惊人发现:太阳系原来被一个巨大的“气泡”所包裹,并且宇宙可能起源于两个“简单”的公式


一、宏观的宇宙
惊人发现:太阳系原来被一个巨大的“气泡”所包裹。
近日,《自然》杂志发表一篇有关太阳系周围空间结构的研究论文,称地球所在太阳系位于一个巨大形似气泡的空腔中,且位置恰好是位于气泡空腔的中心。
为了揭示太阳系的由来,哈佛大学的科学家们利用太空望远镜展示了太阳系周围1400光年范围内的情况,并且发现了一个重要的线索:太阳系处在一个直径为1000光年的巨大“气泡”内,这个巨大的气泡是由古老的恒星发生超新星爆发后形成的,太阳系正位于这个太空气泡的正中央,还有几颗恒星处在气泡的边缘区域。

其实,在太阳系的外围,还有一个稍小一点的气泡结构,被称之为“日球层”。
日球层是太阳释放的高能粒子与星际空间中的粒子相互作用时产生的一个结构。太阳高能粒子在远离太阳一定距离后,其速度会慢慢停滞,从而在一定的区域内不断积累,形成一道类似屏障的结构,这个结构将整个太阳系包裹起来,并将星际空间中的高能粒子阻挡在外。

旅行者一号和二号探测器曾分别于2012年和2018年对日球层进行了探测,之后科学家们经过分析研究,确定了日球层顶的大致边缘。日球层边缘离地球大概是120个天文单位。如果从远处观测,不难发现太阳系外围先是一个日球层,日球层之外是一个极有可能是球状形体的“奥尔特云”,在此之外,居然又是一个巨大的空腔气泡,如此看来,好像一个细胞啊。

科学家们将这个新确认的巨大气泡命名为“本地气泡”(类似本星系群的命名规则)。
本地气泡直径大约1000光年,包含了太阳在内的1000多颗恒星,有意思的是,根据天文学家的研究,本地泡内这1000多颗恒星,其实都是同一片星云坍塌的产物。目前的观测结果显示,这个范围在1000光年左右的本地气泡属于一个低密度、高温度的等离子体气泡,它最外层是中性气体和星际尘埃,正是因为这个本地泡的存在,包括太阳在内的数千颗恒星才能诞生。

那么,宇宙中是否还有其他气泡呢?
答案是肯定的。
宇宙中存在着许多气泡,而且几乎每个气泡中心位置都有一颗恒星。这种一颗恒星在中间,气泡在四周的结构像极了细胞组织。


可是,为什么太阳会成为这个巨大气泡的中心位置呢?
科学家指出,太阳在气泡的中央也许只是一个巧合。
1970年代,天文学家首次发现了这个巨大的空洞结构,因为他们意识到大约1400万年来没有恒星在局部气泡内形成,附近所有的恒星形成区都位于气泡的表面。气泡内的恒星要么在气泡出现之前就已经存在,要么是在虚空之外形成,现在正在通过气泡,我们的太阳就是这样一个入侵者。


太阳本身一直在带着太阳系全家以每秒220千米的速度绕银河系公转,直到500万年前,本地气泡刚好出现在太阳的公转轨道上后,太阳系才闯入了这个直径1000光年的大泡泡。




历经500万年,一路狂奔的太阳系刚好到达本地气泡的中心位置,考虑到本地泡的膨胀速度远不如太阳的公转速度,所以天文学界认为再有大约500万年,太阳就会脱离本地泡进入星际空间,但也有天文学家认为,本地泡这种结构在宇宙中是广泛存在的,太阳离开现在在这个本地泡后,很快就会进入新的泡状结构中。

之所以这么认为,是因为超新星爆发在银河系中的发生次数太多了,基本上每百年就会发生至少3次超新星爆发,平均30年一次,而银河系拥有100-4000亿颗恒星,频繁的超新星爆发很可能将银河系变成了奶酪洞一样的结构,每个洞都是一个泡状结构。
科学家们早在几十年前就发现地球是在一大片稀薄的气体中运行,根据计算得知,在1400万年前至少15颗恒星发生超新星爆发,从而制造了这片气体区域。在本地气泡出现之前,太阳系以及临近的数千颗恒星周围都还是星云物质和星际尘埃。

1400万年前那场超新星爆发时,濒临死亡的恒星在数秒内释放出的能量相当于过去几十亿年来的总和,这些能量以恒星为原点开始呈球状扩散,最终驱散了萦绕在这一区域的尘埃云,形成了一个物质密度更低的泡状空间,这便是本地泡的第一次出现。此后1000万年内,本地气泡所在区域又先后经历了15次超新星爆发,一次次超新星爆发的能量不断扩大本地气泡的范围,最终形成了今日所见的1000光年的规模。

