【新冠病毒】科学家开发免费开放专利的新型新冠疫苗 作为"给世界的礼物";耶鲁研究人员开发出基于RNA的疗法可保护小鼠免受变种影响




研究:对于未接种疫苗的新冠康复者来说,仍可能会再次感染
研究发现COVID-19居家令带来了虐童事件数量的上升
科学家使用 “报告病毒”实时观察SARS-CoV-2在动物模型中的传播情况
口腔健康状况不佳可能影响COVID-19的严重程度 尤其是对心脏病患者
研究:七分之一的癌症患者在COVID封锁期间错过了可能挽救生命的手术
有物质使用障碍的人群发生COVID-19疫苗突破性感染的风险更高
COVID-19味觉和嗅觉丧失在40岁以下的人身上更有可能逆转
什么样的抗体反应水平能让COVID-19患者降低死亡风险?
研究:被“困”在微型血凝块中的过量炎症分子可能导致Long COVID症状
研究人员发现20000年前冠状病毒爆发的证据
科学家开发免费开放专利的新型COVID-19疫苗 作为"给世界的礼物"
耶鲁研究人员开发出基于RNA的疗法 可保护小鼠免受COVID-19变种影响
先进光子源APS助辉瑞研发出COVID-19抗病毒治疗药物Paxlovid

关注视频号,发现更多精彩
据美国约翰斯·霍普金斯大学发布的新统计数据,全美3日新增新冠确诊病例突破100万例,再次刷新疫情暴发以来单日新增病例最高纪录。数据显示,美国3日新增确诊高达1083948例,新增死亡1693例。截至美国东部时间4日凌晨,美国累计确诊56190946例,累计死亡827753例。

网站最新截图
随着变异新冠病毒奥密克戎毒株近期在美加速传播,美国疫情严重反弹,多项疫情指标屡刷新纪录。
美国国家过敏症和传染病研究所所长安东尼·福奇2021年12月29日表示,奥密克戎毒株引起的病例激增预计将在2022年1月底达到数据峰值。
01
研究:对于未接种疫苗的新冠康复者来说,仍可能会再次感染
在整个COVID-19大流行期间,关于未接种疫苗的人感染SARS-CoV-2后免疫力能持续多久一直存在很大的不确定性。现在,由耶鲁大学公共卫生学院和北卡罗来纳大学夏洛特分校的教师领导的一个科学家小组有了答案--自然感染后的强烈保护是短暂的。
来自耶鲁大学公共卫生学院生物统计学教授、该研究的论文主要作者Jeffrey Townsend指出:“重新感染可能在三个月或更短时间内发生。因此,那些已经自然感染的人应该接种疫苗。仅仅是以前的感染就能对以后的感染提供非常少的长期保护。”
这项研究发表在《The Lancet Microbe》上,是第一个确定自然感染后和不接种疫苗的情况下再次感染的可能性。

Alex Dornburg
Townsend和他的团队分析了SARS-CoV-2导致“普通感冒”的近亲病毒的已知再感染和免疫学数据以及SARS-CoV-1和中东呼吸综合征的免疫学数据。通过利用进化原理,该团队能够建立起COVID-19随时间推移的再感染风险模型。
研究人员称,即使在康复后不久,重新感染也会发生并且已经发生。而且随着免疫力的减弱和新的SARS-CoV-2变种的出现,它们将变得越来越普遍。
“我们往往要思考免疫力是有免疫还是没有免疫。我们的研究警告称,我们应该更加关注通过时间重新感染的风险,”北卡罗来纳大学夏洛特分校生物信息学和基因组学助理教授Alex Dornburg说道,“随着新变体的出现,以前的免疫反应在对抗病毒方面变得不太有效。那些在大流行病早期自然感染的人越来越有可能在不久的将来重新感染。”Dornburg是这项研究的共同负责人。

Katerina Zapfe与Alex Dornburg
该研究团队的数据驱动模型揭示了SARS-CoV-2和地方性新冠病毒之间随着时间推移的再感染风险有着惊人的相似之处。
“就像普通感冒一样,从一年到下一年,你可能会被同一病毒重新感染,”Townsend说道,“不同的是,在这次大流行中出现的时候,COVID-19已经被证明是更致命的。”
另外Townsend还补充称:“然而,我们的发现强调了它在为决策提供信息方面的重要作用并为我们抵抗SARS-CoV-2再感染的前景提供了一个重要的踏脚石。”
02
研究发现COVID-19居家令带来了虐童事件数量的上升
根据新研究显示,COVID-19大流行的压力--包括经济压力和身体疏远给家庭带来了挑战,而这可能会导致学龄儿童身体虐待伤害的增加。这项名为《Impact of 'Stay-at-Home' Orders on Non-Accidental Trauma: A Multi-Institutional Study》的研究成果将在美国儿科学会全国虚拟会议和展览上发表。

