【新冠病毒】研究发现血液“稀释剂”可减少某些COVID-19患者对机械通气的需求




研究发现血液“稀释剂”可减少某些COVID-19患者对机械通气的需求
最常见的外科口罩只能过滤约10%的呼出气溶胶飞沫
辉瑞与BioNTech公司的COVID-19疫苗获得FDA全面批准

关注视频号,发现更多精彩
01
研究发现血液“稀释剂”可减少某些COVID-19患者对机械通气的需求
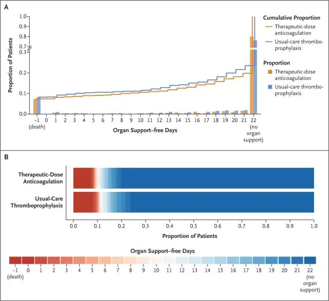
给患有COVID-19的中度住院患者提供全剂量的血液“稀释剂”,提高了他们离开医院而不需要机械通风的机会。但对于入院时病情危重并需要重症监护级别支持的COVID-19患者,这一策略并没有产生同样的效果。
这些是2021年8月4日在线发表在《新英格兰医学杂志》上的两项新研究的结果。对中度和重度患者的研究纳入了三项平台试验的数据,作为全球合作的一部分,以确定在大流行病高峰期的可能治疗方法。这些试验是加速COVID-19治疗性干预和疫苗-4(ACTIV-4a):患有COVID-19的住院成人抗血栓策略的安全性和有效性的多中心、适应性、随机对照平台试验;改善COVID-19并发症的抗血栓疗法(ATTACC);以及社区获得性肺炎的随机、嵌入式、多因素适应性平台试验(REMAP-CAP)治疗性抗凝剂。

在纽约大学格罗斯曼医学院、匹兹堡大学和全球合作者的研究人员的领导下,ACTIV-4a是在研究人员观察到死于COVID-19的患者全身都有血凝块,包括在他们最小的血管里之后启动的。医生们认为抗血栓剂--也被称为血液“稀释剂”或抗凝血剂--是潜在的治疗方法,因为它们能减少凝血的风险。但是该领域不知道用于治疗血栓的全部治疗剂量或通常用于预防血栓的低剂量是否会最有效。
“在大流行的早期,我们在住院的COVID-19患者中观察到了大量的凝血现象,引起了严重的并发症,”ACTIV-4a联合首席调查员、中度患者研究的共同第一作者、医学和外科副教授、纽约大学朗格尼健康中心心血管疾病预防中心主任Jeffrey S. Berger 说。“领导一项临床试验,证明针对凝血的早期干预可以改善结果并避免与COVID-19有关的许多并发症,这是非常了不起的。”
作为研究工作的一部分,三个平台试验的主要研究人员同步研究方案,研究在COVID-19住院患者中使用全剂量和低剂量抗凝血剂肝素的效果。研究人员根据患者是患有重度还是中度COVID-19,以及他们的D-二聚体水平(一种可能显示凝血的血液蛋白)对患者进行分组。
患有COVID-19的中度患者被定义为那些没有接受“器官支持”的患者,包括大剂量氧气治疗、机械通风、生命支持、增加血压的药物或改变心脏收缩力的药物。因COVID-19住院的病人如果确实需要这种支持,则被定义为重症或危重病人。
2020年4月,研究团队开始随机分配一半的COVID-19住院患者,让他们在入院后接受低剂量或全剂量肝素治疗,最长时间为14天。到2020年12月,监督委员会停止了危重病人的入组试验,因为中期结果显示,全剂量抗凝并没有减少重症和危重病人对器官支持的需求,而且可能造成伤害。一个月后,监督委员会也停止了对中度患者的试验,因为临时结果显示全剂量血液“稀释剂”可能会带来好处。该试验招募了1098名重症患者和2219名中度患者,研究人员测量了患者不需要“器官支持”的时间,两组患者在入组后都是21天。
研究作者发现,在中度患者中,与接受低剂量肝素的患者相比,全剂量肝素有99%的几率增加存活到出院并减少对器官支持的需求。然而,少数病人出现了大出血,尽管这种情况不常发生。作者说,对于危重病人来说,全剂量肝素也减少了主要血栓事件的数量,但它并没有带来更大的出院生存机会,也没有比常规护理的药物血栓预防疗法带来更多的无器官支持天数。
“这些结果非常令人兴奋,使我们更好地了解在这种具有挑战性的疾病过程中,在正确的时间应用正确的疗法所产生的影响,”ACTIV-4a研究主席、纽约大学格罗斯曼医学院负责临床科学的高级副院长、该研究中度患者的共同通讯作者Judith S. Hochman博士说。她说:“我们的结果将帮助临床医生利用已知的和容易获得的医疗疗法,更好地治疗中度患病的COVID-19患者。”
ACTIV-4a抗血栓住院患者正在进行进一步的研究,以测试在抗凝中加入抗血小板药的效果。
匹兹堡大学Roberta G. Simmons外科副教授、中度患者研究的共同第一作者和重症患者研究的共同第一作者Matthew D. Neal博士说:“需要做更多的工作来继续改善COVID-19患者的结果。鉴于我们对COVID-19患者血栓类型的了解,测试抗血小板药物是一个特别令人兴奋的方法。”
https://www.nejm.org/doi/full/10.1056/NEJMoa2103417
02
最常见的外科口罩只能过滤约10%的呼出气溶胶飞沫
一项新的研究强调了广泛使用更好的口罩的必要性和良好的通风以减轻COVID-19在室内的传播的重要性。滑铁卢大学的工程研究人员用一个人体模型进行了实验,模拟一个坐着的人在一个大房间里呼吸。研究显示,尽管使用了普通的布料和蓝色外科口罩,但随着时间的推移,气溶胶飞沫仍然悬浮并在空气中传播,并且还有了明显的积聚。
机械和机电一体化工程教授、该研究的负责人Serhiy Yarusevych说:"毫无疑问,戴上任何口罩都是有益的,无论是在近距离的保护还是在远距离的房间里。然而,在控制气溶胶方面,不同口罩的效果存在着非常严重的差异。"

