詹姆斯、C罗都热衷的抗衰黑科技,冷冻治疗法在零下110度“冻住”青春,治愈伤痛



编者按
近期,湖人队将以顶薪续约勒布朗·詹姆斯的新闻席卷各大平台,如今已37岁的詹姆斯竟还能维持全盛体能并勇夺得分榜前三的秘密,在他的采访中终于发现,原来是使用了一种专业保养方式——冷冻治疗法(Whole-Body Cryotherapy,WBC)。
无独有偶,太阳报去年曾报道,曼联队的C罗花费了5.7万美元从意大利购入一个冷冻治疗室放于家中,用于他的赛后治疗。小牛队二号得分手特里,也曾评价使用WBC后“觉得自己的身体立刻变年轻了”。

图:詹姆斯正在接受WBC
这个让NBA和曼联的顶级运动员们都趋之若鹜,不惜斥巨资都要买回独享的“永葆青春”黑科技,到底是如何在超过-110°C的低温环境中保证使用者安全?又是怎样将青春体力“冻存”?且听时光台记者小派为您发来的前线跟踪报道。

今晚7:00-8:00,时光派直播连线国外知名抗衰KOL,带你揭秘抗衰行业不为人知的内幕,预约↓↓↓

早在1989年,就有研究发现将全身暴露于-110℃至-140℃的极度寒冷的空气中,可有效治疗类风湿性关节炎、强直性脊柱炎等疾病。在之后的应用治疗中,低温还有效减轻了运动过后乳酸堆积过多等现象。直到2009年,美国开始大量引进冷冻治疗室进行运动后的恢复治疗,WBC正式走上抗衰赛场。
在历经数场抗衰大赛的洗礼后,发现WBC不仅可缓解肌肉酸痛,还能有效降低炎症因子含量,提高抗炎能力,延长细胞活性并增加健康寿命[1]。

缓解肌肉酸痛
在使用WBC过程中,低温会刺激皮肤的温度感受器,从而刺激下丘脑的温度调节中心,因肾上腺素提高、交感神经纤维传导兴奋和局部小动脉、小静脉的收缩,缓解关节和肌肉酸痛[2]。
现存的大量临床应用,确定了WBC可有效抑制体内大量促炎细胞因子的产生,导致炎性衰老的细胞调节因子IL-6含量降低;并且还抑制神经递质乙酰胆碱的形成,使神经传导能力下降,双管齐下,对身体疼痛问题起到逆转性治疗[3]。

降低炎症反应
另一方面,极度低温还会引发膜系统中蛋白质结构发生改变,在后续逐渐适应正常温度过程中,已变性的蛋白质会在有效范围内,刺激提高机体的免疫系统,减少促炎物质的产生并降低氧化应激效应[2]。
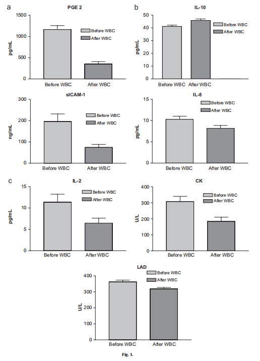
先前一项针对职业橄榄球运动员的研究,让10名运动员每天在-110°C条件下进行2分钟的WBC,发现各人体内抗炎细胞因子IL-10的浓度均得到显著提高,且促炎细胞因子IL-2、趋化因子IL-8和炎性标志物sICAM-1含量均遭到降低[4]。可见,WBC可有效缓解细胞炎症,延长细胞健康寿命。

图:运动员体内免疫学参数变化
然而,并不仅限专业运动员,像小派这样的普通用户如想提高抗氧化抗衰能力,也可进行WBC的应用。在对40名年轻和老年男性共同进行为期3分钟、130°C的WBC多日后,受试者血液中长寿蛋白Sirt1、Sirt3水平和全身抗氧化能力均得到提高,有效缓解细胞内的氧化损伤,增加了线粒体的能量合成,从而提高细胞活性[5]。
怪不得这么多知名运动员在使用过后,不仅能保持数十年如一日的身体素质,现如今看起来还能维持“年轻的模样”,只因WBC为他们消除了衰老背后最大的敌人——炎症。


WBC应用流程
为给被WBC实力圈粉的各位粉丝谋求福利,小派连忙安排抗衰赛后WBC的独家采访。
Q
小派:“请问使用前有没有需要先了解的注意事项?”
A
WBC:“使用者在进入前必须保证身体上无任何汗水,并且要穿着短裤、袜子、鞋子、口罩、手套和可以覆盖耳廓的帽子等,避免瞬时低温将这些无毛发部位冻伤。
治疗过程并不是一下子进入冷冻箱,而是要经历一个降温的适应过程。首先进入一间-30°C至-60°C的低温室,在此停留约30秒,待身体适应温度后,再进入-110°至-140°C的液氮低温冷冻箱,正式进行WBC,时间不得超过3分钟。”[6]

图源:www.groupon.com
零下110度仍不会冻伤的真相是?
Q
小派:“又是如何保证在超过-110°C的低温下坚持3分钟还不会被冻伤?”
A
WBC:“因为液氮属于含水量较多的液体,当它遭遇极度炙热(人体)时,会化作一层绝缘的气态蒸汽层,也是隔温防护层,可以在短时间内的一定防护下,防止身体被冻伤[7]。因此WBC只要在专业的操作下进行,是绝对安全的。”

看到这里,是不是想立刻接受一次WBC体验?据小派了解,目前市面中已存在一款,2010年就获得FDA审批通过的coolsculpting技术,可对身体上有需求的部位进行针对性的冷冻溶脂。