资料图
据了解,它比较了九个儿科创伤中心2020年3月至9月的创伤登记数据和2016-2019年同期的数据。研究人员发现,2020年5岁以上的虐待儿童受害者有所增加。
“我们的研究结果可能反映了人们对学校和日托所看法的改变。在许多地区,日托所被认为是必不可少的业务并在停业期间保持开放。这可能是我们没有看到低年龄组的疑似虐待率有很大变化的原因。然而随着年龄较大的孩子离开学校,许多父母在这段时间里经济上处于弱势,家庭动态可能已经升级到经常无法维持的情况,”研究论文摘要作者、中西部小儿外科联盟(MWPSC)研究员Amelia Collings博士表示,“我们需要能为这些家庭提供支持并防止出现绝望的感觉。”
研究人员分析了39,331名儿科创伤患者的数据,其中2064人是疑似虐待的受害者。在5岁及以上的儿童中,虐待儿童的受害者人数在研究期间增加了两倍--达103人,而在大流行之前的类似时期,平均只有36人。对于学龄儿童来说,跟虐待有关的潜在伤害的增加可能反映了在学校环境直接跟儿童发生接触的教育系统、教师和社会工作者没有提供正常的保障措施,并可能会使脆弱的人群处于危险之中。
Collings博士指出:“经济和情感压力再加上儿童生活中没有通常会识别和报告虐待行为的其他成年人,可能促成了COVID-19大流行期间虐待儿童比率的增加。当学龄儿童在家中受到庇护时,教师、卫生保健工作者、教练和家庭以外的其他成年人都不在那里,无法注意到身体虐待的迹象。”
03
科学家使用 “报告病毒”实时观察SARS-CoV-2在动物模型中的传播情况
德克萨斯生物医学研究所研究人员开发的新的 “报告病毒”使得在实验室中观察SARS-CoV-2及其变体变得更加容易,并且能够更快地筛选潜在的抗病毒药物、疫苗和中和抗体。

德克萨斯生物医学研究所(Texas Biomed)的研究人员在《美国国家科学院院刊》(PNAS)上报告说,引起COVID-19疾病的SARS-CoV-2病毒的一个版本已经被成功地改造成在细胞和动物组织中发出亮光,为跟踪动物模型中发生的病毒感染的传播和强度提供了一种实时方法。
德克萨斯生物医学研究所教授、病毒学家Luis Martinez-Sobrido博士和论文资深作者说:“现在我们可以追踪COVID-19的动物模型中的病毒去向。能够看到病毒如何发展,以及它具体针对哪些器官和细胞类型,将对了解病毒和优化抗病毒药物和疫苗有很大帮助。”
除了追踪病毒,Martinez-Sobrido和他的合作者已经开始使用“报告病毒”来筛选中和抗体对所关注的不同变体的作用,正如最近在《病毒学杂志》上所报道的。

为了制造“报告病毒”,Martinez-Sobrido和他的团队结合了几种先进的分子生物学工具,将荧光或生物发光的"报告"蛋白的基因序列添加到病毒的遗传代码中。当病毒的代码被复制和转录时,发光蛋白的代码也被复制和转录。
在早期的研究中,研究小组用发光蛋白的基因替换了病毒的一个基因,但这导致了一个非常暗淡的信号--该基因的表达不足以在动物身上轻易检测到。为了提高亮度,研究人员不得不想办法让病毒产生更大量的报告蛋白。
他们的解决方案是:他们将报告基因插入SARS-CoV-2的一个不同的基因旁边,具体来说,就是编码核壳蛋白的基因。"这是SARS-CoV-2中表达最多的蛋白质,"分子生物学家叶成进博士说,他是Martinez-Sobrido实验室的成员。这一次,信号是如此明亮,“当我通过荧光显微镜观察时,它几乎使我失明,”他说。

更快的筛选
报告蛋白在细胞和活体动物模型中发挥作用,并与检测蛋白所发出的光的波长的成像系统相结合。与其他方法相比,能够直观地观察病毒负荷和位置具有许多优势。它更简单和快速,节省时间和材料。
研究人员说:“与其需要一个大型团队来筛选2000个化合物,看它们是否对病毒起作用,不如一个人在几个小时内用报告病毒来做这件事。”它还能在整个感染和治疗过程中跟踪同一动物的病毒,减少获得类似见解所需的动物数量。

追踪变体
该团队对报告病毒进行了调整,以表达附着在SARS-CoV-2变体上的不同颜色的蛋白质,他们在《病毒学杂志》的另一篇论文中对此进行了描述。重要的是,这种方法使他们能够在一个测试井中同时测试中和抗体对两种变体的效果。
“这是一个节省时间和资源的重大优势,尤其是在塑料和试剂等如此多的基本材料因大流行而需求旺盛、供应有限的情况下,”博士候选人、Martinez-Sobrido实验室的成员Kevin Chiem说。“随着新变种的出现,我们可以很容易地调整该系统,并迅速筛选出对它们起作用的抗体。”

强大而准确
重要的是,该小组证明了“报告病毒”的行为与野生型病毒版本相同。这要归功于他们没有删除任何病毒基因的事实,而且因为他们设计的报告蛋白立即与病毒的核壳蛋白分离,所以它的功能正常。他们的研究显示,报告蛋白的亮度与病毒负荷有很好的相关性,尽管蛋白质的积累可能发生在几天之内,导致在某些情况下的信号略强。
这一进展依赖于几种强大的技术,包括产生重组SARS-CoV-2的逆向遗传学技术,它将基因代码的片段连接起来,产生完整的病毒。
Martinez-Sobrido和他的团队已经与全世界100多个实验室分享了他们的重组SARS-CoV-2和非感染性前体材料,称为质粒。他们现在可以与具有生物隔离安全级别BSL-3权限的合格实验室分享报告病毒,这是使用SARS-CoV-2的必要条件,以帮助对抗仍在进行的COVID-19大流行病。
Martinez-Sobrido说:“我们觉得我们有责任与世界各地的其他研究人员分享这些新工具和技术,以帮助尽快结束这场大流行。”
04
口腔健康状况不佳可能影响COVID-19的严重程度 尤其是对心脏病患者
口腔健康状况不佳与COVID-19严重程度之间的相关性,以及口腔健康与延迟康复之间的相关性,表明有可能需要将口腔健康视为可能感染COVID-19的心脏病患者的额外风险因素。这项针对埃及心脏病患者的新的子研究将在2021年10月14-15日由美国心脏病学院、埃及心脏病学会和美国心脏病学会埃及分会合作举行的混合会议ACC中东分会上发表。
口腔是呼吸道病原体的一个潜在储存库,以前的试验将不良的口腔卫生与炎症和心血管疾病的增加联系起来。据研究人员称,COVID-19的严重程度也与炎症反应有关。
研究人员假设,COVID-19严重程度的增加可能与口腔健康状况不佳有关,特别是在心血管疾病患者中。据研究作者称,该研究评估了口腔健康状况、COVID-19症状的严重程度、C反应蛋白(CRP)水平和康复时间。

