思考逻辑能力,他们很容易被大人诱导说出某些话。依据@强人所不难的描述,他日常经常在孩子面前“修行”,这种行为有意无意的对他们产生了一种诱导。而长期修行的人,本身就信仰这个东西,信仰就是立场,带着立场找“证据”,当然永远不会输。这种主观性的立场带来了认知的偏差,总是倾向于给自己找依据。说只要“修行人”可以感知到,就是说证据仅仅在“修行人”的口中,而不能被科学实验室所证明。这就类似卡尔萨根车库里“喷火的龙”:我说有一条喷火的龙每天出没在车库,但是你们无论通过什么方式都发现不了。
“卡尔良相机”和“人体辉光”的骗局
关于“卡尔良相机”的骗局,鹤岗的一位研究者做了针对性的研究。这是民进的一位常委委员,日常非常关注社会上的各种伪科学学说。针对“卡尔良相机”照出所谓“人体辉光”的说法,他身体力行做了很多实验。为此,他专门重金购买了一台照相机,结果在实验后发现这一切都是骗局。“卡尔良相机”是什么?按照某些人的说法,这是一台由前苏联科学家在上世纪30年代,也就是八十年前制造的一台照相机,据说可以拍摄出人类或物体的能量。他们提供的“相机发明人”的照片上,确实有一个戴眼镜的白人拿着一台相机,给旁边一位女士观看。但后来经过考证,这个人并不是前苏联科学家,仅是一位普通的摄影爱好者,具体身份是前苏联某渔场的一个退休工人,和“科学研究”没有多大联系。

一台高大上的机器

高大上的照片
还有网友写过文章揭露过“卡尔良相机”的骗局:
“我也相信人类可以发出光,因为你买个红外线摄像仪就可以。你没看到小露露都眼放金光吗!”

连小鹿也可以照出“辉光”来
信仰者还说,“卡尔良相机”可以照出树叶的“能量场”,但是揭秘者告诉大家:这不过是PS出来的玩意。

更是高大上
下面是所谓用“卡尔良相机”照出的人体内部有“七个脉轮”的照片:

人的“七个脉轮”
就有网友在照片下面调侃道:
“问题是,仅有这一个“组织”可以“照出来”,除此之外他们拿不出任何东西,也无法提供照相机的原理。你应该懂得,一个只有唯一组织做出来的实验。我感觉这张照片如果是真的,绝对可以拿诺贝尔奖。莫非诺贝尔奖生物学奖评委都是眼瞎了吗?这么伟大的发现,哈佛、剑桥、清华、北大的科学家都瞎了,这个可是诺贝尔奖级别的突破点啊。对了,不是1930年代就有了吗?80多年的历史就弄这么个破玩意,发展也太慢了。”
什么样的人在宣传“卡尔良相机”?
据网友深扒,宣传这种“卡尔良相机”的那群人,主要是来自一个叫做“凯史科学会”的组织。说到“凯史科学会”,我“怀疑探索者”立即想起了一段往事。我曾经在博科园的一个天文群中做客。群中有一个人天天发一大堆莫名其妙的东西,当时似乎提到了人体辉光。还提到了他们发明过“无限能源的发电机和电池、喝水不用吃饭的能量水杯”。但是我没有太在意。他更多的讲飞碟。突然有一天,我看见他讲了一句:“哈佛大学的教授都是垃圾”,我就很好奇,询问他有什么高见。他非常骄傲,语气里面非常狂妄,说他是“凯史科学会”在大陆的一个负责人,研究的东西都是至少超越地球科学界500年水平。他还对我说,他们已经研制“飞碟”成功了,而且他们的飞碟特别先进.先进到什么程度呢?不用任何能源,就可以不断飞,而且已经研制到第33代了。我请他出示第33代飞碟的设计图纸,实在没有,第1代也可以。他支支吾吾的,说什么这是“商业机密”,不能外泄云云。大概被我追问的难以招架,他就气急败坏的破口大骂。当然,他被群管理员禁言了。
我后来偶然间看见一段信息,说的是凯史6岁的年龄就造出了无限能源魔方,还有能用二氧化碳制造黄金的“神迹”。有人就问凯史的信徒,发生了下面的对话:
正方:凯史展示了反应器模型,我们群里就开始努力仿制, 要集资去开模,做球形容器,然后还要抽真空,要买真空泵,分子泵,球里面还要纳米涂层,然后送点氢气和很多种气体,转动分层后就能形成凯若琳核心,就可以发电了,就成了飞碟了。
反方:你们成功了吗?
正方:没有,据说交2万欧元可以和他学。
反方:他公开展示过吗?
正方:没有,凯史说政府不让公开,如果公开了会有生命危险。利益集团阴谋集团就会让比利时的警察把凯史抓回去枪毙,所以他也很不容易,为了全人类一直忍辱负重。这里有个二维码,你可以捐点钱给他。
以及:
正方:3个能量杯,倒上水,然后喝掉,就不用吃饭了,还可以治病.之前凯史就说他早就做出来脂类甘斯,往嘴唇上一抹,顿时就无饥饿感,就饱了,说是能量被直接吸收了,不用通过咀嚼消化吸收来获取能量,是不是很酷啊?
反方:杯子里面要做纳米涂层,3个杯子不同的纳米涂层,满足人体所需的各种能量需求。
正方:你怎么知道?
反方:我又不傻。你们还做过什么?
正方:教手电筒了, 基金会入不敷出啊,为了解决资金问题要进行收费网络教学。凯史手电筒,一直亮着几年没灭过啊。
反方:做成了吗?做过飞碟和黄金吗?
正方:他能分分钟就造出飞碟冲出银河系,之所以不制造,是因为需要各国政府的社会有序管理,以免造成社会混乱。能用二氧化碳制造海量的黄金。之所以不制造,是因为不想扰乱金融秩序制造金融崩溃。
反方:很善良的想法。
正方:能分分钟造出永动机,提供无限的免费能源,之所以不制造,不向大众推广,是想给各国政府一个缓冲的机会,以免造成大量失业和国家财政崩溃。立刻就可以让人们无需吃东西就能获得足够的生存能量,之所以不推广,是不想食品农业产业破产失业。所以伟大的他甘愿无限期推迟他的高超外星科技在世界的应用,无限期推迟人类跨入银河时代。
就是这样的一个“凯史科学会”,这样的一群人在宣传“卡尔良相机”的神奇,而且也只有他们可以出示照片,别的人永远都无法重复。于是网络上有人就直接怒斥这个骗局:
“什么'人体辉光'?都是气功爱好者转发的,也就这么几张图。
首先不说真假,因为这个相机本身存在与否就是个问题!就是这个图,它根本就不是相机照的,我们完全可以用现代的各种光成像仪还原出这样的图。我始终查不到国内有权威部门或者国外有哪个权威部门或者研究院所医疗机构存在这么个“相机”,更不用说用这个相机来测量“气功”了。
我们也建议国内立即引进所谓的“卡尔良能量场相机”,只要用这个相机一看,真有气假有气不就一目了然了,什么李教授张大师的,那还用我们在这里争论,问题是,这个相机到底是个什么相机,我估计你们永远找不到那里有这么个玩意!”
中国科普作家协会的一位负责人对此评述说:“人体可能有辉光,但什么颜色不一定。是否有卡尔良照相机?当然没有。早就被揭露是低劣的骗局。所谓‘辉光’‘能量场’的照片录像只来源一家,他们靠着这些东西在社会上招摇撞骗,我们无法相信他们。所有正规大学的科研机构都无法给他们出具证明,否则他们早得诺贝尔奖了。”
“迷信科学”是没有任何逻辑的话
这位修道的网友说:“有时候不要迷信科学是好事,保持接纳心和好奇心”。似乎科学打压了“接纳心和好奇心”。当年马老板与王大师勾肩搭背,又是吃饭又是拍照片,后来王大师身败名裂,马老板就说过类似“我有好奇心”的话。
我要指出来,这位网友“迷信科学”的语言本就是一个病句,逻辑上完全不通。类似于他在说“方的圆”“圆的方”。科学本就是反迷信,何来“迷信科学”?具体可以参考我的旧作《如果科学是迷信,健康就是一种病》。科学并不代表任何知识和理论,科学的核心是方法体系,是一种思维模式,这种方法体系和思维模式告诉你如何获得最可靠的知识。我们信任从科学方法得到的科学知识是最靠谱的;科学学说不是真理,是可能被证伪的,但这不妨碍它是最可靠的。
值得注意的是,个人假说、科学假说、科学理论是三种不同层次。
低层次:
仅有思辨,就是个人假说。这是最低的层次。
中层次:
思辨加上数学模型,给出科学验证的方法,可以证伪,就是科学假说。这是稍高一个的层次。但是它还缺乏被科学实验验证成立。
高层次:
在科学假说的基础上,设计出一个逻辑上严密,实验过程符合严格可控条件,可以无数次被重复,可以独立验证,符合概率统计规律的实验方法,然后通过了这个实验方法获得了肯定,这个就是科学理论。科学理论是最高层次,意味着它在任何的一个时间段都是“有效”“有用”的。
“人体辉光”就纯粹属于属于个人假说,弦理论这类没有被实验证明但有数学模型的属于科学假说。“人体辉光”可以被彻底否认,因为它本就是伪科学。
很多伪科学信仰者鼓吹“”不要打压接纳心和好奇心”,但问题是,这类伪科学并不是“科学解释不了”,而是早就解释完毕。弦理论这类的科学假说也可能被否认,但它依然具有科学价值。科学理论则拥有不可能被推翻,只能被局部的修正。像地心说,就没有被日心说修正,《为“地心说”正名:虽然落败,但它依然是科学理论》,因为地心说是科学理论。为什么科学理论不能被推翻?因为科学理论在解释事物的时候有用,比如,“在托勒密发明“地心说”之前,所有的天文理论预测天体精确度为10,托勒密等于一下子将精确度提高到了95以上。使用“地心说”理论来预测天体位置,预报日食和月食,精确度达到了误差不超过1个小时,预测五大行星的轨迹,误差也绝对不超过几天。而在此之前,这是不可想象的伟大成就,仅预报五大行星的轨迹,就没有一个人成功过!是托勒密第一个比较精确的成功预报了五大行星轨迹。这就是说,“地心说”并非是无用的,确实解决了不少实际问题,而且解决得相当出色。伪科学是没有用的,“地心说”则是有用的,可以切实的解决问题,所以它不是伪科学,是当时的科学理论。甚至属于那个年代的天文学大成。正因为“地心说”确实有用,真的可以解决问题,所以它被写进天文学教材1500多年而没有被取代过。”

