一扒到底:续说西方著名伪神傅里叶,揭露其科学成就的基础来源



所谓曲高和寡,本以为傅里叶这么冷门的问题应该不会有太多人关注,但没想到他比笔者之前写过的虚数、相对论、算筹、对数等等更受“待见”,还引来了一大群人的肆意攻击、谩骂、耻笑。没多久,留言评论就已经将近一千条了,这还不算回复。
有支持笔者的小伙伴也急了,担心证据不足,希望再继续深入剖析一下这个傅里叶。
既然那么多人都迫切地想知道更多的论据与分析,那笔者就熬熬夜、加加班,来深入分析,与大家一起分享一下这个伪劣的虚假大神傅里叶的故事。
傅里叶变换和傅里叶级数被西方人捧得很高,被誉为有史以来最伟大的数学发现之一。
傅里叶级数和傅里叶变换背后的基本思想相同,它们都可以将函数分解成基本成分,因为:
任何函数都可以写成正弦函数之和。
初中阶段的三角函数,包括余弦函数和正弦函数,应该不难理解。
其实就是直角三角形的一个角度与两个边长的比值关系。

换一种理解方式,以O点为原点,作一任意半径,旋绕做圆周运动,形成一个圆圈,该圆圈上的任何一点的坐标,都可以理解为余弦和正弦。这是最简单的周期函数之一。

而由上述两个函数组成的和,可以表示任意一个数学函数。
则古昔斋算学.十三种.清.李善兰.撰.清同治六年刊本,正术一

傅里叶级数和傅里叶变换有什么区别?
两者的主要区别在于,傅里叶级数用于将周期性函数分解为正弦和余弦之和,而傅里叶变换则用于非周期性函数。
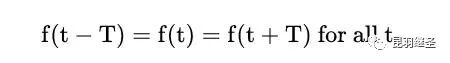
当傅里叶级数用于周期性函数时,倘若以下等式成立,则这个函数f(t)被认为是周期性的,其最小周期为T。

上述函数的时间间隔长度为T,以此为基础,不断重复其数值,则该周期函数的基本频率可以视作1/T(即周期之倒数)。

周期函数可以理解为重复的频率,而从频率的数值可以得知每个单位时间内有多少次重复。
故此,傅里叶级数便是:
傅里叶级数是正弦函数的无限加权和,每个正弦函数的频率都是原始周期函数的基频(1/T)的整数倍。
有关周期性函数g(t)的傅里叶级数公式如下:

基本周期为T的周期函数g(t),可以表示成两个无限和的形式,一个是余弦之和,另一个是正弦之和(二者皆是加权)。
当然,任何周期性函数都可以扩展为余弦和正弦之和。

傅里叶级数的指数形式与三角函数从形式上看起来虽然大不相同,但其本质是完全等价的。西人托名欧拉,只是利用所谓的欧拉公式将余弦、正弦与复指数联系起来而已。


理解了周期性函数,那么再来看看非周期性函数。
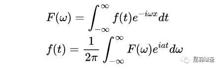
关于非周期性函数,傅里叶变换的公式如下所示:

傅里叶变换的结果,其实是一个频率的函数。"ω"(欧米伽),乘积2πf之名,用来表示角频率。

若初始函数f(t)是一个时间函数,则该函数的频率内容为:
“一个时间函数的傅里叶变换是一个频率的复值函数,其大小(绝对值)代表了原始函数中存在的该频率的数量,其参数是该频率的基本正弦波的相位偏移。傅里叶变换不限于时间函数,但原始函数的域通常被称为时域。”
使用逆傅里叶变换,可以倒推出初始函数。

按西史叙事,信号分析之父傅里叶是在热力学研究中得出傅里叶变换的。据说,牛顿的《原理》打开了西方自然数学研究的大门,随后波动方程,静电方程、弹性方程和热流方程陆续诞生。
热流方程则由约瑟夫·傅里叶引入。
是的,一开始,它不是用于什么工程学,也不是什么电子工程。
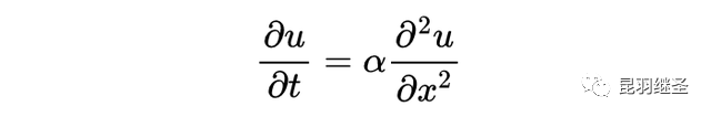
西史宣称,1807年,傅里叶基于一个新的偏微分方程向法国科学院提交了一篇关于热流的文章,假设一根金属棒无限薄,其热扩散率α是常数,u(x, t)是在金属棒的x位置和时间t处的温度,因此以下这个方程实际是一个温度方程。