"口腔组织可以作为SARS-CoV-2的储存库,在口腔内形成高病毒载量。因此,我们建议保持口腔健康,改善口腔卫生措施,特别是在COVID-19感染期间,"开罗大学心脏病学顾问、该研究的主要作者Ahmed Mustafa Basuoni博士说。"简单的措施,如实行适当的口腔卫生,通过媒体和社区医学提高对口腔健康重要性的认识,无论是与COVID-19感染有关还是与系统性疾病有关,定期看牙,特别是对心血管疾病患者,以及使用[抗菌]漱口水[可以帮助]预防或降低COVID-19疾病的严重程度。"
该研究纳入了86名经COVID-19 PCR检测确认的埃及心脏病患者。来自开罗大学的研究人员使用一份调查问卷,评估了口腔健康和COVID-19的严重程度。一组口腔健康评分被用来确定口腔健康对COVID-19的影响。关于CRP水平和COVID-19 PCR测试的数据通过调查问卷收集,并通过医疗记录确认,CRP水平用于确定体内何时存在炎症。
据研究人员称,口腔健康与COVID-19严重程度之间的相关性显示出明显的反比关系,口腔健康与恢复期和CRP值之间的相关性也是如此。口腔健康状况不佳与CRP值增加和恢复延迟有关,特别是在心脏疾病患者中。
巴苏尼说:"口腔健康应该是心脏病患者常规病史采集和检查的一部分。应该指导所有心脏病患者采取有关良好口腔卫生的生活方式,并定期进行牙科检查。我们需要在研究中为这些可以轻易改变的风险因素提供更多空间。"
05
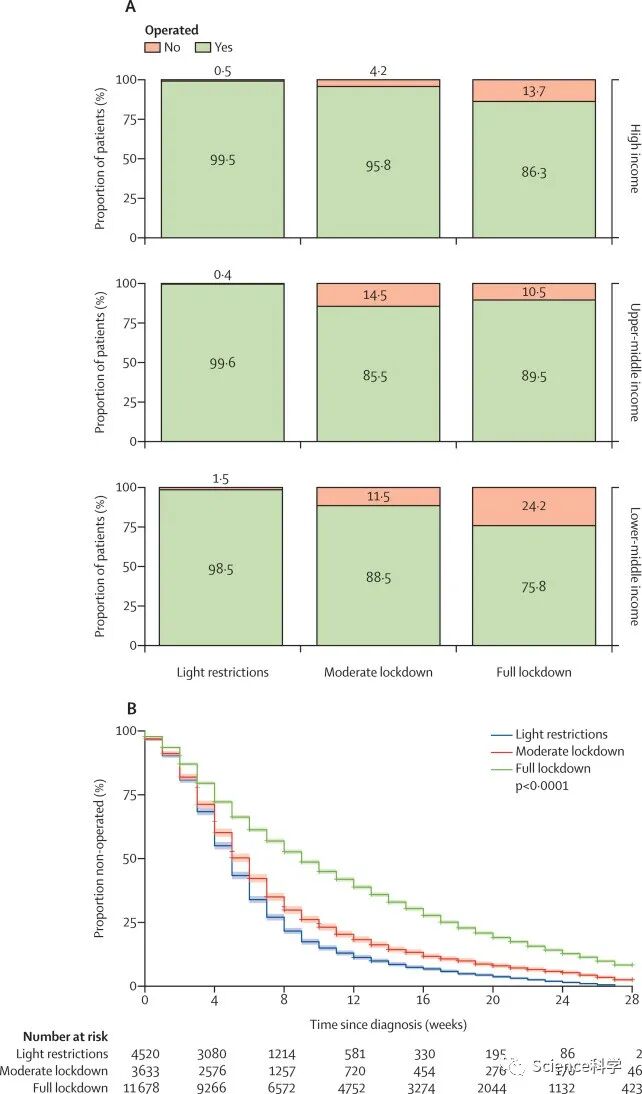
研究:七分之一的癌症患者在COVID封锁期间错过了可能挽救生命的手术
一项新研究显示,全世界七分之一的癌症患者在COVID-19封锁期间错过了可能拯救生命的手术。无论当时当地的COVID-19疫情如何,计划中的癌症手术都会受到封锁的影响,低收入国家的患者错过手术的风险最高。
虽然封锁措施对保护公众免受感染传播至关重要,但它们对其他病人和健康状况的护理产生了附带影响。在第一批直接测量这些影响的研究中,研究人员表明,封锁导致了癌症手术的严重延误,并可能导致更多的癌症死亡。如果手术能按时进行,这些都是可以避免的。