滑铁卢工程公司研究人员制作的视频显示了在佩戴(从左到右)无口罩、KN95口罩和外科口罩时,有多少含气溶胶的呼气流未经过滤而逸出
以前的研究发现,受感染的人散布的气溶胶是导致COVID-19的SARS-CoV-2病毒的传播源,即使在公共卫生官员广泛建议的两米社交距离区之外。
研究表明,大多数普通口罩,主要是由于贴合不佳的问题,只过滤了大约10%的呼出气溶胶飞沫。剩余的气溶胶被重新定向,大部分从口罩顶部与鼻子贴合的地方流出,未经过滤地逃到周围的空气中。
相比之下,质量更高的、更昂贵的N95和KN95口罩可以过滤50%以上的呼出气溶胶,这些气溶胶在室内积累,被其他人吸入后会传播COVID-19病毒。
流体力学研究实验室的首席研究员Yarusevych说,N95和KN95口罩相对于布质和外科口罩的有效性要大得多,这使得它们在室内环境中,如学校和工作场所,应该尽可能地佩戴。
他说:"很多东西可能看起来是常识,例如,医疗工作者戴N95口罩是有原因的--它们的效果更好。和之前的研究与别在于,我们提供了坚实的数字和严格的分析来支持这一假设。"
实验还量化了通风系统的影响,该系统在房间里循环和更换空气,对气溶胶的积累有影响。即使是适度的通风率也被发现在减少传播风险方面与最好的口罩一样有效。
Yarusevych说,在理想情况下,证据表明高质量的口罩和适当的通风应该结合使用,以尽可能地减轻室内气溶胶积累所带来的威胁。
03
辉瑞与BioNTech公司的COVID-19疫苗获得FDA全面批准
美国食品和药物管理局全面批准了辉瑞公司/BioNTech公司的COVID-19疫苗,这是历史性的免疫运动中的另一个里程碑。此前,在美国,12岁以上的人可以通过紧急使用授权获得该疫苗。现在,它在美国得到了正式许可。

获得全面批准后,辉瑞公司和BioNTech公司可以直接向消费者推销这种疫苗。这一批准也可能推动更多的机构和学校强制接种疫苗。虽然他们根据紧急授权要求接种疫苗是合法的,但许多机构一直不愿意这样做。
生产疫苗的制药公司需要向美国食品和药物管理局提供有关其疫苗的六个月的安全和疗效数据,以便提交所谓的生物许可证申请。该机构只要求公司在申请紧急使用授权之前收集两个月的数据。缩短的时间表使该机构能够避开一些更冗长的监管步骤,在危机期间迅速将疫苗送到人们手中。
美国食品和药物管理局的批准可能有助于一些对接种疫苗持观望态度的人更放心地接种疫苗。5月的一项调查发现,三分之一未接种疫苗的成年人更有可能接种已获全面批准的COVID-19疫苗。
现在,一种COVID-19疫苗已经获得全面批准,其他制药公司将不能向美国食品和药物管理局申请新的紧急使用授权。
从另一方面看,只有在没有获准的选择时,才能为药物或疫苗颁发紧急授权--现在辉瑞/BioNTech的疫苗已经获得许可,情况不再如此。例如,如果阿斯利康公司想在美国提供其疫苗,它将不得不从更长的正式批准程序开始。


Science视频号 

按此关注微信视频号
Science科学 
了解未知 开启认知

按此关注中文公众号
Science科学英语平台 
THE SCIENCE OF EVERYTHING

按此关注英文公众号
TechEdge 
科技 点亮未来

按此关注中文公众号

◢ 豁然开朗请打赏 ◣

分享“票圈”,逢考必过,点亮“在看”SCI录用率提高18%
到顶部