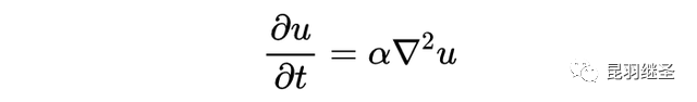
当然,据称,他还得出了一个升级版的方程(▽是拉普拉斯算子):

来看看波动方程:假设没有摩擦或其他阻尼,根据波动方程的理解,小提琴的琴弦振动会无限持续下去。因此,波动方程中使用的是二阶时间导数。

一眼望去,热流方程与波动方程颇为相似,其主要区别仅仅在于热流方程用一阶时间导数(即t),替代了波动方程中的二阶时间导数(t的平方)。
热流方程,是用来解释物体所含的热量以何种规律速度来散发的。随着时间的流逝,热量肯定会逐渐消散,除非有外力对其重新加热。
这里有两个问题比较典型:
其一,加热某根金属棒的一端以保持其温度稳定,在另一端进行冷却操作,也保持其温度稳定。当金属棒的温度状态稳定下来后,温度会沿着金属棒如何变化呢?
答案是:呈指数下降。西人集体创作的欧拉和伯努利两位大神在有模有样的故事中就波动方程的一个类似问题据说发生了很长时间的争论(就如同莱布尼茨与牛顿、牛顿与胡克的故事版本一样),热量随时间呈指数扩散,而后被无穷的正弦振幅所取代。
其二,确定沿金属棒的初始温度分布后,如何确定温度随着时间变化而发生变化?在加热金属棒时,有可能某部分在火焰上烧烤,因而温度较高,而另一个部分离火焰较远,故此温度较低。那么,热量在金属棒内部会以什么样的速度从灼热部分扩散至阴冷部分呢?
由于热流方程是线性的,可以叠加解,假设初始条件为:

则可以得到

但是,这样简单而理想的初始条件在现实中很难存在,物体总是有冷有热,冷热不均,像加热金属棒的例子,至少得是一半热、一半冷吧?
若令一半金属棒的u(x, 0) = 1(阳数,正数),另一半是u(x, 0) =−1(阴数,负数),这种不连续的初始条件在现实中是存在的、有意义的,在工程术语中被称为方波。
虽然正弦和余弦曲线是连续的,其曲线的单独叠加无法表示方波,但在无限项叠加的情况下,上述初始条件可以表示成无穷级数的形式:

上面显示的是傅里叶级数的前几项,附加的项可以使方波的近似值更准确(注意,没有百分百的精确值,只有相对而言的近似值)。
当大多数系数设为零,只需要n为奇数的b_n项时,从从正弦和余弦中便可以得到方波。

五行是源于天文的正弦规律,若以X轴为时间,Y轴为纬度,则太阳在地球上投影的运行轨迹就是正弦曲线。

如果将六十四卦象按照一定的次序排列成一个方阵,就会惊异地发现,阴阳两爻的位置变化恰好形成了一条类似DNA的正弦曲线;

如果将六十四卦分布于三维的空间坐标系中,其构成的立体图形与石墨的结构几乎完全一致,揭示了生命的基本元素“碳”(最稳定的元素)与天象之间的密切关系。

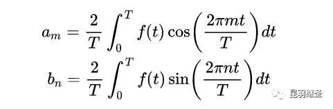
傅里叶当然不懂华夏阴阳五行,他最后只能以积分的形式,给出了表示一般条件f(x)的系数a_n和b_n的一般公式,如下所示:

西史宣称,傅里叶对三角函数幂级数的展开进行了漫长的探索,最后终于发现了一种简单的方法可以用来推导这些公式。这个简单的办法就是,取两个不同的三角函数(比如cos2x和sin5x),令其相乘,然后从0到2π积分,结果等于0。但是,倘若它们相等,假设又都等于sin5x,那么它们乘积的积分就不为零而是π。
假设f(x)是一个三角级数之和,把所有的项都乘以sin5x,然后进行积分(以π积分),则所有的项都将消失,只剩下对应sin5x的那项——即b_5sin5x。除以这个,最后就可以得到b_5的傅里叶公式,对于其他系数,结果也是一样。
傅里叶声称他的这种方法适用于任何函数,那么,它肯定应该适用于这样的函数:当x是有理数时f(x) = 0,当x是无理数时f(x) = 1。
然而,令人遗憾的是,这个函数却处处不连续。
傅里叶利用了欧拉公式来进行代入和变换,但欧拉却从未声称该公式可以适用于不连续函数。你不满足我的条件,也能随意使用、并得出“合理”结论?
其实,就连波动方程的小提琴弦模型,也没有包含不连续的初始条件。
对于热量的传递而言,一根金属棒一端发热、一端冰冷,当热量从温度高的地方向温度低的地方进行扩散时,这个过程理论上应该是平滑的吧?冰冷的那端,温度应该是逐步升高的吧?发热的那端,温度应该是逐步下降的吧?
这个过程傅里叶一时难以找到一个合理而完美的表述方法,只能近似地认为温度是一格一格下降的,看起来就像不连续的,用不连续函数也说得过去,而且,这样计算比较方便。
1822年,傅里叶出版了《热分析理论》。

如前所述,可以发现几个问题:
第一,傅里叶的公式推导需要使用三角八线、三角函数、正弦余弦。
我们来看看这样东西是怎么来的。
保存明清文献、辑佚校勘旧籍的全祖望(1705-1755年,字绍衣,号谢山)对此也有论述,根据《梨洲先生神道碑文》(《鲒埼亭集》卷十一):
“尝言勾股之术乃周公商高之遗而后人失之,使西人得以窃其传。”
《畴人传》“戴震”篇(皇清经解卷一千六十三)亦云:
“西法三角八线,即古之勾股弧矢,自西学渐行而古法转昧。”

御制历象考成后编,西洋新法,三角八线。

方以智(1611-1671年,字密之,号曼公),著有《物理小识》。其《浮山文集后编》卷二(《清史资料》第六辑,中华书局,1985年)有云:
“万历之时,中土化洽,太西儒来。脬豆合图,其理顿显。胶常见者駴以为异,不知其圣人之所已言也。……子曰‘天子失宫,学在四夷’。”
王先谦《东华录》康熙八九记载:
“算法之理,皆出于《易经》。即西洋算法亦善,原系中国算法,彼称阿尔朱巴尔(Algebra,即代数)。阿尔朱巴尔者,传自东方之谓也。”
原来,Algebra(代数)的真实含义是“来自东方”。有人强行把这个东方说成是阿拉伯,可是,阿拉伯有句谚语:“知识虽远在中国,亦当求之。”而且,所谓的阿拉伯数字,就是大唐数字,源自中国,此事已被蓝丽蓉教授论著的《雪泥鸿爪溯数源》所证实,蓝教授因此获得世界数学史最高奖。
此外,百年翻译的阿拉伯运动是伪史,笔者此前已经发文分析论证了这个问题,此处无须赘言。
清圣祖敕编《数理精蕴》上编,卷1《周髀经解》,商务印书馆1936年影印本,第8页:
“我朝定鼎以来,远人慕化,至者渐多,有汤若望、南怀仁、安多、闵明我,相继治理历法,间明算学,而度数之理,渐加详备,然询其所自,皆云本中土所流传。”
三角函数:本名三角测量方程术
函数的名称,本是清代数学大家李善兰(1811~1882)所取。
李善兰创立了二次平方根的幂级数展开式,各种三角函数、反三角函数和对数函数的幂级数展开式(现称“自然数幂求和公式”)。
李善兰创造了很多术语名词,比如“函数”。
在中国古代“函”字与“含”字通用,都有着“包含”的意思;古代用天、地、人、物四个字来表示四个不同的未知数或变量。 
故此,李善兰认为:凡式中含天,为天之函数(凡是公式中含有变量x,则该式子叫做x的函数)。即凡此变数中函彼变数者,则此为彼之函数。也就是说,函数指一个量随着另一个量的变化而变化,或者说一个量中包含另一个量。
李善兰新创的许多术语名词也为日本所采用,并且沿用至今。
昆羽继圣,公众号:昆羽继圣当知道李善兰后,不仅对牛顿和莱布尼茨产生了怀疑,还对相对论和爱因斯坦产生了高度质疑。西方造神,可能把全世界都带上了歧路……
不是说李善兰起的“函数”名称不好,只是在新的名称之下,被墨海书馆传教士麦都思、伟烈亚力等人授意下冠之以西,就包装成了西来的东西。
关于正弦、余弦等概念,早在明代《函宇通》中便有记述。