这些爆炸将制造新恒星所需的材料(如氢气)吹到气泡的边缘,直到现在这个形状奇怪的气泡依然在缓慢向外膨胀扩散,膨胀速度约为4英里/秒(6.4公里/秒),范围已经大到覆盖了太阳旁边的几颗恒星,并且在这个巨型气泡的边缘处正有新生恒星在形成。

值得注意的是,宋朝时期华夏便记录了天关客星超新星爆发,其所形成的蟹状星云直到如今仍然在缓慢膨胀。
天文学家并未发现这些泡状结构有什么异常,因此在未来就算太阳系进入了其他泡泡内,也不会受到什么影响。
真正危险的,其实是银河系内的游荡黑洞。


黑洞可谓人人皆知,但你听过“白洞”吗?
有网友立马表示,白洞没听过,但明洞我知道,在韩国!
不不不,今天咱们要说的有白洞、灰洞、虫洞,就是没有明洞。而且明洞太明,一看便知,显然没有“科普”的必要。
所以,咱们今天的话题就先从白洞说起。其实,白洞、灰洞、虫洞都与黑洞有关。如果没有黑洞,这三种天体也就没有存在的意义了。

1916年爱因斯坦弯曲时空理论诞生时,黑洞概念被提出,此后64年,人类才通过间接手段观测到了黑洞。
众所周知,黑洞是大质量恒星老化后的一个状态,往往是由一颗恒星崩溃向内坍缩而来,当恒星将自身半径压缩到一定程度时(这一程度压缩后的半径称为“史瓦西半径”),可以向内吸收物质,甚至包括光线,这时便可能转变为黑洞。
由于内部核燃料消耗殆尽,一般而言恒星会朝两个方向发展:
(一)质量过小的恒星在燃料燃尽后会变成红巨星,最后变成白矮星;
(二)恒星质量过大、引力过强,内部的核辐射压逐渐减弱,无法平衡万有引力,最终向内坍塌,经历中子星阶段后,再进一步坍塌,成为黑洞。
黑洞不一定是黑色的,只是引力很大,连光都无法逃脱,人类凭借现有手段无法直接观测到它的本来面目而已。但即使如此,也可以借由间接方式得知其存在与质量,并且观测到它对其他事物的影响。

白洞与黑洞一样,是以爱因斯坦的理论为基础提出的假想天体,是为了解决一些问题而提出的。
比如,黑洞一直在吞噬周边的物质,这说明宇宙中的物质在不断地减少。但根据质能守恒定律,物质和能量的总量是不会减少的,那么,被黑洞吞噬的物质和能量去哪里了呢?
如果黑洞只进不出,那黑洞的体积应该无限扩大才是,而且长此以往,岂不是可以吞噬整个宇宙?

为了解释这个问题,并且与爱因斯坦的理论相适应,白洞假说应运而生。
白洞与黑洞两者正好相反,一个只进不出,一个只出不进。二者共同作用,维持宇宙中物质与能量的平衡,就像太极一样,黑白相生相克。

根据白洞理论,有人认为类星体的核心可能是一个白洞。当白洞内超密态物质向外喷射时,就会同它周围的物质发生猛烈的碰撞,从而释放出巨大能量。

由此推断,有些X射线、宇宙线、射电爆发、射电双源等现象,可能会与白洞的这种效应有关。

白洞的力是排斥力,与黑洞的吸引力相反。

虫洞也叫时空洞,也可译为蛀孔,是宇宙中可能存在的连接两个不同时空的狭窄隧道。

虫洞也是根据爱因斯坦的理论假设出来的,当物体密度足够大时可以扭曲空间实现从一个点直接到达另一个点。

爱因斯坦认为虫洞是连接黑洞和白洞的时空隧道,透过虫洞可以做瞬时的空间转移或时间旅行,原本10光年的路程,通过虫洞可以缩短到几公里。而虫洞的入口可能是黑洞,出口则是白洞。