“地心说”模型并非一无所是
牛顿力学与相对论的关系也是这样。爱因斯坦从来就没有推翻过牛顿力学,仅是把牛顿力学的适用范畴予以延伸。因为牛顿力学确实可以在某一个适用范畴内很好的解决问题,比如观测行星轨距,可以做精确的预言,比如观测金星的轨迹,时间误差不超过一秒。什么叫做“推翻”?就是证明牛顿力学无用。比如,你证明了大质量物体不会吸引小质量物体,一个人从悬崖上跳下来不会落到,则你就是证明牛顿力学被推翻了。事实证明,牛顿力学确实有效,那么就不能说“推翻”了牛顿力学。
科学理论一旦成立,就不会被推翻,这是颠扑不破的道理。我们当然要信任这些科学理论,凭什么就此说这是“迷信”呢?

神医
社会上确实有一些打着“高科技”概念旗号坑蒙拐骗的人,他们给人们造成了财产损失,所以有人就说“不要迷信科学”。问题是,这种说法有“严重的逻辑缺陷”。消费者迷信的根本不是“科学”,而是迷信冒充科学人士、“伪科学理论”。这些打着“高科技”旗号坑蒙拐骗的人,他们本身也不代表科学,而是代表伪科学。所以我曾经在一篇文章中说过:
有“真\伪专家”打着科学的旗号兜售所谓的“高科技保健品”,民众由于缺乏科学认知,一看是“专家”推荐的,似乎“很科学”,便选择了盲从。其实,民众迷信的本质是“缺乏判断力——迷信伪装成代表科学的权威”。不管这些“专家”是不是真的,拿不出确凿的证据证明其推荐的保健品确有疗效,我们就不认他,不管这个专家是教授还是部长,这个就是不迷信“权威”。部分民众由于科学素养不高,错误地迷信了“权威”,这种行为恰恰不是迷信科学,而是脱离了科学。而科学精神就是保持对“权威”的质疑,是“动态开放的方法”,科学恰恰是最不迷信权威的,把权威看得一钱不值。再说,伪保健品本身与科学无涉,就是迷,也不会是迷信科学,而是迷信伪科学。所以,“迷信科学”是一个伪命题,任何一个稍有逻辑判断力的人都不会相信这种幼稚、荒唐的鬼话。
总之,科学是不迷信权威,以证据说话,不信“眼见为实”;迷信则是信赖权威,以传言为凭,只相信看见的东西。不迷信权威就是一种科学精神、科学理念、科学思维。这就是科学本身的核心价值所在。你说出“迷信科学”的话,等于是在说“不迷信权威,本身就是迷信”。这样荒唐的话也能说出口?
就说这位网友,口口声声说“这个东西只能通过三四岁小孩和长期修行的人验证,我已经确认过了。”但这个所谓的“确认”,只是您单方面的确认,在没有其他验证机构确认的条件下做出的主观判断。如果仅仅是看了几篇文章、几段视频,或者仅仅观看了几场表演就足以“确认”,那么还要科学机构干什么?直接宣传特异功能存在就好了。我请问一句,您“确认”了,但是科学机构确认了吗?您与科学界的研究人员确认过吗?很多魔术表演都可以展现“科学解释不了”的现象,但它们只是表演。当年报刊上铺天盖地说“亩产可以达到十万斤”,当年也是被无数人“确认”而深信不疑。但是违背科学理念的说法,最终也不过是一场骗局而已。
我们应该如何确认事实而不被欺骗?
那么,什么样才叫做事实?才有资格被“确认”?我想,非同寻常的说法需要非同寻常的证据。既然“卡尔良相机”可以拍摄到“人体能量场”,那么如果这个说法立场的话,对于整个科学界来说就是一个超级重磅炸弹,可以推翻最基本的常识。科学界人士也是希望成名的,他们会放过这个拿诺贝尔奖的机会吗?他们会立即疯狂地、不惜任何代价的投入到对“脉轮”“卡尔良相机”的研究浪潮之中!晚一点就意味着诺贝尔奖被别人夺走。但事实上全球科学界都对“脉轮”“卡尔良相机”,这是科学家们都修炼成为了“圣人”,对诺贝尔奖不感兴趣了吗?只有全球科学共同体都研究这个东西,按照你提供的“原理”和步骤,经过多次重复性试验,最后再也找不到你的茬,到了这一步,你的说法才算被“确认”。光是是自己一个人“确认”,又有什么价值呢?