何谓方程?
魏晋时期著名数学大家刘徽(约元始225年-295年)为《九章算术》作注时,解释道:“程,课程也。群物总杂,各列有数,总言其实,令每行为率。二物者再程,三物者三程,皆如物数程之。并列为行,故谓之方程。”
这里的“课程”不是上课的课程,而是指按照不同物品的数量关系列出的算式。
为了掩盖三角函数的源自中国的事实,西人炮制了这样一个故事,声称:
正弦符号sin,取自拉丁文sinus。而拉丁文sinus是来自阿拉伯文jiba(جيب)的误译。而阿拉伯文jiba又来自印地语jya(ज्या),意思是“弓弦”。
绕了一大圈,层层掩饰,终于千辛万苦盖住了它与“弓弦”之间千丝万缕的关系。
然而,就算把中国弓弦的起源替换成印度弓弦,也仍旧无法彻底掩盖“正弦”的定义啊。
正弦是以单位圆方式来定义的,把圆弧想象成一张弓,而正弦恰好就是弓弦长度的一半。结果,还是“半根弓弦( jya-ardha)”。
对此,西人只能硬着头皮解释,表达的“不是一个意思”。

根据《清史稿·列传二百九十四》记载,余弦(馀弦)定理是清代数学家项名达所创,并不是什么西儒。
“名达与乌程陈杰、钱塘戴煦契最深,晚年诣益精进,谓古法无用,不甚涉猎,而专意于平弧三角,与杰意不谋而合。与杰论平三角,名达曰:「平三角二边夹一角,迳求斜角对边,向无其法,窃尝拟而得之,君闻之乎?」
杰曰:「未也。」
录其法以归。
盖以甲乙边自乘与甲丙边自乘相加,得数寄左;乃以半径为一率,甲角馀弦为二率,甲乙、甲丙两边相乘倍之为三率,求得四率,与寄左数相减,钝角则相加,平方开之,得数即乙丙边。”
上述这段描述中,便是今日之余弦定理:已知两边与夹角,求夹角对边的算法。
青华道人考证,三角函数源自中国,其拉丁文名叫 “functiones trigonometricae”,现摘录如下,并作补充:
英文中的“Function”来源于拉丁文“functiones”,“functiones”实际上是对汉语“方程”的记音翻译(根据汉语方程一词,创造了该词)。
“trigonometria”一词由“trigono”+“metria”构成,英语三角Triangle的词根词源是“trigono”,而“trigono”则是对汉语“三角”的记音造词。
从对音的角度研究发现,“正弦”的拉丁语“sinus”,其后缀“us”没有实际的含义,纯粹是为了掩人耳目的障眼法,因此可以去掉,剩下的“sin”就是明清传教士对弓弦的“弦”的发音。
“余弦”的拉丁语是“cosinus”,而“cosinus”是“complementi sinus”的缩写,“complementi”就是汉语“共补”的记音,正角是“主角”,余角是“配角”,正角+余角=90度,因此正角和余角共同合成一个90度的角,即一个象限(四象限之一)。故此,“cosinus”就是“共补弦”之意,即“余弦”。
所谓余者,即“剩也”,90度减去正角,剩下的部分。
“共补弦”是从两角相加的角来命名的,而“余弦”是从90度角减去正角的角度来命名的,传教士在这里玩了个小花招,两者表面看起来大为不同,实则指的都时同一个东西。
“正矢”的拉丁文是“Sinus versus”,符号是versin,则是对汉字“反弦”的记音。
所谓“versus”,就是相反的意思,其值为“1-余弦”,实际上就相当于“反余弦”。巧合的是,“Sinus versus”在拉丁语中还有一个名称,叫做“sagitta”,“sagitta”恰恰就是箭头之意,箭者,矢、箭矢也,而传教士发音正好对应“Sa(射)-gi(箭)-tta(头)”。
通过上述分析,可以看出,所谓三角函数的拉丁文术语含义、发音,皆与中国三角测量方程术高度雷同,如若不是因为李善兰从旁协助,估计早就被发现了。
毫无疑问,西人所谓的三角函数以及相关的割圆八线,皆源自中国。
清代名臣、天文历算和数学名家阮元发现西方人造假的问题后,在《畴人传》书中提出了相应的质疑。
他发现西人在“学术传教”的过程中,有许多地方违背科学精神的蹊跷之处。
比如,西人杜德美用连比例法演算径密率和正弦正矢时,已能用简捷的加减法代替乘除法,是一重大进步。但传教士们却“藏匿根数,秘而不宣” ,依旧立乘除之数,并用“六宗三要”等名词巧加掩饰,故作繁难。
对此,阮元指出,传教士之意在“眩吾中国” ,“眩异欺愚,在好事者不觉坠其术中” ,即故作高深,迷惑世人。
《畴人传》在其“凡例”中明确指出西人窃取华夏知识:
“西法实窃取于中国,前人论之已详,地球之说本乎曾子,九重之论见于《楚辞》,凡彼所谓至精极妙者,皆如借根方之本为东来法,特翻译算书时不肯质言之耳”。
罗士琳曾专攻西方先进知识,在数学几何方面都有不俗的造诣,他后来渐渐也发现所谓的西方先进知识,有很多很多地方与中国古代雷同,所以指出:
“今《几何原本》, 本冉子旧法,,流传海外, 西人得之, 出其精思, 以成此书。犹之西人称天元为借根方, 名曰阿尔热八达, 译言‘东来法’可证也。”
从勾股开方术到会圆术,从会圆术到弧矢割圆术,从弧矢割圆术到割圆八线,从割圆八线再到后世的三角函数,每一步都靠累积发展而来,每一次进步都是建立在先前的基础之上,循序渐进,顺理成章。
割圆八线应该是完成于元代郭守敬王恂到明末这一期间,只是在明朝末年,被徐光启之流托名著书,冠以西法,让与西人。
西人在获得华夏的整套三角函数的有关知识后,其后数百年,所做的大量工作不过是系统整理和翻译,仅此而已。
第二,傅里叶推导公式时使用了一阶时间导数(波动方程还用了二阶时间导数)。
导数来源于王文素的数学巨著《新集通证古今算学宝鉴》,这是那个时代世界数学史上的高峰。
没有导数,是不会有后来李善兰在此基础上发展出的微积分的。