不过即使虫洞真的存在,想要靠它进行时空穿梭就目前的技术而言恐怕也很困难,因为虫洞几乎与黑洞同时出现,如果你真的要试着去穿越虫洞,只能练就“无敌金身”,否则会被强大的X射线和伽玛射线烤成一堆焦炭。
总体而言,白洞、黑洞、虫洞,都是建立在爱因斯坦的物理学理论之上的产物,能够解释一些宇宙天体问题,不过白洞和虫洞目前还只是假设,人类尚未实际观察到。
那灰洞又是什么呢?
简而言之,灰洞就是恒星在向黑洞转变的过程中成为失败案例的产物。
黑洞的由来是由于恒星压缩半径值到一定程度时而来,由恒星转变到黑洞这一过程中,如果恒星半径压缩达不到黑洞的程度,便形成了灰洞。也是,有的恒星成功转化成了黑洞,但并不是每个恒星都能成功的,也有失败的,对吧?
灰洞猜想是另一位著名天体物理学家霍金提出的(实际是不是他也不那么重要了,反正功绩都算在他的头上,就跟一堆作家把自己的作品都署名为莎士比亚一样,谁让当今物理界的扛把子是杨振宁呢)。
霍金有一个著名的理论,名为“霍金辐射”,这是根据量子效应理论推测出的,意思是黑洞并不是只进不出的貔貅,被黑洞吞噬的物质,在强大引力的作用下,会进行质能转换。在黑洞附近产生的正反粒子(能量产生物质,比如正电子、负电子),会被引力分开,一个朝黑洞内部走,一个朝黑洞外部走。
黑洞内的质能就是依靠“霍金辐射”散发出去的,最终质量逐渐变小,直至消失。这样,就用更简便的方式解决了关于黑洞消失、物质去哪里了等问题。
根据霍金的灰洞理论,当大质量的恒星无法顺利产生一颗正常黑洞时,有可能就会形成比中子星体积较小但密度更大的天体,这个天体的质量大致相当于三个太阳的质量。由于坍塌量的不足,导致没有正常黑洞那样的强大引力,有40%的辐射会离开这个天体向宇宙中喷出。霍金将这种看不见但质量大于三倍太阳质量的天体命名为灰洞。
二、微观的世界
物质第四种形态:等离子态。
自然界中,所有的物体都是由物质构成的。根据物体的特性,我们很容易能分辨出哪些是固体,哪些是液体,哪些是气体。
固体具有一定的形状和体积,不能被压缩;
液体有一定的体积,但没有固定的形状,可以流动,难压缩;
气体没有固定的形状,就算在密闭的空间或容器内也是可以改变的,它可以不断流动,容易压缩。
经过研究确认,固态物质具有形状和体积,其分子紧紧地结合在一起的。液态物质也有体积,但没有形状,相比之下,其分子结合得要松散一些,因而液体可以被倾倒到一个容器中以测量它们的体积。气体既没有体积也没有形状,其分子会自由地移动,从而充满任何一个可以封闭它们的容器。
众所周知,在一定的压强条件下,宏观物质会随着温度的升高,由固态变为液态、再变为气态(也可能直接从固态变为气态,直接气化)。




那么,气态物质的温度继续提升,等离子态便出现了。
这是气体在约几百万度的极高温或在其它粒子强烈碰撞下所呈现出的物态。

物质由分子构成,分子由原子构成,而原子则由带正电的原子核和围绕它旋转的带负电的电子构成。
当温度上升到一定程度时,物质的分子分裂成原子状态,接着原子的外层电子会摆脱原子核的束缚,成为自由电子。




失去电子的原子变成带正电的“离子”,这个过程就是“电离”。

电离出的自由电子总的负电量,与正离子总的正电量相等,这种高度电离的、宏观上呈中性的气体,就称为“等离子体”。


等离子体容易受到电磁场的影响,导电率很高,与固态、液态、气态相比,它是一种全新的物质聚集态,从排列次序上来说,也将之称为物质第四态。


在广袤无垠的宇宙中,等离子体其实是物质存在的主要形式,而非少数形式,占可见宇宙中物质总量的99%以上,例如,地球高空的电离层、闪电、极光,太阳及诸多炽热的恒星等等,都是等离子体。
日光灯、水银灯里的电离气体则是人造的等离子体。