研究人员呼吁在大流行病恢复期间进行重大的全球重组,以提供受保护的选择性手术途径和重症监护床位,使手术能够继续安全进行,并为未来的公共卫生紧急情况投资"激增"能力。
他们认为,"圈定"的重症监护床位将支持有其他健康状况的患者和晚期疾病患者(他们面临延误的最高风险)及时进行手术。同时,对紧急护理的人员配置和基础设施的长期投资将减轻对选择性服务的干扰。
在伯明翰大学专家的领导下,来自世界各地的近5000名外科医生和麻醉师作为英国国家健康研究所(NIHR)资助的COVIDSurg合作项目的一部分,共同分析了61个国家466家医院的2万名患者的15种最常见实体癌症类型的数据。该团队周二在《柳叶刀·肿瘤学》上发表了其研究结果。
研究人员将癌症手术前的取消和延误情况在封锁期间与仅有轻微限制期间进行了比较。在全面封锁期间,七分之一的患者(15%)在诊断后的中位数5.3个月后没有接受计划中的手术--所有不手术的原因都与COVID-19有关。然而,在轻度限制期间,非手术率非常低(0.6%)。
在完全封锁期间,等待手术超过六周的患者明显不太可能进行他们计划的癌症手术。身体虚弱的患者、晚期癌症患者以及中低收入国家等待手术的患者,都不太可能进行他们急需的癌症手术。
联合主要作者、伯明翰大学的James Glasbey先生评论说:"我们的研究显示,在大流行期间,封锁对等待癌症手术的病人产生了附带影响。虽然封锁对于拯救生命和减少病毒的传播至关重要,但确保安全的选择性癌症手术的能力应该是每个国家计划的一部分,以确保整个人口的持续健康。"
"为了防止在未来的封锁期间出现进一步的伤害,我们必须使围绕择期手术的系统更具弹性--保护择期手术床位和手术室空间,并为医院的高需求期提供适当的‘激增’能力,无论是COVID、流感还是其他公共卫生紧急情况。"
共同主要作者、伯明翰大学的Aneel Bhangu先生补充说:“最容易受到封锁影响的病人是那些低收入国家的病人,在封锁限制期间,大流行之前就存在的能力问题更加恶化。这些环境中的病人尽管比较年轻,而且合并症较少,但被取消的风险最高。”
“虽然我们只跟踪了接受了短时间延迟的病人,但来自其他研究的证据表明,这些病人的复发风险可能更高。为了帮助减轻这种情况,外科医生和癌症医生应该考虑对手术前受到延误的病人进行更密切的跟踪。”
研究人员分析了患有癌症类型的成年患者的数据,包括结肠直肠、食道、胃、头颈、胸腔、肝、胰腺、前列腺、膀胱、肾、妇科、乳房、软组织肉瘤、骨肉瘤和颅内恶性肿瘤。该团队认为,这些数据可以帮助政府在做出是否延长或减少限制的决定时提供信息。
国家一级的封锁对医院的程序和规划有直接影响,因为卫生系统的变化反映了政府限制行动的严格政策。他们发现,在对当地COVID-19病例通知率进行调整后,全面和适度封锁独立增加了非手术的可能性。
NIHR首席执行官兼卫生和社会护理部首席科学顾问Lucy Chappell教授说:“我们欢迎NIHR资助的COVIDSurg合作项目取得的一系列高质量、高影响力的最新研究成果。我们为我们的全球健康研究单位和小组如何迅速做出反应并适应应对全球COVID-19大流行的影响而感到自豪。这些研究结果将有助于为外科服务如何'重建得更好'建立证据基础,并与世界卫生组织和包括皇家外科医生学院在内的国家协调机构合作,制定全球外科手术指南。”
06
有物质使用障碍的人群发生COVID-19疫苗突破性感染的风险更高
对美国近58万名完全接种者的电子健康记录的分析发现,患有物质使用障碍(药物、酒精等容易成瘾的物质使用不当或者使用非法获得的药物)的COVID-19疫苗接种者发生SARS-CoV-2突破性感染的风险总体较低,但比没有物质使用障碍的接种者的风险要高。
这项研究今天发表在《世界精神病学》上,由美国国家卫生研究院下属的国家药物滥用研究所(NIDA)和俄亥俄州克利夫兰市的凯斯西储大学的研究人员领导。