爱因斯坦
至于您说的“保持接纳心和好奇心”,从字面意思看,是没有问题的。但这不代表科学界就要接纳伪科学。实际上,美国犹太裔物理学家爱因斯坦刚刚提出相对论的时候,也因为太过于违背传统经验。遭到很多人(特别是哲学界)的反对。但爱因斯坦为相对论提出了“三个预言”,只要研究人士通过观测和实验,逐一验证这“三个预言”,就可以证明相对论是正确的。如果验证不成功,则证明相对论是错误的。这位朋友说的“引力波事件”,恰恰就是对100年前相对论的一个伟大、重要的验证。
但是伪科学学说从来不会“给出验证自己正确或者证伪的预言”。
从来就没有。
每一个人都有接纳心和好奇心,但这份接纳心和好奇心,应该给予那些明确提出可以“验证自己正确或者证伪的预言”的理论学说,而不是给予在任何情况下都是自说自话,没有给出“验证自己正确或者证伪的预言”的言论。
严谨一些的态度,不代表扼杀了人类“探索未知”的精神。探索仅是科学研究的起点,并不代表只要探索了就是科学的。“已知”是对“未知”的征服,没有科学“已知”的基础,就不配谈论所谓的“未知”。因为,当我们拥有了科学上“已知”的知识和理论,才能清晰的知晓世界上哪些才是真正的“未知”。如果一个人什么科学知识都不懂,就到处乱说乱猜,他的这些说法都是毫无价值的,是没有意义的“未知”。有意义的“未知”,是必须有科学的“已知”基础的。
比如,我们知道弦理论很美妙,如果成立就可以解释四大力的统一,但到底能不能验证,我们是“未知”的,因为造不出验证它的巨大加速器。这样的“未知”,才是值得我们去投入精力研究的“未知”。而如果一个人说“地狱里面有一只足球,足球是黄金打造的”,他这样形而上学的说法,是无法给出任何验证的,也无法证伪,那么他这样的“未知”的理论,是不值得科学界去研究的,也可以判断他的说法仅是个人假说,没有实质上的参考价值。
很多玄学爱好者总是喜好攻击科学界人士“无知者无畏”,因为科学界否认了自己的信仰,就倒打一耙,硬说对方是“无知”“无畏”。但其实科学界人士恰恰是“有畏”,但真理的敬畏。他们敬畏“已知”的科学理论,知道按照科学理论和逻辑思维的推论,很多假说都是杜撰的,不符合科学事实和科学理论的。只有当那些个人学说拥有“给出验证自己正确或者证伪的预言”的能力的时候,这些“未知”才能纳入被科学家认真对待的范畴。对没有任何参考价值的“未知”,我们不必“敬畏”。
更何况,那些玄学爱好者信奉的一套,也并不是什么“科学解释不了的东西”,仅是信仰者自己不接受科学解释而已。谁都无法用科学来解释孙悟空为什么踩着筋斗云就能“呼”地飞上天,毕竟它本来就是现实中根本不存在的事情。但凡违反自然规律的灵异事件,尤其是只以文字来描述的灵异事件(如“再生人”),1百分之百都是编造出来的。即便强调一千遍亲身经历,再保证一万遍真实性,它还是编出来的,绝无例外。人人都会编故事,而编出来的故事,当然无法用科学来解释。科学界也早就证明心灵感应等特异功能是不存在的,只是迷信的人不愿意解释事实,所以一定要千方百计否认科学在知识判断领域的一元性,反污蔑科学是“迷信”,好像只要在精神上否认了科学的地位和重要性,科学就再也没有资格给自己的信仰下结论,于是自己就获得了“胜利”。