那么除了上述四种形态外,物质还有其他形态吗?
答案是肯定的。
事实上,现有的物质形态有十种以上,而且这个数字还在不断增加中。
除了固态、液态、气态、等离子态,物质还有非晶质固态、液晶态、超流态、简并态、强对称物质、弱对称物质、玻色-爱因斯坦凝聚态、费米子凝聚态。
非晶态——特殊的固态
普通玻璃是固体吗?你一定会说,当然是固体。
其实,它不是处于固态(结晶态),这是因为玻璃与晶体有着不同的性质和内部结构。将玻璃放在火中加热,随温度逐渐升高,它先变软,然后逐步熔化,说明玻璃没有一个固定的熔点。此外,它的物理性质也“各向同性”,而这些都与晶体不同。研究发现,玻璃内部结构没有“空间点阵”特点,而与液态的结构类似。只不过“类晶区”彼此不能移动,造成玻璃没有流动性。所以这种状态被称为“非晶态”。
严格地说,“非晶态固体”不属于固体,因为固体专指晶体;它可以看作一种极粘稠的液体。因此,“非晶态”可以作为另一种物态提出来。除普通玻璃外,“非晶态”固体还很多,常见的有橡胶、石蜡、天然树脂、沥青和高分子塑料等。
液晶态——结晶态和液态之间的一种形态
液晶属于有机化合物,在电子表、计算器、手机、传呼机、微型电脑和电视机等的文字和图形显示上得到了广泛的应用,迄今人工合成的液晶高达5000多种。
这种材料在一定温度范围内可以处于“液晶态”,既具有液体的流动性,又具有晶体在光学性质上的“各向异性”。它对外界因素(如热、电、光、压力等)的微小变化很敏感。正是利用这些特性,使它在许多方面得到应用。
这些都是日常条件下可以观测到的物质形态,随着物理学技术的进步,在超高温、超低温、超高压等条件下,又发现了一些新“物态”。
超高压下的超固态
在140万大气压下,物质的原子可能被“压碎”,电子全部被“挤出”原子,从而形成电子气体,裸露的原子核则紧密地排列起来,物质密度大幅增加,而这便是超固态。
一块乒乓球大小的超固态物质,其质量至少在1000吨以上。质量较小的恒星发展到后期成为白矮星,其实就处于超固态,其平均密度至少是水的几万到一亿倍。
超高压下的中子态
在更高的温度和压力下,原子核也会被“压碎”。原子核由中子和质子组成,在更高的温度和压力下,质子吸收电子会转化为中子,物质呈现出中子紧密排列的状态,故称之为“中子态”。
中等质量(1.44~2倍太阳质量)的恒星发展到后期阶段的“中子星”,是一种密度比白矮星还大的星球,其物态就是“中子态”。而更大质量恒星的后期,理论预言它们将演化为比中子星密度更大的“黑洞”。
物质在高温、高压下出现了反常的物态,那么在低温、超低温下物质会不会也出现一些特殊的形态呢?
答案:是的。
三、连接宏观世界与微观世界:除了物理上已知的四大基本力(引力、电磁力、强作用力、弱作用力),底层架构其实是数学。
(华夏)人类不是发明了数学,而是发现了数学。
细思极恐: 宇宙可能起源于两个“简单”的公式。
若宇宙是构建在数学之上,那么是否存在着一种底层架构的“公式”,让一切事物都在暗藏的数学公式下发挥支配作用?
如图所示,好像的确存在着这么一个超级公式,即欧拉公式,有人惊异地将之称为“上帝公式”。

在物理中,欧拉公式影响巨大,它将物理学中的圆周运动、简谐振动、机械波、电磁波、概率波等联系在了一起......
诺奖得主理查德·费曼将欧拉公式称为:“我们的珍宝”和“数学中最非凡的公式”。
数学家们将之誉为“上帝创造的公式,我们只能看它却不能完全理解它”。

那么,为什么说欧拉等式是上帝公式呢?

让我们先来看看公式中的五个“要素”:
【e】:自然常数,为数学中一个常数,是一个无限不循环小数,而且是一个超越数,其值约为2.718281828459。上大学学习了高等数学后就会知道,很多的结果都和e有关系。以e为底数,许多的式子都变得简单明了,用它是最“自然”的,所以叫“自然对数”。所以在涉及对数的计算中,一般都用它。
【i】:规定 i=-1,并且 i 可以与实数在一起按照同样的运算律进行四则运算,i 叫做虚数单位。这个是欧拉在1748年在其《无穷小分析理论》中提出,但没有受到重视。1801年经高斯系统使用后,才被普遍采用。
【π】:大名鼎鼎的圆周率。是一个常数(约等于3.14159265458),是代表圆周长和直径的比值。它是一个无理数,即无限不循环小数。它也是一个超越数。它比e可有名多了!小学阶段都在接触π了。在日常生活中,通常都用3.14代表圆周率去进行近似计算。
π在几何上有效地帮助很多图形计算周长面积;π在代数上因为其超越性否定了化圆为方这古老尺规作图问题的可能性;还有在数论、概率论、统计学、物理学等各方面应用。
【1】:1在我们生活中非常常见,是我们认识的第一个数字。
【0】:为了表示“没有”,就产生了一个新的数,“零”。尽管在数量上0表示啥都没有,但是它却和其他数字有着同等地位,参与我们的数学运算。0是万物的出发点,也是正负数等方面的分界线。
世界上最完美的平面对称图形是圆, 用直径除圆周得到的一个数值,被证明是无理数。而这个符号π是数学大神欧拉第一个确定使用并普及的。
圆周率 π 和 欧拉数e 都是无理数,也是最著名的超越数。
有人说是因为这个公式将人类在自然界中数字e(e=2.7181281828459)和π(π=3.14159265358),与人类发明的数字0和1(不论你是否承认,世界数学史已经基本确定这些数字不叫阿拉伯数字,阿拉伯人没有发明这些数字,而是唐朝边民的发明了这些数字),以及人类想象出来的虚数i,这5个看似毫无关联却颇为微妙的数学符号通过一个公式全部联系了起来,而造物主正是通过这样一个公式来创造世间万物。
为什么会有这种奇怪的看法呢?
先来说说这个虚数i。
虚数单位“i” 是数学大神欧拉首创的,虚数的平方为负1。

虚数继续发展,就变成了数学的一支——复分析,工程师可以利用复分析来进行数据处理, 科学家们将微积分扩展到复数,得到了“复变函数”,它对理解电学系统和多种现代数学处理算法必不可少。
迄今为止,虚数广泛应用于电气工程学、信号处理和数学理论。
虚数i有个特点,可以在平面坐标轴里转圈。