该研究还发现,共同发生的健康状况和不利的社会经济健康决定因素,在有物质使用障碍的人中更常见,似乎是SARS-CoV-2突破性感染风险增加的主要原因。有物质使用障碍的人--如酒精、大麻、可卡因、阿片类药物和烟草使用障碍--在突破性感染后也有较高的严重后果率,包括住院和死亡。
大麻使用障碍者遭遇突破性感染的可能性比没有物质使用障碍者高55%,尽管与其他物质使用障碍者相比,大麻使用障碍的患者往往更年轻,而且合并的健康状况更少。
"首先,接种疫苗对物质使用障碍患者非常有效,接种疫苗的物质使用障碍患者患COVID-19的总体风险非常低,"NIDA主任、医学博士Nora D. Volkow和该研究的主要作者之一说。"我们必须继续鼓励和促进有物质使用障碍的人接种COVID-19疫苗,同时也承认,即使在接种后,这一群体的风险也在增加,应继续采取保护措施,防止COVID-19的发生。"
在该大流行病的早期阶段进行的分析发现,有物质使用障碍的人感染SARS-CoV-2的风险增加,而且更有可能出现需要住院治疗或导致死亡的严重疾病。对于有物质使用障碍的黑人来说,情况尤其如此。从那时起,12岁以上的人可以广泛使用疫苗,大大降低了COVID-19和严重疾病的风险。
然而,评估这些疫苗有效性的临床试验并没有特别包括有物质使用障碍的人。由于许多有物质使用障碍的人由于使用毒品和合并疾病而免疫力低下,研究人员假设,这一人群在接种疫苗后可能会增加突破性感染的风险。
为了调查这些问题,研究人员分析了美国近58万名有和没有物质使用障碍的人的电子健康记录,这些人在2020年12月1日至2021年8月14日期间完全接种了COVID-19疫苗,并且在接种疫苗之前没有感染过SARS-CoV-2。感染状态是基于COVID-19的ICD-10诊断代码或实验室测试证实存在SARS-CoV-2和相关的RNA。
研究人员确定每组中在最后一次接种疫苗后至少14天感染SARS-CoV-2的人的比例。在对有和没有物质使用障碍的患者进行人口统计学特征、影响健康的社会经济因素(如住房或就业不稳定)以及终生身体疾病(如高血压、心脏病、肥胖或糖尿病)的匹配后,重复了这项分析。该团队还研究了与没有突破性感染的匹配人群相比,完全接种疫苗的人是否有不同的住院和死亡风险。
研究人员发现,有物质使用障碍的人发生突破性感染的风险明显高于没有物质使用障碍的人:在研究期间,7%有物质使用障碍的接种者发生了突破性感染,而没有物质使用障碍的接种者只有3.6%。不同物质使用障碍者的突破性感染风险略有不同,从烟草使用障碍者的6.8%到大麻使用障碍者的7.8%。
该研究表明,有物质使用障碍的人突破性感染的风险增加主要是由于同时发生的疾病和不利的社会经济特征。当这些因素被控制后,大多数物质使用障碍患者的突破性感染率不再升高。唯一的例外是有大麻使用障碍的人,他们发生突破性感染的可能性仍然比没有物质使用障碍的人高55%,尽管有大麻使用障碍的病人往往比较年轻,而且与其他物质使用障碍的病人相比,他们的并发健康状况较少。作者推测,大麻对肺部和免疫功能的不利影响等因素可能促成了这一群体的较高突破性感染风险。
此外,发现突破性感染大大增加了严重后果的风险,包括重症住院和死亡,不管是否存在物质使用障碍。在有物质使用障碍的人中,22.5%的突破性感染者需要住院治疗,1.7%的人在研究期间死亡,而在有物质使用障碍但没有突破性感染的人中,这一比例分别为1.6%和0.5%。此外,有物质使用障碍的病人在突破性感染后出现严重后果的风险高于没有物质使用障碍的病人。
"从以前的研究中我们知道,有物质使用障碍的人可能特别容易受到COVID-19和严重相关结果的影响。"凯斯西储大学人工智能药物研发中心教授Rong Xu博士说:"这些结果强调,虽然疫苗是必不可少的,也是有效的,但其中一些相同的风险因素仍然适用于突破性感染。持续评估COVID-19疫苗的有效性和COVID-19的长期影响非常重要,特别是在有物质使用障碍的人群中"。
07
COVID-19味觉和嗅觉丧失在40岁以下的人身上更有可能逆转
大多数因COVID-19而失去味觉或嗅觉的人最终会在康复的头几个月内恢复这两种生理感觉。然而,一项分析调查数据的新研究发现,与其他人相比,有些人更有可能在该时间段内恢复这些感官,而发挥作用的主要因素是年龄。

当谈到从疾病中恢复时,年轻往往是一种好处,COVID-19也不例外。根据对近800名COVID-19检测呈阳性的人的调查,与那些年龄较大的人相比,40岁以下的人更有可能恢复他们的嗅觉或味觉。
在每五个感染COVID-19的人中,有四个人将在康复的头六个月内恢复失去的嗅觉和味觉。这项新研究调查了哪些病人更有可能经历这种逆转;研究结果是基于798名18岁及以上检测呈阳性的受访成年人的回答。
除了年龄之外,预先存在的疾病也可能在某人是否在康复后六个月内恢复其感官方面起到一定的作用。例如,研究人员报告说,有头部受伤史的人不太可能在头六个月内恢复他们的嗅觉。同样,研究发现,因COVID-19而出现呼吸急促的人也比其他病人更不可能恢复嗅觉。
然而,患病时经历过鼻塞的病人更有可能恢复嗅觉--这是因为他们中的一些人很可能由于鼻塞而闻不到任何气味。然而,其他人可能由于SARS-CoV-2病毒造成的神经损伤而失去嗅觉或味觉。如果推算出全世界感染COVID-19的全部人口,大约有2000万人可能在最初六个月后面临这些感官的丧失。
08
什么样的抗体反应水平能让COVID-19患者降低死亡风险?
在一项针对在重症监护室接受治疗的COVID-19患者的研究中,对SARS-CoV-2病毒仅有低度抗体反应的人面临更高的死亡风险。这项发表在《内科学杂志》上的研究还发现,对病毒有强烈抗体反应的病人,其血液中的病毒RNA水平很低。相反,那些抗体反应差的人血液中的病毒RNA水平很高,并有散发的病毒蛋白。
在一项针对在重症监护室接受治疗的COVID-19患者的研究中,对SARS-CoV-2病毒仅有低度抗体反应的人面临更高的死亡风险。
该结果可能有助于确定一个人在病危时克服COVID-19所需的最佳抗体水平。该研究还提供了针对SARS-CoV-2的尖峰蛋白的抗体对于阻止病毒复制的重要性的证据。这些是通过疫苗接种诱导的抗体。
西班牙萨拉曼卡生物研究所(IBSAL)和CIBERES的共同第一作者Jesús F. Bermejo-Martin博士说:"我们的研究结果支持用外源抗体治疗COVID-19应该是个性化的,为那些没有内源抗体或内源抗体水平低的病人保留这种疗法。"
研究人员揭示了"COVID脚趾"背后的潜在病理机制

在COVID-19大流行期间,手和脚趾的发红和肿胀,即所谓的冻疮样病变已被多次报告。发表在《英国皮肤病学杂志》上的一项新研究揭开了涉及此类"COVID脚趾"症状的潜在机制。
该研究包括50名患有COVID脚趾的参与研究者和13名在大流行之前出现的类似的胆囊炎病变。这两种类型背后的机制都涉及免疫反应,其中有高水平的某些自身抗体以及I型干扰素,这是抗病毒反应中的一种关键蛋白。
除了免疫系统外,排列在血管中的内皮细胞似乎也在COVID脚趾和胆囊炎的发展中发挥了关键作用。
"高级作者、法国巴黎圣路易医院的Charles Cassius医生说:"对冻疮样病变的流行病学和临床特征已经进行了广泛的研究和发表,然而,对涉及的病理生理学知之甚少。"我们的研究提供了新的见解"。
09
研究:被“困”在微型血凝块中的过量炎症分子可能导致Long COVID症状
一项新研究表明,Long COVID患者的个人血液中有炎症性微型血凝块,这可能是Long COVID患者经历的一些挥之不去的症状的原因。这一意外发现是由斯泰伦博斯大学生理科学系的研究员Resia Pretorius教授发现的,当时她开始研究Long COVID患者血液样本中的微凝块及其分子含量。此后,这些研究结果经过同行评议,于2021年8月发表在《心血管糖尿病学》杂志上。