图源:https://www.coolsculpting.com/
然而在小派后期的便衣走访中却发现,有很多美容院都在打着可进行WBC的招牌,实际使用的根本就不是获批的专业仪器(小派动了谁的蛋糕?)。因此,小派为大家搜集来WBC仪器榜单,以防大家踩雷。

表:WBC技术
注意!!!根据哈佛医学院的科学报道,WBC并不适用于所有人,相关临床记录证明,已有部分患者的血压在使用过后曾出现一定程度变化[8]。因此在可提供WBC服务的平台中,也建议像患有冷球蛋白血症、雷诺病、甲状腺功能减退、急性呼吸系统疾病、心血管系统疾病、化脓性坏疽性皮肤病变、交感神经系统神经病变、局部血流障碍、幽闭恐惧症和精神障碍的人群,都一定要慎重使用。
而且小派还了解到,使用频次过多会显著降低体内血红蛋白含量和氧饱和度,对心血管造成一定负面影响[9]。因此还需根据个人体质,在专业人员的评估和陪伴下进行使用哦。

WBC,或许在更长时间或更低温度下,能达到对缓解疼痛和抗炎抗衰更佳的效果,然而因人体在其中能承受的时间和温度有限,导致WBC实力的发挥只能到此为止。
然而小派暗访很多顶级运动员的私教定制保养后发现,WBC往往会搭配一系列,后续可进一步提高代谢水平和心血管活性的设备(例如高压氧舱),强化细胞活性,保持身体的青春活力。这种多项科技结合达到事半功倍的奇巧,或许也能为WBC的使用者或有意向的粉丝提供最优抗衰思路。

图源:https://www.slamonline.com/(詹姆斯在使用高压氧舱)
那么,时光台小派的WBC特别报道就到这里,我们下期再见!
时光派邀请您连线业内大咖:

Nathan Cheng,物理学专业背景,从零开始投身抗衰大业,在短短几年成为长寿领域知名KOL,受到David Sinclair、Brian Kennedy、Nir Barzilai等诸多业内大咖的支持与关注。他以消息灵通而闻名,曾提前一年“预告”沙特皇室成立Hevolution基金会,这一消息今年6月才为大众所知。
今晚19:00-20:00,时光派将直播连线Nathan Cheng,带你一起了解长寿领域内幕,探讨我们何时终结衰老的问题。
—— TIMEPIE ——

参考文献
[1]Anna, M., & Magdalena, S. K. (2021). Evaluation of the influence of whole-body cryotherapy on selected skin parameters in healthy individuals: Pilot study. Cryobiology, 100, 77–80. https://doi.org/10.1016/j.cryobiol.2021.03.007
[2]Bouzigon, R., Grappe, F., Ravier, G., & Dugue, B. (2016). Whole- and partial-body cryostimulation/cryotherapy: Current technologies and practical applications. Journal of Thermal Biology, 61, 67–81. https://doi.org/10.1016/j.jtherbio.2016.08.009
[3]Leppäluoto, J., Westerlund, T., Huttunen, P., Oksa, J., Smolander, J., Dugué, B., & Mikkelsson, M. (2008). Effects of long‐term whole‐body cold exposures on plasma concentrations of ACTH, beta‐endorphin, cortisol, catecholamines and cytokines in healthy females. Scandinavian Journal of Clinical and Laboratory Investigation, 68(2), 145–153. https://doi.org/10.1080/00365510701516350
[4]Banfi, G., Melegati, G., Barassi, A., Dogliotti, G., Melzi D’Eril, G., Dugué, B., & Corsi, M. M. (2009). Effects of whole-body cryotherapy on serum mediators of inflammation and serum muscle enzymes in athletes. Journal of Thermal Biology, 34(2), 55–59. https://doi.org/10.1016/j.jtherbio.2008.10.003
[5]Wojciak, G., Szymura, J., Szygula, Z., Gradek, J., & Wiecek, M. (2020). The Effect of Repeated Whole-Body Cryotherapy on Sirt1 and Sirt3 Concentrations and Oxidative Status in Older and Young Men Performing Different Levels of Physical Activity. Antioxidants, 10(1), 37. https://doi.org/10.3390/antiox10010037
[6]https://www.health.harvard.edu/
[7]Dai, Q., Huang, W., Wang, X., & Khonsari, M. (2021). Directional interfacial motion of liquids: Fundamentals, evaluations, and manipulation strategies. Tribology International, 154, 106749. https://doi.org/10.1016/j.triboint.2020.106749
[8]Zalewski, P., Buszko, K., Zawadka-Kunikowska, M., Słomko, J., Szrajda, J., Klawe, J. J., Tafil-Klawe, M., Sinski, M., & Newton, J. (2014). Cardiovascular and autonomic responses to whole-body cryostimulation in essential hypertension. Cryobiology, 69(2), 249–255. https://doi.org/10.1016/j.cryobiol.2014.07.014
[9] Selfe, J., Alexander, J., Costello, J. T., May, K., Garratt, N., Atkins, S., Dillon, S., Hurst, H., Davison, M., Przybyla, D., Coley, A., Bitcon, M., Littler, G., & Richards, J. (2014). The Effect of Three Different (-135°C) Whole Body Cryotherapy Exposure Durations on Elite Rugby League Players. PLoS ONE, 9(1), e86420. https://doi.org/10.1371/journal.pone.0086420
到顶部