如果把它放到三维空间中,沿着X轴边走边转圈的话,则正好是函数e^ix 的图像,是一条标准的螺旋线。



有意思的是,螺旋线恰好是我们宇宙的主要构成方式。人的DNA是双螺旋,宇宙间各种行星、恒星的真实运行轨迹都是螺旋线,电磁波也是螺旋的(从其物理表达公式就能看出来,有e^ix 的身影)。


爱因斯坦曾说,世间万物的本质都是由能量构成的,也就是说世间万物极有可能是由具有螺旋属性的电磁波叠加而成。

e^ix 这根螺旋线若从上面看,它是一个余弦波,余弦函数cos;


若从正面观察,它恰好又是正弦波,是sin函数。

因此,欧拉说这个函数就是一个余弦波和一个正弦波叠加产生,于是e^ix 便有了其表达式,从而推导出这么一个完美的上帝公式。


时空阶梯理论认为,宇宙的根源是暗物质,暗物质极化产生收缩的物质世界和膨胀的暗能量(这个理论不仅可以解释暗物质的星系自转曲线,能解释与暗能量有关的现象,而且能解释神秘的双缝实验),而暗物质不稳定,在希格斯机制下,重新极化,又产生新的收缩的物质世界和膨胀的暗能量世界,这是一个无限循环的宇宙模式。
而欧拉公式正好可以表达这个循环,它表述了宇宙的宏观和微观运动,是宇宙的演化公式。

此时,人们惊异地发现,原来如此庞大的宇宙只是起源于欧拉公式与质能方程(E=mc²)。
难道,这个世界真是被造物主设计的吗?
随便输入两段代码就生成了这个虚拟的“元宇宙”?
英国科学期刊《物理世界》曾组织投票评选“最伟大的公式”,由此诞生世界最伟大的十大公式:
第十:圆的周长公式
该公式为自然界最完美的形状找到了数学表达,从祖冲之到欧拉,无数的π迷们为之倾倒。目前,人类已经能得到圆周率的2061亿位精度。不过,现代科技领域使用的圆周率值,十几位就已足够了。如果用35位精度的圆周率值来计算一个比太阳系还大的圆的周长,误差不超过质子直径的百万分之一。

神奇的数字“π”(圆周长与直径的比值),目前已经计算到了小数点后62.8万亿位……



第九:傅立叶变换
傅里叶变换是一个相对复杂的公式,在不同的研究领域,具有多种不同的变体。最初,是作为热过程的解析分析的工具出现的,而在后来这个公式的适用性越来越广泛。这个公式是一种分析信号的方法,可以分析信号的成分,也可用这些成分合成信号。可以把傅里叶变换视为一个将一个域内的函数转变为另一个域内函数的工具,帮助我们了解宇宙。

傅里叶是个法国人,他之所以搞出这个傅里叶变换,主要是想让大家更容易社交和找女朋友,因为这个公式是数字信号处理领域里最最重要的基础。今天,我们能够遨游互联网,全都得感谢傅里叶在两百年前的功劳。

第八:德布罗意方程组
高中物理中有个东西叫“波粒二象性”,正是德布罗意提出来的。他认为宇宙中的物质都具备波粒二象性,也就是所有的粒子都具备波的性质,波粒二象性是粒子的基本性质之一,这样就可以解释很多难题了。高中物理的光学很多概念与它有关。德布罗意觉得电子不仅是一个粒子,也是一种波,它还有 “波长”,于是研究后有了这个物质波方程,表达了波长、能量等等之间的关系,获得了1929年诺贝尔物理学奖。

爱因斯坦的质能方程确定了质量与能量的关系,德布罗意方程就揭示了波长、能量等之间的关系,并画上了一个完美的等号。
第七:1+1=2
这个公式看似简单,却是一切的开端和基础。上榜需要理由吗?
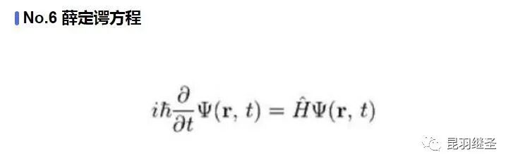
第六:薛定谔方程
这是奥地利物理学家薛定谔提出的一个方程,是世界原子物理学文献中应用最广泛、影响最大的公式。

这个方程是量子力学中的一个基本方程,同时也是量子力学成立的一个基本假定,这个方程的意义是描述微观粒子的运动,每一个微观系统都会有一个对应的薛定谔方程,解开这个方程后就可以得到这个量子系统对应波函数的具体形式以及对应的能量,从而了解这个量子系统的性质。由于对量子力学的杰出贡献,薛定谔获得1933年诺贝尔物理奖。