"我们发现存在于Long COVID患者血液中的微凝块中困有高水平的各种炎症分子。一些被困的分子包含凝血蛋白,如纤维蛋白原,以及α(2)-抗浆蛋白,"Pretorius教授解释说。
α(2)-抗浆蛋白是一种防止血凝块分解的分子,而纤维蛋白原是主要的凝血蛋白。在正常情况下,身体的浆蛋白-抗浆蛋白系统在血液凝固(血液变稠和凝固以防止受伤后失血的过程)和纤维蛋白溶解(分解凝固的血液中的纤维蛋白以防止血凝块形成的过程)之间保持着良好的平衡。
由于COVID-19患者和长COVID患者血液中的α(2)-抗凝血酶水平较高,身体分解血块的能力受到明显抑制。

当苏黎世大学中央分析设施的质谱分析部门的高级分析师Maré Vlok博士注意到急性COVID和Long COVID患者的血浆样本在稀释后(一个称为胰蛋白酶化的过程)继续在试管底部沉积不溶性颗粒时,微凝块的不溶性变得明显。
他提醒Pretorius教授注意这一观察,她对此进行了进一步调查。他们利用荧光显微镜和蛋白质组学分析,报告了在Long COVID患者的血样中发现微凝块,从而解决了与该疾病相关的另一个谜题。
他们在研究论文中写道:“特别令人感兴趣的是同时存在着持续的异常微凝块和病态的纤维蛋白溶解系统。这意味着血浆蛋白和抗血浆蛋白的平衡可能是Long COVID病症的核心,并进一步证明COVID-19以及现在的Long COVID,有明显的心血管和凝血病症。”
科学家建议进一步研究支持有Long COVID症状的人的凝血和纤维蛋白溶解系统功能的治疗方案。
他们与斯泰伦博斯大学医疗中心的血管内科医生Jaco Laubscher博士(文章的共同作者)合作,现在计划对更多的病人样本进行同样的分析。到目前为止,他们已经收集了100名参加了2021年5月启动的Long COVID登记处的Long COVID患者的血液,以及30名健康人的血液。该研究由Long COVID研究慈善信托基金资助,该信托基金是由来自ENSafrica的Koos Pretorius先生的初始捐款设立的。
10
研究人员发现20000年前冠状病毒爆发的证据
通过分析来自全球26个人群的现代人的基因组,研究人员发现了古代冠状病毒爆发的遗传“足迹”。像这样的研究可以帮助识别在遥远的过去和未来可能引起流行病的病毒。一项由亚利桑那大学研究人员共同撰写的新研究发现,2万多年前在东亚地区爆发了一场冠状病毒疫情,在该地区人们的基因构成中可以看到疫情爆发的痕迹。

在发表于《当代生物学》的一篇论文中,研究人员分析了来自全球26个人群的2500多名现代人的基因组,以更好地了解人类是如何适应历史上冠状病毒爆发的。该团队由亚利桑那大学和阿德莱德大学的研究人员共同领导,使用计算方法发现了适应冠状病毒的遗传“足迹”,冠状病毒“家族”在过去20年中造成了三次重大爆发,包括正在进行的COVID-19大流行。
在过去的20年里,有三次流行性严重冠状病毒的爆发。SARS-CoV导致严重急性呼吸系统综合症,在2002年造成800多人死亡;MERS-CoV导致中东呼吸系统综合症,造成850多人死亡;以及SARS-CoV-2导致COVID-19,造成380万人死亡。
但是这项对人类基因组进化的研究揭示了另一场大型冠状病毒流行在数千年前就已经爆发了。
“这就像找到恐龙的脚印化石,而不是直接找到骨头化石,”亚利桑那大学生态学和进化生物学系教授、该研究的主要作者之一David Enard说。“我们没有直接找到古代病毒--相反,我们找到了它在古代流行病时期强加给人类基因组的自然选择的特征。”