谁都无法用科学来解释孙悟空踩着筋斗云的原理
但这样的“胜利”只是个人的一厢情愿。
所谓的“科学不能解释”
很多玄学爱好者所谓的“科学不能解释”,分为三种情况:
第一个情况,是由于个人能力,知识,思维的局限性,对自己不能解释的现象,误以为世界上所有人都不能解释。
比方说,一位仅上过幼儿园的朋友,只会做十以内加减乘除,突然被考了一道初中的数学题,他就傻眼了,因为他的能力仅仅局限在幼儿园阶段。由于这位朋友不懂如何解答初中的题目,就口出狂言,说“全世界都解释不了”这道题。其实,这只是区区一道初中题。
第二个情况,是科学上确实有暂时不能解释的事物。
这个现象在科学史上比比皆是,但绝对不是一些“幼儿园小朋友”口中不能解释的东西。
比如,开尔文勋爵提出,物理大厦已经如此坚固,但是却有两朵“乌云”笼罩着在上空。其中一个,就是总也观测不到地球在以太里面穿行的迹象。以太学说在20世纪之前一直是一个主流科学假设,很多科学家穷极一生设计出种种科学实验,就是为了寻找到它。科学家对宇宙大爆炸开端的奇点处的物理状态,现在也不能解释,因为这里温度太高,几种基本力都会统一,所有的已知的物理学规律,在这里都会失效。但是,这些都是可以做理论上的探讨的,与所谓的“科学不能解释灵异现象”之类,完全不是一个概念。

开尔文勋爵
第三个情况,是科学早就已经做了解释,但是迷信的人拒绝接受。用大白话说,就是这些人只接受自己认为好听的话。
比如,某些人津津乐道的所谓“自然界四大未解之谜”:UFO和外星人之谜,野人之谜,尼斯湖水怪之谜,“百慕大魔鬼三角”之谜。除了外星人是不是存在还是一个谜,其他的三大自然之谜早就被破解。
那么,科学真的可以解释世界上的一切现象吗?
总有玄学爱好者说“不要拿地球上落后的科学,去解释无限大的宇宙”。虽然宇宙很大,未知的自然现象无穷无尽,但一切皆建立在物理规律之上。掌握了基础的物理规律,就有了探索未知的精确路径。
比如,我世界上任何一粒盐的微观原子结构都是一模一样的分形排列,那么在其他任何的未知行星上,如果也有盐粒,其晶体结构也一定就是如此排列。地球上的科技水准即使在茫茫宇宙中仅算“落后”,但基础的物理规律是相通的,宇宙中到处都是一样的物理规律。掌握了物理规律的基础知识,我们就知道为何星球都是圆形的,而不是正方形的。即使是“非地球的科学”,也无法证明宇宙中存在一个自然形成的正方形星球。即使是“地球上的科学”,也知道宇宙中没有正方形的星球。

亚里士多德
古希腊哲学家们曾经指出来,我们个人的感觉是靠不住,我们对这个世界的认识中可能存在各种各样的错误,所以要求我们的思想内容和思想方法进行全方位的重新审视,用逻辑来寻找感觉背后的真实。从这一点来说,面对网络上的那些种种违反生活常识、自然规律和科学逻辑的说法,我们再也不能随随便便就去信任,而是永远保持怀疑的态度。千万不要看了几段视频,就立即言之凿凿地说“我已经确认过了”。如果这些所谓的“未解之谜”,连科学界几十年、几百年都得不出对它的证明结论,就这么轻而易举的被你“确认”,那岂非儿戏一般?
最后,如果@强人所不难您非要“确认”,至少需要“卡尔良相机”的拥有者提供一份在国家专利局的原理图纸,而不是仅凭道听途说。不是吗?
作者:怀疑探索者
到顶部