《算学宝鉴》大约50万字,其中成就有:
解高次方程的方法,比英国的霍纳、意大利的鲁非尼早200多年。
在解代数方程上,走在牛顿、拉夫森的前面140多年。
对于17世纪微积分创立时期出现的导数,他在16世纪已率先发现并使用。
第三,傅里叶使用了微积分。
微积分是清代李善兰在华夏前代典籍的基础上发明出来的。傅里叶于1830年去世时,李善兰才刚满19岁,离呕心沥血四年创作微积分还有二十多年。
英国传教士慕维廉(William Muirhead,1822年-1900年)出版于1870年的书中,生动记载了李善兰和传教士的交往,以及在墨海书馆的译书活动,并最早提及李善兰翻译《自然哲学的数学原理》一事:
“星期天下午,麦都思(英国传教士)在教堂的圣事活动接近尾声的时候,一位中国人走到讲坛,把一本小书交给他,问他是否知道其中的内容,看起来,此书包括一些图表,麦都思博士要他第二天到他那儿去。经查,它是一本关于高等数学微积分的论著。
此书的作者称它是四年艰巨劳动的结晶。”

英国传教士傅兰雅在“江南制造总局翻译西书事略”一文也提到李善兰翻译牛顿《原理》一事,文中称:
“李君系浙江海宁人,幼有算学才能,于一千八百四十五年初印其新著算书。一日,到上海墨海书馆礼拜堂,将其书与麦先生展阅,问泰西有此学否。其时有住于墨海书馆之西士伟烈亚力,见之甚悦,因请之译西国深奥算学并天文等书,又与艾约瑟译《重学》,与韦廉臣译《植物学》,以至格致等学,无不通晓。”
注意,李善兰到上海登门拜访麦都思时,是带着自己那本“四年艰巨劳动的结晶”,即“高等数学微积分的论著”去的,还问泰西有此学否?
此事说明什么?
说明李善兰根本就不知道西方有微积分!他的微积分专著是自己在华夏典籍的基础上独立完成的。今天家喻户晓的“细胞”、“微分”、“积分”等学术术语就出自他手。
以上所述可见,三角函数、三角八线、导数,乃至微积分皆源自中国,而牛顿和莱布尼茨时代,后世所谓的三角函数、三角八线还在搞翻译和改头换面,工作尚未完成,牛顿和莱布尼茨那个时代根本不具备发明创造微积分的条件。
清人阮元的《畴人传》书中对欧楼(即瑞士数学大神欧拉)的传记也有一段评论:
“微分积分为算学绝诣,凡借根、天元所不能推者,用此则无不可推,咸以为创自近代。窃按西历一千四十二年,当宋仁宗庆历三年,法国儒士始创微分积分,其由来固已久矣。奈端(牛顿)、欧楼等所造特因其术而推阐益精耳。””
阮元说,微积分都以为创自近代,但(清朝时)西方人却声称,是法国儒士于宋朝时便创立了微积分,——居然不是牛顿、不是莱布尼茨,是不是有些惊讶?
此事说明,至少在清朝时,西方编造的历史中,所谓牛顿和莱布尼茨创立微积分的说法尚未提出,这也从侧面印证了牛顿和莱布尼茨根本没有发明微积分。
则古昔斋算学.十三种.清.李善兰.撰.清同治六年刊本,序一
“善兰年十龄,读书家塾,架上有古《九章》,窃取阅之,以为可不学而能,从此遂好算。应试武林,得测圆海镜勾股割圆,记以归,其学始进。因思割圆法非自然深思得其理,从此时有心得则复著书,久之得若干种。咸丰庚申(1860年),在苏州节署遭乱尽失之中方圆弧矢对数三种……
诸书尽刻之。凡十三种,《方圆阐幽》一卷,《弧矢启秘》二卷,《对数探原》二卷,《垛积比类》四卷,《四元解》二卷,《麟德术解》三卷,《椭圆正术解》二卷,《椭圆新术》一卷,《椭圆拾遗》一卷,《火器真诀》一卷,《对数尖锥变法解》一卷(涉及微积分),《级数回求》一卷,《天算或问》一卷,其二十四卷。……善兰……算学用心极深,其精到之处,自谓不让西人。”