该小组在不使用活细胞的情况下,合成了人类和SARS-CoV-2蛋白,并显示这些蛋白直接互动,特别指出了冠状病毒用来入侵细胞的机制的保守性。现代人类基因组包含可追溯到数十万年前的进化信息,包括使人类能够在包括病毒在内的新威胁中生存的生理和免疫适应。
研究结果显示,东亚人的祖先经历了类似于COVID-19的冠状病毒引起的疾病的流行。为了入侵细胞,病毒必须附着并与宿主细胞产生的特定蛋白质相互作用,这些蛋白质被称为病毒相互作用蛋白(VIPs)。研究人员在编码VIPs的42个不同人类基因中发现了适应的迹象,表明现代东亚人的祖先在2万多年前首次接触到冠状病毒。
论文的第一作者、阿德莱德大学生物科学学院的Yassine Souilmi说:“我们发现这42个VIPs主要在肺部活动--受冠状病毒影响最大的组织--并证实它们与当前大流行病的基础病毒直接互动。”
除了位于宿主细胞表面并被冠状病毒用来进入细胞的VIPs外,病毒一旦进入细胞后还会与其他许多细胞蛋白相互作用。“我们发现,那些为防止或帮助病毒繁殖的蛋白质编码的人类基因,在大约2.5万年前经历了比你通常预期的更多的自然选择,”Enard说。
这项工作表明,在流行病的过程中,选择有利于参与病毒-细胞相互作用的人类基因的某些变体,这些变体可能会导致较不严重的疾病。研究古代病毒留下的 “足迹”可以帮助研究人员更好地了解不同人类群体的基因组如何适应已经成为人类进化的重要驱动力的病毒。
其他独立研究表明,VIPs基因的突变可能介导冠状病毒的易感性,也可能介导COVID-19症状的严重性。而且有几个VIPs目前正在用于COVID-19的药物治疗中,或者是进一步药物开发的临床试验的一部分。
研究报告的共同作者、阿德莱德大学生物科学学院的Ray Tobler说:“我们过去与病毒的互动留下了明显的遗传信号,我们可以利用这些信号来确定影响现代人群感染和疾病的基因,并且可以为药物再利用工作和新疗法的开发提供信息。”
Souilmi说:“通过发现以前受历史上病毒爆发影响的基因,我们的研究指出了进化基因分析作为对抗未来爆发的新工具的前景。”
该研究的作者说,他们的研究可以帮助确定在遥远的过去和未来可能引起流行病的病毒。像他们这样的研究有助于研究人员编制一份潜在危险病毒的清单,然后为它们的回归开发诊断方法、疫苗和药物。
11
科学家开发免费开放专利的新型COVID-19疫苗 作为"给世界的礼物"
由得克萨斯儿童医院和贝勒医学院的研究人员开发的一种新的COVID-19疫苗,正在向世界各地的疫苗制造商免费提供专利。人体试验表明该疫苗是安全和有效的,印度已经授权使用该疫苗,因为其生产量已增加到每月1亿多剂次。

该疫苗被命名为Corbevax,它基于一种已经安全使用了几十年的传统蛋白质技术。与其他COVID-19疫苗一样,Corbevax专注于冠状病毒的刺突蛋白,但它不是使用mRNA来指导细胞在内部产生这些刺突蛋白,而是将实验室培养的刺突蛋白输送到体内。
研究人员提取了编码刺突蛋白的基因,并设计了酵母来生产它。这些蛋白质被收集、纯化,并与佐剂结合以增强免疫反应。这种确切的方法已被用于生产乙型肝炎疫苗多年。
该项目的主要研究人员之一Maria Elena Bottazzi说:“基于蛋白质的疫苗已被广泛用于预防许多其他疾病,有成熟的安全记录,并利用规模经济在全球实现低成本的可扩展性。”
2020年年底,开发该疫苗的美国研究团队与总部位于印度的制药公司Biological E联手,开始进行临床试验并建立制造能力。在2021年,这些临床试验包括数千名参与者,并最终发现Corbevax在产生对SARS-CoV-2的强大免疫反应方面是安全和有效的。
试验数据与一种已获批准的疫苗Covishield(阿斯利康著名的COVID-19疫苗的印度制造版本)进行了比较。Corbevax产生的不良反应明显少于Covishield,并产生了卓越的免疫反应。
对Corbevax的中和抗体反应表明,该疫苗在预防有症状的COVID-19的德尔塔变种感染方面应该至少有80%的有效性。针对奥密克戎变种的具体数据预计很快就会出现,但据推测,它至少与目前大多数可用的疫苗一样有效。
也许这种新疫苗最重要的特点是,它已被开发为一种无专利的产品,可以由世界各地的疫苗生产商轻松制造。领导该项目的研究人员之一Peter Hotez将其描述为“给世界的礼物”,并指出该技术已被转让给印度、印度尼西亚、孟加拉国和博茨瓦纳的疫苗生产商。
Hotez说:“这一消息的宣布是为世界接种疫苗和阻止该大流行病的重要的第一步。我们的疫苗技术提供了一条解决正在发生的人道主义危机的途径,即低收入和中等收入国家面对德尔塔变种的脆弱性。”
该疫苗与Novavax公司的蛋白亚单位COVID-19疫苗相似,后者最近被授权在全球多个国家紧急使用。印度是第一个向Corbevax发出紧急授权的国家,据说Biological E公司已经准备好了1.5亿剂疫苗,从2月份开始,生产能力将达到每月1亿剂。
12
耶鲁研究人员开发出基于RNA的疗法 可保护小鼠免受COVID-19变种影响
耶鲁大学医学院的研究人员发现,一种能够刺激身体早期抗病毒防御系统的RNA分子能够保护小鼠免受一系列新出现的SARS-CoV-2变体的影响。这项研究最近发表在《实验医学杂志》(JEM)上,可能会给免疫力低下的病人带来新的COVID-19治疗方法,并为目前无法获得疫苗的发展中国家提供一种便宜的治疗方案。

尽管已获批准的SARS-CoV-2疫苗在预防正在进行的COVID-19大流行期间的严重疾病和死亡方面非常有效,但在许多低收入国家,疫苗供应极其有限,而且未来可能出现新的、具有疫苗抗性的毒株。此外,对于无法形成足够数量的特异性针对病毒刺突蛋白的抗体或T细胞的免疫功能低下的人来说,疫苗的有效性已经降低。这些人很容易受到慢性、长期的SARS-CoV-2感染的影响。
耶鲁大学医学院教授Akiko Iwasaki说:“这就是除了使用疫苗来预防COVID-19之外,还需要努力开发针对SARS-CoV-2的有效治疗方法的原因。”
在抗体和T细胞参与之前,人体抵御 SARS-CoV-2 的“第一道防线”被认为依赖于 RIG-I 等受体分子。这些分子识别病毒的遗传物质并诱导产生称为I型干扰素的信号蛋白。这些干扰素反过来又促进了可抑制病毒复制的蛋白质的产生,并刺激免疫细胞的“招募”以对抗感染。