该方程告诉人们:量子力学中粒子是以概率的形式出现的,具备不确定性,但是在宏观状态下,粒子的失效概率可以忽略不计,这就是为什么量子力学具备的不确定性在宏观世界见不到的原因。

第五:质能方程
这个方程由狭义相对论推导而出,描述了质量和能量之间的当量关系,完全颠覆了经典力学中对质量和能量之间的认知,在经典力学中能量和质量是完全不同的概念,但是质能方程指出,质量和能量有确定的当量关系。
质能方程颠覆了传统认知,还延伸出了光速不变原理。

第四:勾股定理
勾股定理是华夏乃至人类数学发展过程中,很早就证明的重要数学问题,也是用代数思维解决几何定律的重要工具。勾股定律是几何学的基石,是数和形相互结合的重要纽带,简单来说勾股定理是人类测量学的基础,同样也是几何学的基础,并且还在历史上有着重要的地位。
注意,不要称毕达哥拉斯定理,因为没有信史证明历史上曾有毕达哥拉斯这个人存在,他与阿基米德、亚里士多德一样,都是杜撰的人物。

第三:牛顿第二运动定律
牛顿第二定律即:物体加速度的大小跟作用力成正比,跟物体的质量成反比,且与物体质量的倒数成正比;加速度的方向跟作用力的方向相同。

牛顿第二运动定律和牛顿第一第三定律共同组成了牛顿运动定律,是人类经典力学的基本定律。

必须指出的是,艾克萨牛顿不仅是一位科学家,而且拥有法国公鸡会会长身份,是耶稣会士,以牛顿为首的科学家一直试图从“科学”的角度证明他们所信奉的教会之神的存在。牛顿诸定律在耶稣会传教士窃取的墨家科技典籍中早已存在并有详细说明,同理,地心引力也不是牛顿第一个提出来的,而是因为他看了早于他五六十年的华夏典籍中明确提出的地心引力学说而继续完善、发展出来的。同样的情况,还有他与莱布尼茨看了明朝王文素的算学宝鉴,熟悉了导数的概念和运算,后来才几乎同时“发明了”微积分。
有一个基本事实要明白,数学来源于华夏几千年如一日、从不间断的天文观测,而物理则是在数学产生的基础上才得以诞生的。没有系统化的、高深的数学知识,物理学不会产生。在1675年伦敦格林尼治天文台建造以前,整个西方是没有所谓的天文观测记录的,没有天文观测史料、没有天文观测习惯,所以连一年有多少天都搞不清楚(存在岁差,19年7闰,中国人虞喜是全世界第一个发现岁差的),因此西方的历法都是从中国传过去,然后改个名字的,比如把元朝郭守敬的授时历改改,叫做儒略历。这些线索不难找,只是很庞杂,重点在来华的耶稣会传教士身上。
第二:欧拉公式
著名的欧拉公式被誉为人类最美的公式、上帝公式。高斯说过,如果一个人在看到欧拉公式的第一眼感受不到它的美感,就注定不能成为一个伟大的数学家。欧拉本人更是把这个公式刻在了皇家科学院的大门上。这个公式在高等数学和物理学中经常出现,简单来说就是将三角函数与复指数函数巧妙关联了起来。

第一:麦克斯韦方程组
人类历史上空前绝后的物理学大一统。这是一组描述电场、磁场与电荷密度、电流密度之间关系的偏微分方程,由两个散度方程两个旋度方程组成,相互之间耦合,变化万千。

此方程组是人类电气时代的基础,它统一了电和磁的相互作用,融合了电磁理论相关的一切方程式,甚至把光也融合其中。它是唯一适用于相对论的经典力学方程。宇宙中所有的宏观电磁现象,都可以用这个方程组来解释和预测。
“场”的概念因为这个方程逐渐诞生。

四、时间其实并不存在,而是一种空间运动,且每个人、每个事物的时间并不相同。
白天黑夜是由于地球绕着太阳公转,一面朝阳(处于阳光照射下,即为白天)、一面背阳(处于黑暗中,即为黑夜)。
地球自转一周为23小时56分,故大约为一天,地球沿着椭圆形轨道绕太阳公转一周为一年(公转轨道半长径约为1.496亿公里,公转的平均轨道速度为每秒29.79公里)。
太阳绕银心公转一周的时间被称为1银河年,从太阳系诞生至今,才过了不到21个银河年。也就是说,太阳才完成了20圈的公转,还要再过2000万年的时间才能完成第21圈公转。

每个星球都有不同的运动轨迹,故有不同的“时间”。
所以,时间只是人类发明的一种记事维度、计算维度。
时间虽然在一定框架内被统一了,但具体而言,到每个人身上,其实都是不一样的,——这是爱因斯坦的观点。
在空间运动和时间流逝中,时间与空间相互统一成一个时空,二者存在一种互补关系。简单而言,空间中的运动会影响时间的流动。