李善兰创造的“尖锥求积术”,相当于冪函数的定积分公式和逐项积分法则。

李善兰使用各种三角函数和反三角函数的展开式,以及对数函数的展开式,在使用微积分方法处理数学问题方面取得了创造性的成就。
尖锥术理论主要见于《方圆阐幽》、《弧矢启秘》、《对数探源》三种著作,成书年代约为1845年,当时解析几何与微积分学尚未传入中国。


1859~1867年,李善兰从研究中国传统的垛积问题入手,写了一本有关高阶等差级数的著作《垛积比类》,获得了一些相当于现代组合数学中的成果。例如,“三角垛有积求高开方廉隅表”和“乘方垛各廉表”实质上就是组合数学中著名的第一种斯特林数和欧拉数。
其实,《垛积比类》就是早期组合论的杰作。
则古昔斋算学.十三种.清.李善兰.撰.清同治六年刊本,垛积比类卷一,垛积一,三角垛第一,如下图所示。

在这里,李善兰毫不讳言,曰:积之术于九章外别立一帜,其说自善兰始。
这就是我李善兰创造的,这是何等的自信!
看看华夏利用算筹是如何布算式的



新术一,三

拾遗一,九

拾遗一,十七。看看右边的图形,再看看在计算些什么。


再来看看这个,积分、微分、级数,都出现了,全部是用华夏数学知识完成的,独立完成的,与西方没有半毛钱关系。






在李善兰尚未在导数的基础创造出微积分的前提条件下,傅里叶怎么可能提前用上微积分来搞推导公式,搞什么傅里叶变换呢?还傅里叶级数?
梵蒂冈不用找什么借口,敢把没什么人研究的傅圣泽手稿全部公之于众么?
就他那点手稿,给中国人研究,一群人上,不出一年,全给他梳理得清清楚楚的,让真相大白于天下。把傅圣泽的手稿内容与傅里叶最初发表的相关内容对比一下,不就知道了?
但是,西方人敢这么做吗?
【关于示波器的基础原理】
示波器是一种电子测量仪器,用途广泛,利用示波器能观察各种不同信号幅度随时间变化的波形曲线。


一般而言,示波器有五个部分组成:显示电路、垂直(Y轴)放大电路、水平(X轴)放大电路、扫描与同步电路、电源供给电路。
记住这个所谓的X轴和Y轴,这是电路的底层架构。记住这个波形曲线,也是其基本构成要素之一。
示波器有个示波管,这个示波管由电子枪、偏转系统和荧光屏三部分构成。其中,电子枪主要由灯丝F、阴极K、控制极G、第一阳极A1、第二阳极A2组成。