多项研究表明,干扰素的早期和强劲生产可保护人们免受COVID-19的影响,而延迟生产则与严重疾病有关。一项临床试验表明,在疾病早期用纯化的干扰素蛋白治疗COVID-19患者可以降低死亡率,但制造干扰素的费用极其昂贵。
在新的JEM研究中,Iwasaki及其同事提出了一个更便宜的替代方案:用模仿SARS-CoV-2遗传物质的短RNA分子治疗患者,并激活RIG-I受体以刺激人体自身细胞产生I型干扰素。
研究人员在易受SARS-CoV-2感染的小鼠身上测试了他们的方法:一种名为SLR14的RNA分子的单剂量足以保护小鼠免于严重疾病和死亡,特别是如果在暴露于病毒前不久或后不久提供治疗。研究人员确定,当在感染病毒后不久进行治疗时,SLR14比用纯化的干扰素蛋白治疗小鼠更有效。
最重要的是,SLR14保护小鼠不受所有新出现的SARS-CoV-2变体的影响,包括导致最近美国COVID-19病例激增的德尔塔变体。
最后,Iwasaki及其同事在免疫力低下的Rag-/-小鼠中测试了SLR14,这些小鼠长期感染SARS-CoV-2。这种RNA分子能够完全清除这些动物的病毒,尽管它们缺乏T细胞和产生抗体的B细胞。
Iwasaki及其同事指出,像SLR14这样的RNA分子相对便宜且易于制造。Iwasaki说:“因此,SLR14作为一类新的RNA治疗剂具有很大的前景,可以作为针对SARS-CoV-2的抗病毒药物应用。此外,由于这种基于RNA的治疗方法简单而通用,我们的研究将促进对未来对I型干扰素敏感的呼吸道病原体的大流行准备和反应。”
13
先进光子源APS助辉瑞研发出COVID-19抗病毒治疗药物Paxlovid
当地时间2021年12月22日,美国食品和药物管理局(FDA)发布了Paxlovid的紧急使用授权,用于治疗成人和12岁及以上、有高风险发展为严重COVID-19的轻度至中度新冠疾病。Paxlovid是首个被FDA授权用于治疗COVID-19的口服抗病毒药物。

制药公司辉瑞宣布了其针对COVID-19的新口服抗病毒治疗的临床试验结果。根据该公司于11月5日公布的结果,这种新候选药物Paxlovid证明对引起COVID-19的SARS-CoV-2病毒有效。
辉瑞的科学家们在先进光子源(APS)的超亮X射线的帮助下创造了Paxlovid,APS是美国能源部(DOE)科学办公室在DOE的阿贡国家实验室的用户设施。
辉瑞董事长兼CEO Albert Bourla在公司的一份新闻稿中说道:“今天的消息对全球制止这种大流行病的破坏的努力是一个真正的游戏规则改变。这些数据表明,我们的口服抗病毒候选药物如果得到监管当局的批准或授权,那么有可能拯救病人的生命、降低COVID-19感染的严重程度并消除10个住院病人中的9个。”
美能源部为了国家科学界的利益对APS这样的用户设施进行投资并支持生物研究作为其能源任务的一部分。这项研究在跟COVID-19的斗争中一直是至关重要的。DOE国家实验室在2020年组建了国家虚拟生物技术实验室(NVBL)联盟,利用为其DOE任务开发的能力对抗COVID-19,该联盟帮助支持Paxlovid等抗病毒疗法的研究。
据了解,确定候选抗病毒药物结构的工作是在APS的工业大分子晶体学协会合作访问团队(IMCA-CAT)光束线上完成的,该光束线则是由豪普特曼-伍德沃德医学研究所(HWI)代表一个制药公司合作运营的,辉瑞就是其中的一员。
作为IMCA-CAT的成员,辉瑞经常会在APS进行药物开发实验,据IMCA-CAT的执行董事、负责推进治疗的副总裁和Hauptman-Woodward医学研究所的首席科学家Lisa Keefe介绍称,缩小范围和锁定这个候选药物的过程进行了许多个月。她指出,IMCA-CAT能及时提供高质量的结果,这比公司自己的家庭实验室做得快得多。
Keefe表示,像APS这样的能源部设施对于像Paxlovid这样的突破是非常重要的。“这是一个重要的例子,说明国家实验室对推动美国工业的工作是多么有价值,这对社会有巨大的有利影响。当结果具有全球影响时,就像针对COVID-19的治疗方法一样,它们激励着我们并鼓舞着我们。”
IMCA-CAT利用APS的X射线对蛋白质的原子结构进行探测。科学家们利用这些信息来观察潜在的药物化合物如何跟病毒相互作用。这为创造新的疫苗和潜在的有效治疗方法奠定了基础,如Paxlovid。
如果获得批准,Paxlovid将成为第一个专门设计用于抑制SARS-CoV-2病毒的一种关键蛋白酶(3CL)的口服抗病毒药物。在最新阶段的临床试验中,辉瑞对1200多名成年人进行了治疗测试,所有这些人被诊断为COVID-19的时间不超过5天,并且至少有一种医疗条件或特征会增加严重疾病的风险。
辉瑞报告的结果显示,跟服用安慰剂的类似数量的病人相比,跟COVID-19有关的住院或死亡风险降低了89%。
一期试验结果已经在最近发表在《科学》上。
辉瑞的下一步是向美FDA申请紧急使用授权。


Science视频号 

按此关注微信视频号
Science科学 
了解未知 开启认知

按此关注中文公众号
Science科学英语平台 
THE SCIENCE OF EVERYTHING

按此关注英文公众号
TechEdge 
科技 点亮未来

按此关注中文公众号

◢ 豁然开朗请打赏 ◣

分享“票圈”,逢考必过,点亮“在看”SCI录用率提高18%
到顶部