1971年,有人做过这样一个实验,他们找来两个地球上那时堪称最精密的原子钟,一模一样的原子钟,把一个原子钟保存在地面不动,而另一个原子钟则随着喷气式飞机绕地球飞行,结果对比后发现,两个原子钟之间显示的时间存在差异,——尽管,这种差异微乎其微,只有几千分之一秒。但这也足够表明空间运动对时间流动的确存在影响。



流动的时间就像无数张电影胶片或照片,所有发生过的事情都可以看做是这些电影胶片或照片的合集。你可以把时间想象成一条冰冻的长河,每一刻都被固定都被固定在适当的位置,过去、现在和未来同时存在。
时间总是朝着同一个方向流动,并且从不回头吗?
如果我们真的身处元宇宙,那么真相可能是“未必”。
时间或许根本就没有流动,过去不会消失,而未来也许已经存在。
那么,人类有可能穿越时间吗?
天才的物理学家曾说,有一种办法在理论上可行。利用引力的奇特性质,可以制造一个时间机器,借用引力来拖住时间,以此减缓时间流逝的速度。引力越强,时间流逝得就越慢。
地球引力太小,对人类的影响不太明显。但如果是一种拥有超强质量的天体“黑洞”呢?它的引力强度胜过地球的百万、千万甚至数亿倍。



当你乘坐的飞船越接近黑洞,时间流动的速度就会明显减慢。


假如飞船在黑洞的轨道上飞行两周,并且幸运的是没被吸进黑洞的话(光都跑不掉,人还能不被吸进去?别急,随着理论的发展,也许还有别的办法),当你再回
到地球时,时间或许已经过去了五十年,于是你成功来到了地球的未来。




假设我们将地球绕太阳运动的每一个瞬间拍摄下来,以至于整个宇宙的每一个瞬间也都拍下来。从一百三十八亿年前宇宙大爆炸开始,到银河系的形成,再到四十五亿年前地球诞生到恐龙时代,一直到如今,这一切组成了我们的宇宙时空。
而这将引导我们推翻关于过去、现在和未来的理解。比如现在时钟正好指向中午十二点,一只猫刚从窗户跳下,广场上一只鸽子正在起飞,一颗陨石刚好撞上月球,宇宙的某个角落,一颗恒星发生了爆炸。
在宇宙的不同地方发生着无数类似的事件,共同组成了我们直观认为的现在,我们可以把它理解为是空中的一个切片,而我们所谓的时间就是由无数个这样的切片组成。
当我们身处每一个切片时,也就是我们所认知的现在。

这个理解起来其实不难,你可以想象一下电影胶片、电影画面,那么多帧画面按照一定的速度进行播放,比如每秒36张,玩过剪辑或剪映的人肯定不会陌生,看到画面的人就以为“画面很流畅,里面的人物在动,是活生生的”。
可是,电影画面、电影胶片中的人物真的是“活”的吗?
坦白来说,人类的视觉也欺骗了我们自己。
人眼在观察景物时,光信号传入大脑神经,需经过一段短暂的时间,光的作用结束后,视觉形象并不立即消失,而后产生残留视觉,即“后像”,视觉的这一现象则被称为“视觉暂留”。
1824年由英国伦敦大学教授皮特.马克.罗葛特在他的研究报告《移动物体的视觉暂留现象》中最先提出“视觉暂留”。视觉暂留现象,又被称为“余晖效应”,是光对视网膜所产生的视觉在光停止作用后,仍保留一段时间的现象,其具体应用是电影的拍摄和放映,原因是由视觉神经的反应速度造成的。
当把运动与时间结合起来考虑时,对于时间的常识性认识就不适用了。假设相距一百亿光年外的外星生物和一个地球人保持静止时,两者处于同一个时空切片,但如果外星生物开始移动,由于运动减慢了时间的流动,他们的时间也就不再同步,而切片就会产生一个斜角,这个微小的斜角跨越百亿光年距离,就会造成巨大的时间差距。外星生物时间流逝慢,就成了地球人的过去。
若外星生物朝相反方向运动,也会产生相反的影响。如此,外星生物时间流逝加快,又变成了在地球人未来的存在。这就意味着过去、现在、未来,其实都是真实存在的,并且它们都以相同的方式存在于时空之中。
正因如此,爱因斯坦才说,人类对时间的认识只是一种“根深蒂固的幻觉”。
五、基于数学架构的宇宙,可能是超级量子计算机模拟出来的“虚拟世界”。
宇宙是虚拟的?
在电影《楚门的世界》中,男主人公出生之后就在镜头的监视下长大,他周围所有的一切都是被刻意安排好的,而在这个摄影棚的外面,有无数双眼睛在紧紧盯着电视屏幕,看着他人生成长过程的现场直播。可是,在一系列蛛丝马迹和无可辩驳的证据面前,主人公楚门不断加深怀疑,终于意识到自己原来处于一个“虚拟”的世界,世间所谓的一切“美好”都是被刻意安排好的……


那么,人类是否也正是如此,身处“牢笼”而不自知?
1981年,哲学家希拉里.普特南提出了“缸中之脑”的概念,这让人们开始思考一个有趣的问题:我们的世界是虚拟的吗?