什么阴极、阳极,什么正电、负电,什么正与负,都是源自华夏阴阳,历代传承的东西。
来看看这本剽窃华夏典籍,托名给一个查不到任何生平履历的西人的书,《西学关键》(光绪二十九年【1903年】版)。
问:电气几种?
答:分二种。一玻璃电,即阳电。一松香电,即阴电。
问:阳电、阴电之称取意何在?
答:古学士谓电气有盈亏之候,盈时为阳电,亏时为阴电,二电不同,此拒则彼吸,此吸则彼拒(同性相斥,异性相吸)。若二电同力聚于一物则相克而隐伏,隐伏即为静电。据是,则二电相反背,故以阴电名之。
问:电气有何公例(公理或定律)?
答:凡二电同为阳或同为阴,必彼相拒……

为啥知道这本书剽窃华夏典籍?
这本书本就出自中国人之手,书中某些地方虽经篡改,但仍旧留下了大量华夏特有的元素(将会单独开篇论述),例如,欧洲没有竹子,是不可能用这种不常见的东西来打比方举例的。中国的竹子,到处都是。
甲乙丙丁……十天干,不用多说了。

波形显示的基本原理
由示波管原理可知,当一个直流电压加至一对偏转板上时,会使光点在荧光屏上产生一个固定位移,该位移的大小与所加直流电压成正比。假如,分别将两个直流电压同时加到垂直和水平两对偏转板上,则荧光屏上的光点位置就由两个方向的位移所共同决定。

锯齿波电压与光点位移如下所示。注意,锯齿波电压是周期性的,因此锯齿波电压的第二个周期、第三个周期,乃至第N个周期,都将重复第一个周期的情形。

将正弦信号和周期性的锯齿波信号,在荧光屏上合成图形,则是:

所以,从底层原理来说,示波器使用了很多华夏的理论基础,比如阴阳正负,四元(坐标系)等等古已有之的东西,阴阳系统、四元系统,早在夏朝以前就从天文观测中诞生了,说示波器的基础原理来自于华夏,有什么值得可笑的呢?
在众人眼中,八卦可能只是这样的

又或是这样的

然而,真实的八卦时空模型却是这样的



乾代表天,坤代表地,坎代表水,离代表火,震代表雷,艮代表山,巽代表风,兑代表泽,共为八卦。现代数学立体坐标系为三维X,Y,Z构成,共能形成8个空间。

八卦在一个立体上,对应六个面,有X、Y、Z三个维度,一个维度对应两个向量。通过组合分拆,在八卦系统模型内,穷尽组合,对应八个元素,也就是八个卦象。
然后,八卦的每一个卦象,对应上中下三爻,分别可以表达一个三维信息,而这个三维卦象除了可以表达空间信息外,还可以同时表达第四维度“时间”方面的信息。
例如,
空间信息:东南西北,加上四隅,对应八个方位,可以是平面的方位,也可以是立体的方位;
时间信息:二至二分四立,对应八节……
所以,八卦是华夏历经万年传承和积累的完美时空模型,切勿等闲视之。
则古昔斋算学.十三种.清.李善兰.撰.清同治六年刊本,四元二,五
“负乘正而为负,负乘负而为正(负负得正),以正消负之盈也,此自然之妙理也。”
看好了,所谓的阴阳概念、正负概念,皆源自中国。
再看左侧的模型,是基于现实的立体模型,如同八卦一样,有多个维度【三个维度分别以天元(X轴)、地元(Y轴)、人元(Z轴)来表示】

您以为中国的传统历算和术数只有天元、地元、人元,只是个三维模型?西人学习华夏典籍后,只是把上述三者分别替换成了X、Y、Z而已。替换成X、Y、Z以后,实际就失去了“天地人”三才系统、天文定人文、大环境与小个体形成一个有机整体的含义了,三个表示未知的X、Y、Z彼此割裂,自身的意义也肤浅了许多。
而且,中国的数学其实是四元,好不好?除了天地人三元外,还有物元。宇宙中,地球上,难道除了人,没有其他“物”了吗?事实上,当然是有的。那么,为什么不把它考虑进去呢?华夏古人是拟合天道,自然是考虑这个因素的。
因此,李善兰传承的数学知识,是有四元的。
则古昔斋算学.十三种.清.李善兰.撰.清同治六年刊本,四元一,八