2003年,牛津大学的哲学教授尼克.波斯特罗姆发表了一篇题为“我们是否生活在计算机模拟中”的论文,详细地论证了我们生活在非虚拟世界的可能性微乎其微。该论文发表后得到了很多人的认同,包括大名鼎鼎的史蒂芬.霍金、比尔.盖茨和伊隆.马斯克。

时至今日,已有不少的人对世界的真实性持怀疑态度,为了证明世界的虚拟的,有研究者列出了几个“无可辩驳的证据”:
一、微观世界的“反常现象”与暗示
微观粒子总是处于一种模糊状态(比如状态叠加,比如电子显微镜下的围绕原子核运转的某个电子可以形成电子云,同时出现在任意一处,比如令人惊奇的双缝干涉实验,海森堡于1927年还提出了测不准原理),只有在出现观测者的情况下其状态才会确定下来。研究者刚开始百思不解,但经过仔细思考后认为,这种现象与电脑游戏程序极为相似,为了节约算力,系统会将一些不必要的细节做模糊化处理,直到有人使用时才会确定细节和状态。
二、虚拟宇宙的科技不断发展
在几十年前我们的电脑游戏程序还非常简单,而时至今日,人类已开发出了虚拟现实技术,虚拟世界与真实世界的分界线正在逐渐变得模糊。随着人类科技的日益进步,在不久的将来,人类就会开发出令人完全无法分辨出真假的虚拟世界。
人类对世界的认知,其实主要依靠的是五大感官和生物电信号,一旦可以模拟这些生物电信号,用以替代传递的数据,那么人所感知的一切都会无比真实,并会坚信不疑。
目前,人类已经在尝试模拟宇宙。
尼克.波斯特罗姆有一个重要的观点,那就是如果某个智慧文明拥有了足够的科技,那么他们就有极大的几率去创造虚拟的世界,为了不同的目的,他们会创造大量的虚拟世界供其研究,而虚拟世界里的智慧文明也会做同样的事情,因此虚拟世界的数量将会是一个大得无法想象的数字,人类的世界很可能是其中的一个。

2014年,哈佛-史密森天体物理学中心的科学家就连接了8000台计算机,以我们的宇宙为“样本”,创造了一个3.5亿光年宽度的模拟宇宙,并对其数字化了130亿年的时间。
由此,或许会出现类似于“俄罗斯套娃”的情况。例如,第九维度的文明创造了第八维度文明,第八维度的文明创造了第七维度文明,第七维度的文明创造了第六维度的文明……以此类推,直到第五维度的文明创造了拥有三维空间+时间维度的人类。
而人类目前只能创造更低一级维度的“虚拟文明”。
三、人类面对的这个世界存在极限,且有符合数学公式的底层架构
世界是有极限的,比如说速度的极限是光速,长度的极限是普朗克长度,一旦超出了这些极限,所有的物理规则都会失去意义。有科学家认为,这些极限其实就是虚拟世界系统的极限,例如光速就是系统的速度极限,而普朗克长度则是系统的精度极限。
数学家和物理学家在各个分支领域不断探索,几乎可以肯定,生命不是偶然,而是符合大量苛刻条件下的神奇存在,造物的设计符合数学逻辑,可以用数学、用物理语言进行解释,就像杨振宁所说的那样:造物者是存在的,因为这个世界的结构不是偶然的。
四、宇宙隐藏着计算机代码
马里兰大学的物理学家吉姆.盖茨声称,他在研究弦理论中的超对称问题时,发现了某些描述物质基本性质的方程式中包含了嵌入式计算机代码,根据他的介绍,这些代码是“1”和“0”的形式出现,它们与现代网络浏览器中的“错误纠正代码”非常相似。人类的DNA数据和大脑读取、存储过程,就某种程度而言,也是信息代码解码、转化、存储、读取的过程。
现代人类正面临着各式各样的危机。
研究者认为,这正是程序设计者的初衷,他们设计出这样一个虚拟世界,就是为了观察一个智慧文明会如何解决现在以及未来的危机,这可能会为他们在面临类似问题时提供一些有用的启示。
至于我们所知道的所有在“过去”发生的事,也只不过是系统告诉我们的而已。
人类与造物主之间隔着什么?是系统的几块屏幕吗?
或许,中间隔着的是只有那种类似量子隧穿效应才能到达另一端的维度屏障。
而这也正好说明了为什么可观测宇宙的质量只占整个宇宙很少一部分(大约5%)的原因。
***关注我,关注《昆羽继圣》,关注文史科普与生活资讯,发现一个不一样而有趣的世界***

到顶部