西人理解不了八卦,就把华夏的四元立体模型简单理解为X、Y、Z,外加一个时间,也称之为四维,用以代替华夏的天、地、人、物四维。
貌似一看,好像挺正确的。
然而,仔细想一想,为什么华夏老祖宗把第四维给了“物”,而不是“时间”?难道时间并不重要?当然不是。
因为,在华夏的八卦时空模型中,时间与空间是可以统一的,是可以重叠的,是可以转化的,是可以互相衍生的,这是贴合宇宙运行的真实状态的,但这一切在相对论中可以吗?
爱因斯坦把时间和空间看成是完全相对的概念,这本质上就错了。
说个简单例子大家就可以明白了,为什么有物理学家说“时间并不存在”?
因为,时间本质上是一种空间运动,是一种运动的度量尺度。
地球自转一圈约为24小时,是一天;
月球围绕地球公转一圈约为27.32天,月球自转一圈也是27.32天,由于这段时间内地球也绕着太阳转了一 个角度,所以要想月亮、地球和太阳三者的位置关系再重复出现,则还需加上一点时间,因此从上一个满月到下一个满月(朔望月周期)用时29.5天,是为一月;
地球围绕太阳公转一周约为365天,即一年……
正因为如此,华夏古人认为“万事万物”的“物”是一个更重要的因素,故而有了“物元”。至于时间这个维度,无论是天元、地元、人元,还是物元,只要存在,都会产生,都可以转化,都可以重叠,都可以统一。
现在,明白些什么了吗?
一个历经万载、经过无数古圣先贤总结出来的几乎完美的宇宙时空模型,后人不在此基础上传承和发展下去,竟然就这样被一帮学艺不精的二道贩子低劣地矮化成了平面坐标系,还有人为此沾沾自喜,引以为豪,呵呵。
天天用着华夏古人创造的底层架构和基本原理,用着阴极、阳极,用着正负,用着坐标,却还天天怀疑这个、嘲笑那个,说阴阳五行、太极八卦不科学,真是既可悲又可笑。
2016年4月18日,科技部、中宣部曾发布了关于印发《中国公民科学素质基准》的通知(以下简称《通知》)和《中国公民科学素质基准》(以下简称《基准》),其中提到:
知道阴阳五行、天人合一、格物致知等中国传统哲学思想观念,是中国古代朴素的唯物论和整体系统的方法论,并具有现实意义。

看见了吗?国家在倡导什么?
根据此前已发文章有关《畴人传》的详细分析,结合传教士丁匙良《西学考略》,大体可以看出西人伪造历史的过程,以及伪造西方大神的一个脉络。
《西学考略》“西国相师之道”部分记载:教化由东到西。
“……五大洲唯雅细亚(亚洲)开化最早。……中国之古术必因之以西传,厥后至秦汉之世,希腊及犹太之化传之罗马,复由罗马递传至欧洲,诸国至西国取法中华,其可恃而有据者试为缕指而臚(lú,陈述)陈之。一为修炼丹药各术,西人因而推出化学之理以广其用。”

“一以上所论多涉农工之事(都是从中国传过去的),至中国掄(抡,选拔)才之典,西国莫不慕之。近代渐设考试,以取人才,而为学优则仕之举,英法美均已见端,将来必至推广。”
花旗国传教士丁匙良虽然在西史造伪的路上狂奔,但他也不得不承认,算学本出于数数,乃(华夏)六艺之一。

看到了吗?
西方的考试制度、选拔人才制度,全部是从中国学去的。而且,1883年时,英国、法国、美国,才刚刚初学,露出端倪。那些欧美历史无比悠久的大学,动辄建立于12-15世纪的古老大学,没有行之有效的考试制度、没有人才选拔制度,能行吗?其历史真有那么古老、那么悠久吗?

传教士丁匙良在“西学源流”篇中记载:
“所谓西学者,虽派分多门,要皆天算格化等学其本原出于东方,西人善为推广而流传之。化学本为中土之方士设炉煆(xiā)炼点换各术……”
再给大家看看这本《西被考略》,光绪葵卯年,即1903年。1903年雕刻印刷。

傅圣泽等传教士的耶稣来自于哪里?
《西被考略》凡例,八,记载:“其教主如摩醯(xī,西)、耶稣,皆所发祥中国。”

《西被考略》卷一,十一,记载:“土耳其东南之巴比伦西里亚犹太诸国为欧洲祖国,皆以女为王,西王母在此。”
看到了没?他们在参照中国历史、中国典籍(如山海经等),拼命创作小说故事,并将其当做自己的历史广而告之!千方百计要与中国沾上边,因为中国的才是有记录的唯一信史。

是故,上士闻道,勤而行之;中士闻道,若存若亡;下士闻道,大笑之。
***关注我,关注《昆羽继圣》四部曲,关注文史科普与生活资讯,发现一个不一样而有趣的世界***

到顶部